100% de satisfacción garantizada Inmediatamente disponible después del pago Tanto en línea como en PDF No estas atado a nada 4,6 TrustPilot
logo-home
Examen

PEDS ATI PROCTORED EXAM QUESTION WITH COMPLETE SOLUTION

Puntuación
-
Vendido
-
Páginas
21
Grado
A+
Subido en
14-11-2024
Escrito en
2024/2025

PEDS ATI PROCTORED EXAM QUESTION WITH COMPLETE SOLUTION PEDS ATI PROCTORED EXAM QUESTION WITH COMPLETE SOLUTION

Institución
PEDS ATI
Grado
PEDS ATI










Ups! No podemos cargar tu documento ahora. Inténtalo de nuevo o contacta con soporte.

Escuela, estudio y materia

Institución
PEDS ATI
Grado
PEDS ATI

Información del documento

Subido en
14 de noviembre de 2024
Número de páginas
21
Escrito en
2024/2025
Tipo
Examen
Contiene
Preguntas y respuestas

Temas

Vista previa del contenido

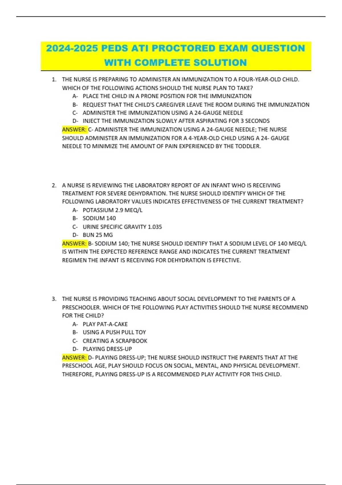
2024-2025 PEDS ATI PROCTORED EXAM QUESTION
WITH COMPLETE SOLUTION
1. THE NURSE IS PREPARING TO ADMINISTER AN IMMUNIZATION TO A FOUR-YEAR-OLD CHILD.
WHICH OF THE FOLLOWING ACTIONS SHOULD THE NURSE PLAN TO TAKE?
A- PLACE THE CHILD IN A PRONE POSITION FOR THE IMMUNIZATION
B- REQUEST THAT THE CHILD'S CAREGIVER LEAVE THE ROOM DURING THE IMMUNIZATION
C- ADMINISTER THE IMMUNIZATION USING A 24-GAUGE NEEDLE
D- INJECT THE IMMUNIZATION SLOWLY AFTER ASPIRATING FOR 3 SECONDS
ANSWER: C- ADMINISTER THE IMMUNIZATION USING A 24-GAUGE NEEDLE; THE NURSE
SHOULD ADMINISTER AN IMMUNIZATION FOR A 4-YEAR-OLD CHILD USING A 24- GAUGE
NEEDLE TO MINIMIZE THE AMOUNT OF PAIN EXPERIENCED BY THE TODDLER.




2. A NURSE IS REVIEWING THE LABORATORY REPORT OF AN INFANT WHO IS RECEIVING
TREATMENT FOR SEVERE DEHYDRATION. THE NURSE SHOULD IDENTIFY WHICH OF THE
FOLLOWING LABORATORY VALUES INDICATES EFFECTIVENESS OF THE CURRENT TREATMENT?
A- POTASSIUM 2.9 MEQ/L
B- SODIUM 140
C- URINE SPECIFIC GRAVITY 1.035
D- BUN 25 MG
ANSWER: B- SODIUM 140; THE NURSE SHOULD IDENTIFY THAT A SODIUM LEVEL OF 140 MEQ/L
IS WITHIN THE EXPECTED REFERENCE RANGE AND INDICATES THE CURRENT TREATMENT
REGIMEN THE INFANT IS RECEIVING FOR DEHYDRATION IS EFFECTIVE.




3. THE NURSE IS PROVIDING TEACHING ABOUT SOCIAL DEVELOPMENT TO THE PARENTS OF A
PRESCHOOLER. WHICH OF THE FOLLOWING PLAY ACTIVITIES SHOULD THE NURSE RECOMMEND
FOR THE CHILD?
A- PLAY PAT-A-CAKE
B- USING A PUSH PULL TOY
C- CREATING A SCRAPBOOK
D- PLAYING DRESS-UP
ANSWER: D- PLAYING DRESS-UP; THE NURSE SHOULD INSTRUCT THE PARENTS THAT AT THE
PRESCHOOL AGE, PLAY SHOULD FOCUS ON SOCIAL, MENTAL, AND PHYSICAL DEVELOPMENT.
THEREFORE, PLAYING DRESS-UP IS A RECOMMENDED PLAY ACTIVITY FOR THIS CHILD.

,4. A NURSE IS TEACHING THE PARENTS OF A NEWBORN ABOUT WAYS TO PREVENT SUDDEN
INFANT DEATH SYNDROME SIDS. WHICH OF THE FOLLOWING INSTRUCTIONS SHOULD THE
NURSE INCLUDE?
A- PLACE THE INFANT IN A PRONE POSITION TO SLEEP.
B- ALLOW THE INFANT TO SLEEP ON A LARGE PILLOW.
C- USER SOFT MATTRESS IN THE INFANT'S CRIB.
D- GIVE THE INFANT A PACIFIER AT BEDTIME.
ANSWER: D- GIVE THE INFANT A PACIFIER AT BEDTIME; THE NURSE SHOULD INFORM THE
PARENT THAT PROTECTIVE FACTORS AGAINST SIDS INCLUDE BREASTFEEDING AND THE USE OF
A PACIFIER WHEN THE INFANT IS SLEEPING.
E- THE NURSE SHOULD INSTRUCT THE PARENT TO PLACE THE INFANT IN A SUPINE




5. A NURSE IS ASSESSING AN INFANT WHO HAS PNEUMONIA. WHICH OF THE FOLLOWING
FINDINGS IS THE PRIORITY FOR THE NURSE TO REPORT TO THE PROVIDER?
A- NASAL FLARING
B- WBC 11,300
C- DIARRHEA
D- ABDOMINAL DISTENSION
ANSWER: A- NASAL FLARING; WHEN USING THE AIRWAY, BREATHING, CIRCULATION APPROACH
TO CLIENT CARE, THE NURSE SHOULD PLACE THE PRIORITY ON NASAL FLARING. NASAL FLARING
INDICATES THAT THE INFANT IS EXPERIENCING ACUTE RESPIRATORY DISTRESS.




6. A SCHOOL NURSE IS ASSESSING A SCHOOL-AGE CHILD BLOOD PRESSURE WHILE HE IS SEATED IN
A CHAIR. THE CHILD STARTS TO EXPERIENCE A TONIC-CLONIC SEIZURE. WHICH OF THE
FOLLOWING ACTIONS SHOULD THE NURSE TAKE FIRST?
A- CLEAR THE IMMEDIATE AREA AROUND THE CHILD OF HAZARDOUS OBJECTS
B- LOOSEN THE CHILD RESTRICTIVE CLOTHING
C- ASSIST THE CHILD TO A SIDE-LYING POSITION ON THE FLOOR
D- APPLY AN OXYGEN MASK TO THE CHILD
ANSWER: C- ASSIST THE CHILD TO A SIDE-LYING POSITION ON THE FLOOR; THE GREATEST RISK
TO THIS CHILD IS ASPIRATION, OCCLUSION OF THE AIRWAY, AND BODILY INJURY FROM FALLING
OUT OF THE CHAIR. THE NURSE SHOULD EASE THE CHILD DOWN TO FLOOR IN A SIDE-LYING
POSITION IMMEDIATELY. THIS POSITION ENABLES THE CHILD'S SECRETIONS TO DRAIN FROM
THE MOUTH, PREVENTING ASPIRATION, AND MAINTAINING A PATENT AIRWAY.

, 7. A NURSE IS RECEIVING CHANGE-OF-SHIFT REPORT ON FOR CHILDREN. WHICH OF THE
FOLLOWING CHILDREN SHOULD THE NURSE ASSESSES FIRST?
A- A TODDLER WHO HAS A CONCUSSION AND AN EPISODE OF FORCEFUL VOMITING
B- AN ADOLESCENT WHO HAS INFECTIVE ENDOCARDITIS AND REPORTS HAVING A
HEADACHE
C- AN ADOLESCENT WHO WAS PLACED INTO HALO TRACTION 1 HOUR AGO AND RATES HIS
PAIN AT A 6 ON A 0-10 SCALE
D- SCHOOL-AGE CHILD WHO HAS ACUTE GLOMERULONEPHRITIS AND BROWN COLORED
URINE
ANSWER: A- A TODDLER WHO HAS A CONCUSSION AND AN EPISODE OF FORCEFUL VOMITING;
WHEN USING THE URGENT VS. NO URGENT APPROACH TO CLIENT CARE, THE NURSE SHOULD
ASSESS THIS CHILD FIRST. AN EPISODE OF FORCEFUL VOMITING IS AN INDICATION OF
INCREASED INTRACRANIAL PRESSURE IN A TODDLER WHO HAS A CONCUSSION.




8. A NURSE IN THE EMERGENCY DEPARTMENT IS CARING FOR AN ADOLESCENT WHO HAS SEVERE
ABDOMINAL PAIN DUE TO APPENDICITIS. WHICH OF THE FOLLOWING LOCATIONS SHOULD THE
NURSE IDENTIFY AS MCBURNEY'S POINT?
ANSWER: A- THE NURSE SHOULD IDENTIFY THE LOWER RIGHT QUADRANT OF THE ABDOMEN
BETWEEN THE UMBILICUS AND THE ANTERIOR ILIAC CREST AS THE LOCATION OF BURNEY'S
POINT.




9. A NURSE IS PROVIDING TEACHING TO THE FAMILY OF A SCHOOL-AGE CHILD WHO HAS JUVENILE
IDIOPATHIC ARTHRITIS. WHICH OF THE FOLLOWING INSTRUCTIONS SHOULD THE NURSE
INCLUDE IN THE TEACHING?
A- LIMIT THE MOVEMENT OF THE CHILD LARGE JOINTS.
B- ENCOURAGE THE CHILD TO PERFORM INDEPENDENT SELF-CARE.
C- PROVIDE THE CHILD WITH A SOFT MATTRESS FOR SLEEPING.
D- SCHEDULE A 2-HOUR DAILY NAP FOR THE CHILD IN THE AFTERNOON.
ANSWER: B- ENCOURAGE THE CHILD TO PERFORM INDEPENDENT SELF-CARE; THE NURSE
SHOULD TEACH THE FAMILY THE IMPORTANCE OF ENCOURAGING THE CHILD TO PERFORM
INDEPENDENT SELF-CARE. THIS WILL MINIMIZE THE CHILD'S PAIN WHILE MAXIMIZING
MOBILITY.




10. A NURSE IS ASSESSING A CLIENT WHO HAS A NEW DIAGNOSIS OF CELIAC DISEASE. WHICH OF
THE FOLLOWING CLINICAL MANIFESTATIONS SHOULD THE NURSE EXPECT?
$11.50
Accede al documento completo:

100% de satisfacción garantizada
Inmediatamente disponible después del pago
Tanto en línea como en PDF
No estas atado a nada

Conoce al vendedor

Seller avatar
Los indicadores de reputación están sujetos a la cantidad de artículos vendidos por una tarifa y las reseñas que ha recibido por esos documentos. Hay tres niveles: Bronce, Plata y Oro. Cuanto mayor reputación, más podrás confiar en la calidad del trabajo del vendedor.
PROFFESSIONALTUTORJOANA NURSING, ECONOMICS, MATHEMATICS, BIOLOGY, AND HISTORY MATERIALS BEST TUTORING, HOMEWORK HELP, EXAMS, TESTS, AND STUDY GUIDE MATERIALS WITH GUARANTEED A+ I am a dedicated medical practitioner with diverse knowledge in matters
Seguir Necesitas iniciar sesión para seguir a otros usuarios o asignaturas
Vendido
22
Miembro desde
1 año
Número de seguidores
0
Documentos
54
Última venta
1 mes hace

4.0

1 reseñas

5
0
4
1
3
0
2
0
1
0

Recientemente visto por ti

Por qué los estudiantes eligen Stuvia

Creado por compañeros estudiantes, verificado por reseñas

Calidad en la que puedes confiar: escrito por estudiantes que aprobaron y evaluado por otros que han usado estos resúmenes.

¿No estás satisfecho? Elige otro documento

¡No te preocupes! Puedes elegir directamente otro documento que se ajuste mejor a lo que buscas.

Paga como quieras, empieza a estudiar al instante

Sin suscripción, sin compromisos. Paga como estés acostumbrado con tarjeta de crédito y descarga tu documento PDF inmediatamente.

Student with book image

“Comprado, descargado y aprobado. Así de fácil puede ser.”

Alisha Student

Preguntas frecuentes