100% de satisfacción garantizada Inmediatamente disponible después del pago Tanto en línea como en PDF No estas atado a nada 4,6 TrustPilot
logo-home
Examen

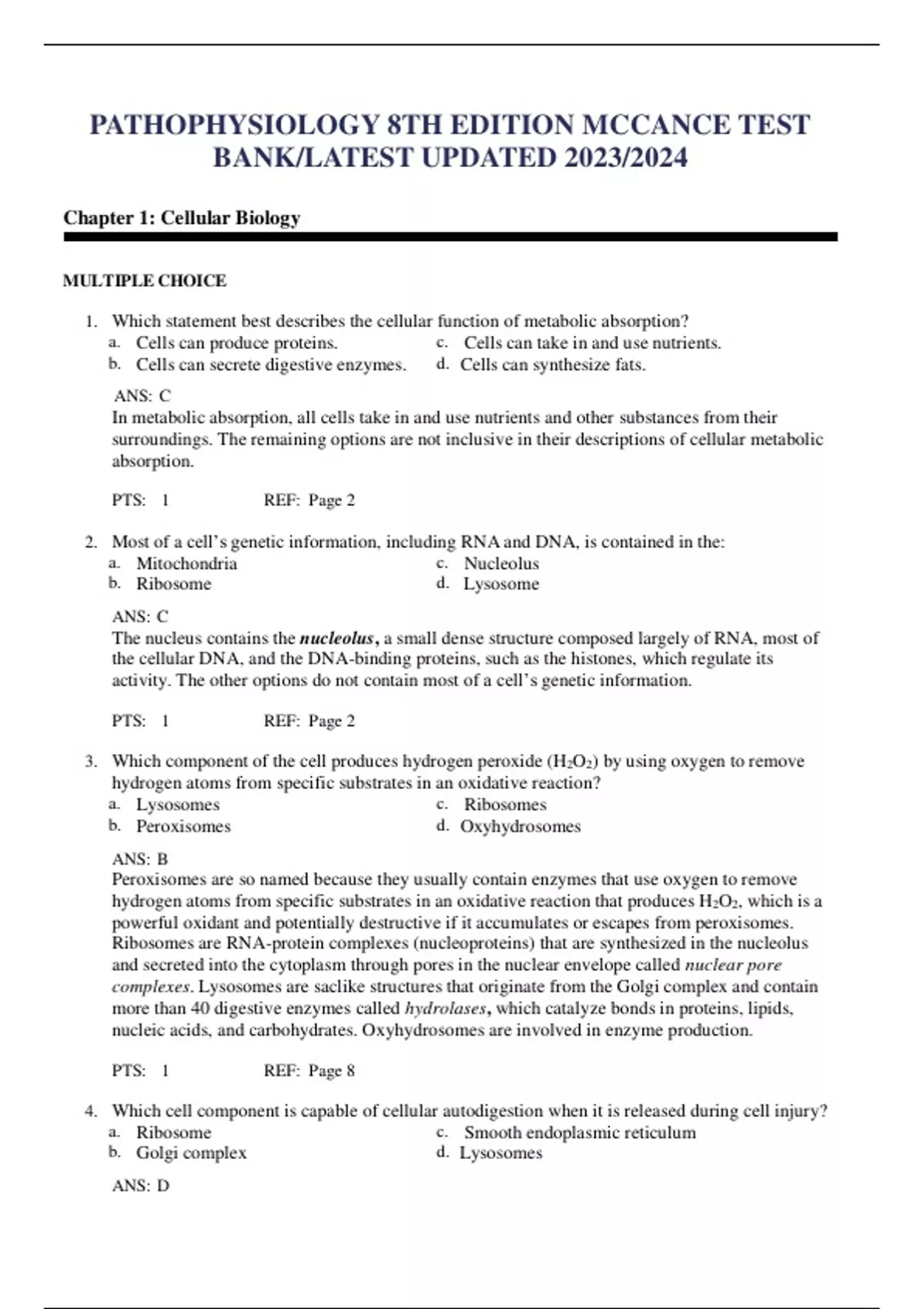
PATHOPHYSIOLOGY 8TH EDITION MCCANCE TEST BANK/LATEST UPDATED 2023/2024

Puntuación
-
Vendido
-
Páginas
464
Grado
A+
Subido en
07-12-2023
Escrito en
2023/2024

PATHOPHYSIOLOGY 8TH EDITION MCCANCE TEST BANK/LATEST UPDATED 2023/2024

Institución
PATHOPHYSIOLOGY 8TH EDITION
Grado
PATHOPHYSIOLOGY 8TH EDITION











Ups! No podemos cargar tu documento ahora. Inténtalo de nuevo o contacta con soporte.

Escuela, estudio y materia

Institución
PATHOPHYSIOLOGY 8TH EDITION
Grado
PATHOPHYSIOLOGY 8TH EDITION

Información del documento

Subido en
7 de diciembre de 2023
Número de páginas
464
Escrito en
2023/2024
Tipo
Examen
Contiene
Preguntas y respuestas

Temas

$16.49
Accede al documento completo:

100% de satisfacción garantizada
Inmediatamente disponible después del pago
Tanto en línea como en PDF
No estas atado a nada

Conoce al vendedor

Seller avatar
Los indicadores de reputación están sujetos a la cantidad de artículos vendidos por una tarifa y las reseñas que ha recibido por esos documentos. Hay tres niveles: Bronce, Plata y Oro. Cuanto mayor reputación, más podrás confiar en la calidad del trabajo del vendedor.
Gradesway Johns Hopkins University School Of Nursing
Seguir Necesitas iniciar sesión para seguir a otros usuarios o asignaturas
Vendido
81
Miembro desde
2 año
Número de seguidores
32
Documentos
1678
Última venta
2 semanas hace
TOP NOTCH HOMEWORK AND TUTORING ASSISTANCE ,ALL KIND OF QUIZ,STUDY GUIDES, EXAMS AND RETAKE PAPERS WITH GUARANTEE OF A PASS

I'm an expert on major courses especially; psychology, Nursing, Human resource Management . Assisting students with quality work is my first priority. I ensure scholarly standards in my documents which gives you an assurance that you'll get the top score grade once you consume my knowledge. All my papers are latest updates and you can rest assured of success. I wish you all the best in your studies.

3.8

13 reseñas

5
7
4
0
3
3
2
2
1
1

Por qué los estudiantes eligen Stuvia

Creado por compañeros estudiantes, verificado por reseñas

Calidad en la que puedes confiar: escrito por estudiantes que aprobaron y evaluado por otros que han usado estos resúmenes.

¿No estás satisfecho? Elige otro documento

¡No te preocupes! Puedes elegir directamente otro documento que se ajuste mejor a lo que buscas.

Paga como quieras, empieza a estudiar al instante

Sin suscripción, sin compromisos. Paga como estés acostumbrado con tarjeta de crédito y descarga tu documento PDF inmediatamente.

Student with book image

“Comprado, descargado y aprobado. Así de fácil puede ser.”

Alisha Student

Preguntas frecuentes