100% de satisfacción garantizada Inmediatamente disponible después del pago Tanto en línea como en PDF No estas atado a nada 4,6 TrustPilot
logo-home
Examen

Dsc1520 assignment 3 verified 2025 new

Puntuación
-
Vendido
-
Páginas
16
Grado
A+
Subido en
05-03-2025
Escrito en
2024/2025

Dsc1520 assignment 3 verified 2025 new

Institución
DSC1520
Grado
DSC1520










Ups! No podemos cargar tu documento ahora. Inténtalo de nuevo o contacta con soporte.

Escuela, estudio y materia

Institución
DSC1520
Grado
DSC1520

Información del documento

Subido en
5 de marzo de 2025
Número de páginas
16
Escrito en
2024/2025
Tipo
Examen
Contiene
Preguntas y respuestas

Temas

Vista previa del contenido

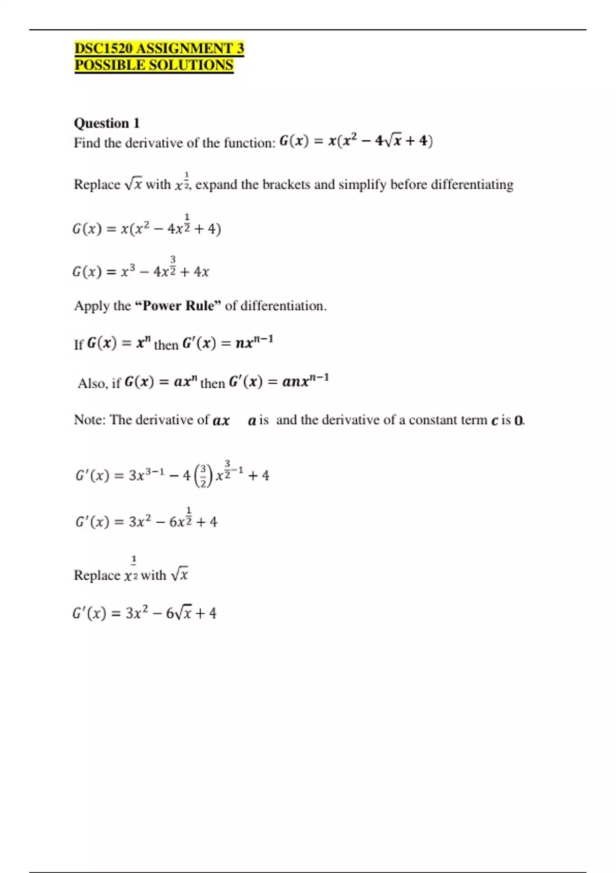
DSC1520 ASSIGNMENT 3
POSSIBLE SOLUTIONS


Question 1
Find the derivative of the function:

Replace with , expand the brackets and simplify before differentiating




Apply the “Power Rule” of differentiation.

If then

Also, if then

Note: The derivative of is and the derivative of a constant term is .




Replace with

,Question 2
Differentiate the function




Apply the “Quotient rule” of differentiation.

Let
and




Factor out 2, the common factor on the numerator




Now, factorize the bracket on the numerator




Page 2

, DSC1520 ASSIGNMENT 3
POSSIBLE SOLUTIONS
Question 3
Find the derivative of the function




Apply the “Product rule” on and “Quotient rule” on


Let where




where
and

[Product rule]




where
and
$18.99
Accede al documento completo:

100% de satisfacción garantizada
Inmediatamente disponible después del pago
Tanto en línea como en PDF
No estas atado a nada


Documento también disponible en un lote

Conoce al vendedor

Seller avatar
Los indicadores de reputación están sujetos a la cantidad de artículos vendidos por una tarifa y las reseñas que ha recibido por esos documentos. Hay tres niveles: Bronce, Plata y Oro. Cuanto mayor reputación, más podrás confiar en la calidad del trabajo del vendedor.
ScholarSphere Keiser University (Port Saint Lucie)
Seguir Necesitas iniciar sesión para seguir a otros usuarios o asignaturas
Vendido
110
Miembro desde
1 año
Número de seguidores
17
Documentos
2634
Última venta
5 días hace
Premium Exam Elaborations for Global Learners

4.1

34 reseñas

5
22
4
4
3
1
2
2
1
5

Recientemente visto por ti

Por qué los estudiantes eligen Stuvia

Creado por compañeros estudiantes, verificado por reseñas

Calidad en la que puedes confiar: escrito por estudiantes que aprobaron y evaluado por otros que han usado estos resúmenes.

¿No estás satisfecho? Elige otro documento

¡No te preocupes! Puedes elegir directamente otro documento que se ajuste mejor a lo que buscas.

Paga como quieras, empieza a estudiar al instante

Sin suscripción, sin compromisos. Paga como estés acostumbrado con tarjeta de crédito y descarga tu documento PDF inmediatamente.

Student with book image

“Comprado, descargado y aprobado. Así de fácil puede ser.”

Alisha Student

Preguntas frecuentes