100% tevredenheidsgarantie Direct beschikbaar na je betaling Lees online óf als PDF Geen vaste maandelijkse kosten 4,6 TrustPilot
logo-home
Samenvatting

samenvatting economisch beleid (Y50700)

Beoordeling
-
Verkocht
1
Pagina's
114
Geüpload op
29-05-2024
Geschreven in
2023/2024

Samenvatting van het vak economisch beleid 2024, prof Benijts. Elk thema dat aan bod zal komen op het examen (ook de zelfstudie thema 9) is aanwezig in deze samenvatting. Elke les is samengevat (ik was elke les aanwezig).












Oeps! We kunnen je document nu niet laden. Probeer het nog eens of neem contact op met support.

Documentinformatie

Geüpload op
29 mei 2024
Aantal pagina's
114
Geschreven in
2023/2024
Type
Samenvatting

Voorbeeld van de inhoud

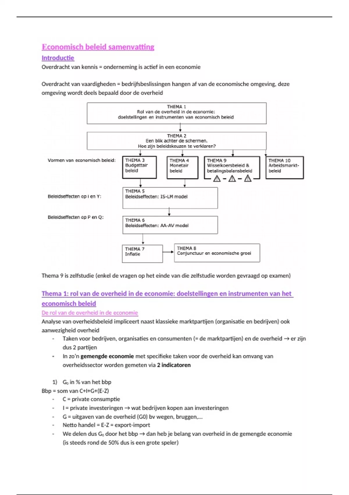
Economisch beleid samenvatting
Introductie
Overdracht van kennis = onderneming is actief in een economie

Overdracht van vaardigheden = bedrijfsbeslissingen hangen af van de economische omgeving, deze
omgeving wordt deels bepaald door de overheid




Thema 9 is zelfstudie (enkel de vragen op het einde van die zelfstudie worden gevraagd op examen)

Thema 1: rol van de overheid in de economie: doelstellingen en instrumenten van het
economisch beleid
De rol van de overheid in de economie
Analyse van overheidsbeleid impliceert naast klassieke marktpartijen (organisatie en bedrijven) ook
aanwezigheid overheid
- Taken voor bedrijven, organisaties en consumenten (= de marktpartijen) en de overheid → er zijn
dus 2 partijen
- In zo’n gemengde economie met specifieke taken voor de overheid kan omvang van
overheidssector worden gemeten via 2 indicatoren

1) G0 in % van het bbp
Bbp = som van C+I+G+(E-Z)
- C = private consumptie
- I = private investeringen → wat bedrijven kopen aan investeringen
- G = uitgaven van de overheid (G0) bv wegen, bruggen,…
- Netto handel = E-Z = export-import
- We delen dus G0 door het bbp → dan heb je belang van overheid in de gemengde economie
(is steeds rond de 50% dus is een grote speler)

, 2) % van de werkenden die bij de overheid werken
Je kijkt naar al de mensen die werk hebben en daarvan bereken je hoeveel % daarvan werkt voor overheid
- Schommelt rond de 17,5%

Examenvraag: op welke 2 manieren kan omvang van overheid in gemengde economie worden gemeten?

Evolutie aandeel ambtenaren in totale werkgelegenheid (2013-2021)




Wat is overheidsbeleid?
Beleid = het streven naar het bereiken van bepaalde doeleinden met bepaalde middelen en bepaalde
tijdskeuzen
- Middelen/activiteiten

Bijvoorbeeld: arbeidsmarkthervormingen, energiebeleid
- Bedrijven willen mensen vinden maar vinden ze niet → dus overheid maakt doelstelling = meer
geschoolde mensen bij bedrijven krijgen: beperken van werkloosheidsvergoedingen in de tijd of
een 2de activiteit werkloosheidsvergoedingen versneld laten dalen (daardoor wil je terug werken)

Economische politiek is het geheel van maatregelen die door een beleidsvoerder wordt genomen
teneinde bepaalde doelstellingen op het domein van allocatie, ordening, stabilisatie en verdeling te
realiseren

Efficiëntie vs effectiveit vs doelbereiking
- Efficiëntie/doelmatigheid = met zo weinig mogelijk kosten/de goedkoopte manier om je doel te
bereiken
- Effectiviteit/doeltreffendheid = mate waarin het beleid bijdraagt tot realisatie van de doelstelling
- Doelbereiking = mate waarin het doel wordt bereikt

Examenvraag: wat is het verschil tussen efficiëntie en doelmatigheid?
- Antwoord: dat is het zelfde

,Verticaal: het effect → het te beïnvloeden fenomeen bv aantal jobs, de stikstofuitstoot, aantal hectare
landbouwgrond,…
- Dus onderaan bv 0 jobs

Horizontaal: de tijdsperiode
- T0 is vandaag en T1 is bv op het einde van de regeer periode na bv 5 jaar

Z is de meting vandaag van het effect
- Bv 140 000 jobs vandaag

D is de doelstelling op T1
- Bv je zou tegen dan 200 000 jobs hebben op T1

B is als je niks zou doen, een normale groei
- Bv 160 000 jobs op T1 → automatisch komen er jobs bij en vallen er weg (een normale evolutie)

C als de overheid wel iets doet
- Bv 175 000 jobs op T1 → aantal jobs na voeren beleid
- Bv door loonkostverlaging voor ploegenarbeiders, werkloosheidsvergoeding verlagen in toekomst
→ mogelijke activiteiten voor je beleid

Dus er zijn 3 mogelijkheden

Effectiviteit
- Het verschil doordat overheid dingen heeft gedaan (afstand tussen c en b)
- Dus punt met beleid en punt zonder beleid met normale evolutie vergelijken

Doelbereiking
- Doel is niet gerealiseerd (want men wou 200 000 jobs)
- Er is wel een mate van doelbereiking

, Efficiëntie
- Kan je niks over zeggen want je weet de kostprijs niet
- Bv het koste 1 euro dan is het heel efficiënt geweest

Stel b = c
- Effectiviteit → is er niet want als je niets doet kom je op zelfde punt uit als dat je wel iets doet (je
draagt niet bij tot realisatie doelstelling)
- Doelbereiking → ook dit is weer niet bereikt, maar er is wel weer mate van doelbereiking
- Efficiëntie → je hebt weer geen kostprijs dus weet je niet, maar door van alles te doen kom je op
zelfde uit als dat je niets zou doen dus is eigenlijk niet efficiënt (want wat je hebt gedaan heeft
niet geholpen, dus weggegooid geld is niet efficiënt)

Examenvraag: verklaar obv van zelfgekozen voorbeeld het verschil tussen doelbereiking en effectiviteit

Verantwoordelijkheid economisch beleid
- Overheid (politieke overheden + administraties + centrale bank (= monetaire overheid))
 Politieke overheid: de centrale overheid = de federale overheid
 Je hebt centrale, regionale, lokale en supranationale overheden → wij hebben het enkel
over centrale overheid
 Andere overheid waar we het gaan over hebben: monetaire overheid = centrale banken
- Kiezers
- Parlement
- Belangengroepen bv vakbonden, milieugroepringen,…
- Buitenlandse instellingen

Internationale organisaties rond economisch beleid
- IMF
 Organisatie van 189 landen
 Doel: mondiale monetaire samenwerking bevorderen, veilige financiële stabiliteit
verzekeren, internationale handel vergemakkelijken, bevorderen van hoge
werkgelegenheid en duurzame economische groei, verminderen van armoede in de
wereld
 Missie: stabiliteit van het internationale monetaire systeem waarborgen
 Doen dit op 3 manieren
o Bijhouden van wereldeconomie en de economieën van landen
o Leningen aan landen megt betalingsbalansproblemen geven
o Geven van praktische hulp aan leden
 Het kan dus beleid sturen bv pensioenen verlagen, arbeiders ontslagen,…
- Wereldhandelsorganisatie (WTO)
- Wereldbank
- Bank for interantional settlements (BIS)

Nationale organisaties rond economisch beleid
- Het Federaal Planbureau
- Hoge Raad van Financiën
€11,06
Krijg toegang tot het volledige document:

100% tevredenheidsgarantie
Direct beschikbaar na je betaling
Lees online óf als PDF
Geen vaste maandelijkse kosten

Maak kennis met de verkoper
Seller avatar
handelswetenschapper2004

Maak kennis met de verkoper

Seller avatar
handelswetenschapper2004 Katholieke Universiteit Leuven
Bekijk profiel
Volgen Je moet ingelogd zijn om studenten of vakken te kunnen volgen
Verkocht
1
Lid sinds
1 jaar
Aantal volgers
1
Documenten
2
Laatst verkocht
1 jaar geleden

0,0

0 beoordelingen

5
0
4
0
3
0
2
0
1
0

Waarom studenten kiezen voor Stuvia

Gemaakt door medestudenten, geverifieerd door reviews

Kwaliteit die je kunt vertrouwen: geschreven door studenten die slaagden en beoordeeld door anderen die dit document gebruikten.

Niet tevreden? Kies een ander document

Geen zorgen! Je kunt voor hetzelfde geld direct een ander document kiezen dat beter past bij wat je zoekt.

Betaal zoals je wilt, start meteen met leren

Geen abonnement, geen verplichtingen. Betaal zoals je gewend bent via Bancontact, iDeal of creditcard en download je PDF-document meteen.

Student with book image

“Gekocht, gedownload en geslaagd. Zo eenvoudig kan het zijn.”

Alisha Student

Veelgestelde vragen