Escrito por estudiantes que aprobaron Inmediatamente disponible después del pago Leer en línea o como PDF ¿Documento equivocado? Cámbialo gratis 4,6 TrustPilot
logo-home
Notas de lectura

Class notes APPM 1350 Unit 5.4

Puntuación
-
Vendido
-
Páginas
4
Subido en
29-08-2025
Escrito en
2024/2025

Class notes APPM 1350 Unit 5.4 General Logarithmic and Exponential Functions.

Institución
Grado

Vista previa del contenido

General
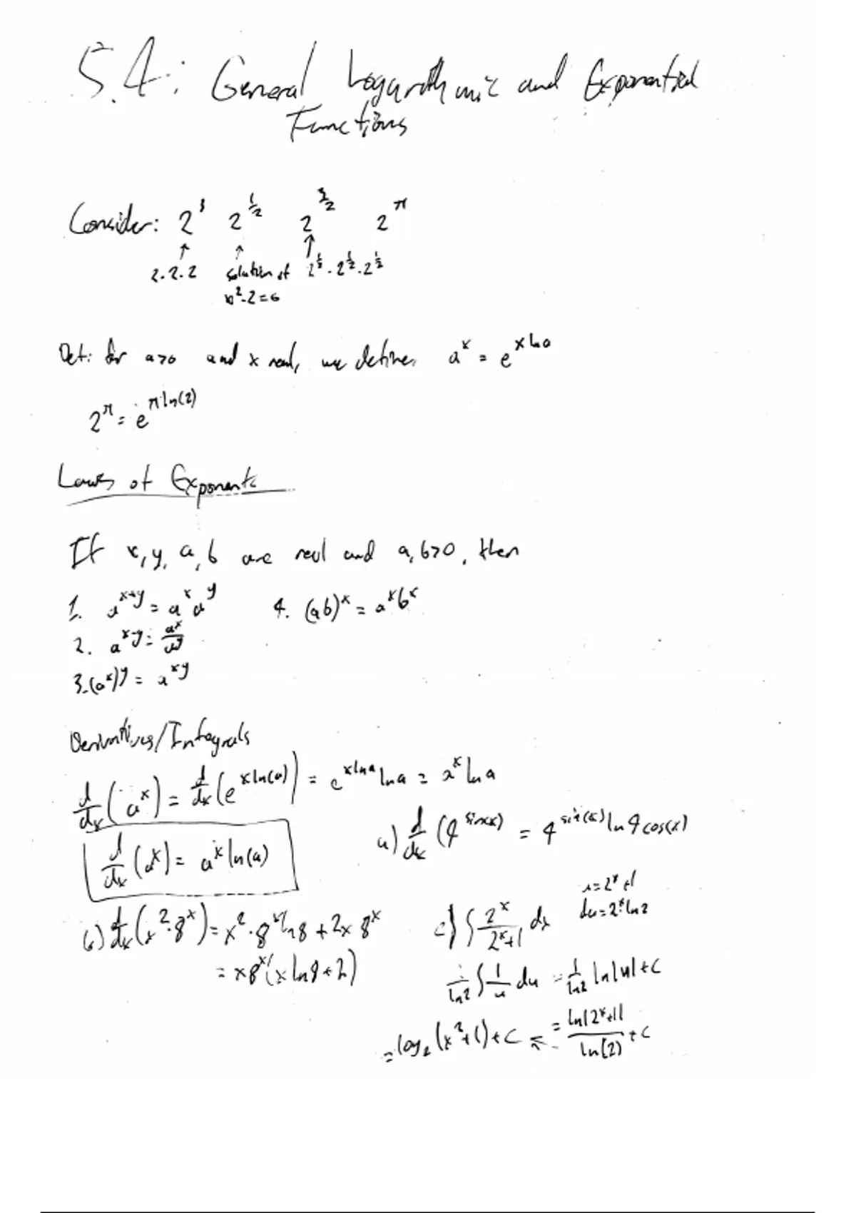
54: Gened Legardant and Experated
Consider: 2'2

2.2.2
Det: for
976
_719(2)
2" = e'
Functions
2
Solution of 2
x²2=6
and x real,
MYN
2
им
· detive at = exho
Lawks of Exponents
If x, y, a 6 are real and 9,670, then
1.
х+у
2. ary: a
3.(a*)9 = axy
ху
= ac
как
4. (96) * = a *6<

(πx (ax) = 4 x \n (a)
& ).
6) (128+) = x²-87/48 + 2x 8* </d
=x8" (x/18+2)
Venivatives/Integrals
\ (a^) = £= (ext(0)) =
exlna Ina z à
at lua
8x
Sinck)
4) & (4 xes) = q sit(e) + 4 cos(x)
‫عمل‬
4
In
-^=2x+1
2
25+1
= log₁ (x² + 1) + C = = bu12 +11
de du=25142
1412411
(2)
In [2]+<


齿 fi

Escuela, estudio y materia

Institución
Grado

Información del documento

Subido en
29 de agosto de 2025
Número de páginas
4
Escrito en
2024/2025
Tipo
NOTAS DE LECTURA
Profesor(es)
Robert benim
Contiene
Unit 5.4

Temas

$15.99
Accede al documento completo:

¿Documento equivocado? Cámbialo gratis Dentro de los 14 días posteriores a la compra y antes de descargarlo, puedes elegir otro documento. Puedes gastar el importe de nuevo.
Escrito por estudiantes que aprobaron
Inmediatamente disponible después del pago
Leer en línea o como PDF

Conoce al vendedor
Seller avatar
samfay

Documento también disponible en un lote

Conoce al vendedor

Seller avatar
samfay University Of Colorado Boulder
Seguir Necesitas iniciar sesión para seguir a otros usuarios o asignaturas
Vendido
-
Miembro desde
7 meses
Número de seguidores
0
Documentos
70
Última venta
-

0.0

0 reseñas

5
0
4
0
3
0
2
0
1
0

Documentos populares

Recientemente visto por ti

Por qué los estudiantes eligen Stuvia

Creado por compañeros estudiantes, verificado por reseñas

Calidad en la que puedes confiar: escrito por estudiantes que aprobaron y evaluado por otros que han usado estos resúmenes.

¿No estás satisfecho? Elige otro documento

¡No te preocupes! Puedes elegir directamente otro documento que se ajuste mejor a lo que buscas.

Paga como quieras, empieza a estudiar al instante

Sin suscripción, sin compromisos. Paga como estés acostumbrado con tarjeta de crédito y descarga tu documento PDF inmediatamente.

Student with book image

“Comprado, descargado y aprobado. Así de fácil puede ser.”

Alisha Student

Preguntas frecuentes