100% de satisfacción garantizada Inmediatamente disponible después del pago Tanto en línea como en PDF No estas atado a nada 4,6 TrustPilot
logo-home
Examen

English literature question bank for class 12

Puntuación
-
Vendido
-
Páginas
6
Grado
A
Subido en
18-01-2026
Escrito en
2025/2026

This document contains English Literature test papers based on Macbeth, Rhapsody, and Prism. The questions are designed to test students’ understanding of themes, characters, literary devices, and critical analysis. It includes a mix of short answer questions, long answer questions, and extract-based questions, making it useful for exam preparation, revision, and practice tests. These test papers are suitable for secondary/high school students studying English Literature and can also be used by teachers for assessment or classroom practice.

Mostrar más Leer menos
Institución
Senior / 12th Grade
Grado
English literature and composition









Ups! No podemos cargar tu documento ahora. Inténtalo de nuevo o contacta con soporte.

Libro relacionado

Escuela, estudio y materia

Institución
Senior / 12th grade
Grado
English literature and composition
Año escolar
2

Información del documento

Subido en
18 de enero de 2026
Número de páginas
6
Escrito en
2025/2026
Tipo
Examen
Contiene
Solo preguntas

Temas

Vista previa del contenido

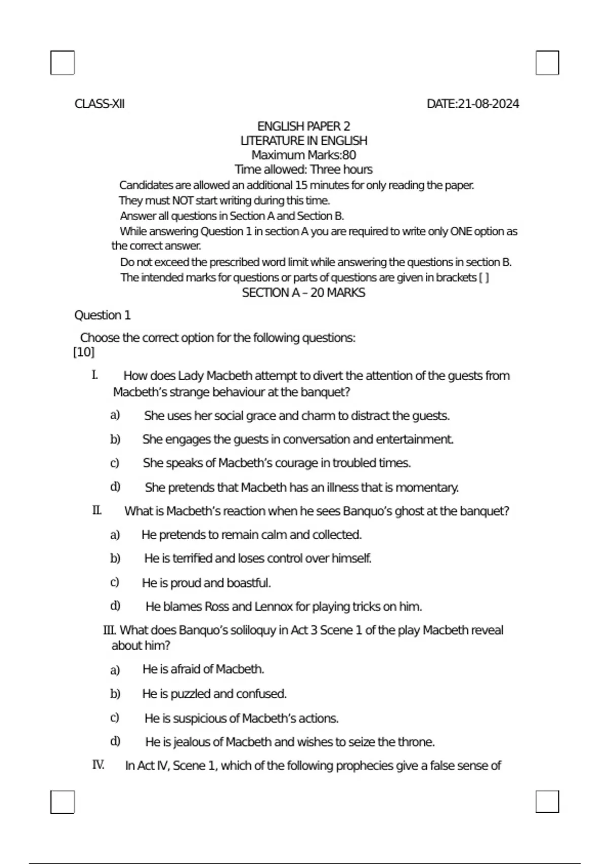
CLASS-XII DATE:21-08-2024
ENGLISH PAPER 2
LITERATURE IN ENGLISH
Maximum Marks:80
Time allowed: Three hours
Candidates are allowed an additional 15 minutes for only reading the paper.
They must NOT start writing during this time.
Answer all questions in Section A and Section B.
While answering Question 1 in section A you are required to write only ONE option as
the correct answer.
Do not exceed the prescribed word limit while answering the questions in section B.
The intended marks for questions or parts of questions are given in brackets [ ]
SECTION A – 20 MARKS
Question 1
Choose the correct option for the following questions:
[10]
I. How does Lady Macbeth attempt to divert the attention of the guests from
Macbeth’s strange behaviour at the banquet?
a) She uses her social grace and charm to distract the guests.
b) She engages the guests in conversation and entertainment.
c) She speaks of Macbeth’s courage in troubled times.
d) She pretends that Macbeth has an illness that is momentary.
II. What is Macbeth’s reaction when he sees Banquo’s ghost at the banquet?
a) He pretends to remain calm and collected.
b) He is terrified and loses control over himself.
c) He is proud and boastful.
d) He blames Ross and Lennox for playing tricks on him.
III. What does Banquo’s soliloquy in Act 3 Scene 1 of the play Macbeth reveal
about him?
a) He is afraid of Macbeth.

b) He is puzzled and confused.
c) He is suspicious of Macbeth’s actions.
d) He is jealous of Macbeth and wishes to seize the throne.
IV. In Act IV, Scene 1, which of the following prophecies give a false sense of

, security to Macbeth?
(P) Beware of Macduff.
(Q) No man born of woman can harm him.
(R) Macbeth will not be defeated until Birnam Wood comes to Dunsinane Hill.
(S) A series of eight kings the last with a mirror with Banquo, following the
procession.

a) (P) and (Q)
b) (Q and (R)
c) (R) and (S)
d) (P) and (S)
V. Read the two statements from the short story, The Cookie Lady, and choose
the correct option from the once given below.
Statement I: “Why don’t you read to me from your books? You know I
don’t see

too well anymore, and its comfort to me to be read to.”
Statement II: “You don’t mind if I touch your arm, do you?”
a) Statement I and II are similar.
b) Statement I and II are not related to each other.
c) Statement II is the reason for statement I.

d) Statement I is the reason for statement II.

VI. Which of the following best captures the central idea of the short story Atithi?
a) Longing for freedom.
b) Embracing one’s cultural roots.
c) Eternal journey of human soul.
d) Passion for nature.

VII. Which natural element plays a crucial role in the end of the story There Will
Come Soft Rains?

a) Wind b) Hail
c) Heat d) Rain
VIII. In the poem Telephone Conversation, the potent metaphor “stench of
rancid breath” is used to:
a) Evoke strong sense of repulsion and disgust.
$6.79
Accede al documento completo:

100% de satisfacción garantizada
Inmediatamente disponible después del pago
Tanto en línea como en PDF
No estas atado a nada

Conoce al vendedor
Seller avatar
rakeshraii

Conoce al vendedor

Seller avatar
rakeshraii Dps megacity , AJC Bose college
Seguir Necesitas iniciar sesión para seguir a otros usuarios o asignaturas
Vendido
Nuevo en Stuvia
Miembro desde
1 semana
Número de seguidores
0
Documentos
3
Última venta
-

0.0

0 reseñas

5
0
4
0
3
0
2
0
1
0

Recientemente visto por ti

Por qué los estudiantes eligen Stuvia

Creado por compañeros estudiantes, verificado por reseñas

Calidad en la que puedes confiar: escrito por estudiantes que aprobaron y evaluado por otros que han usado estos resúmenes.

¿No estás satisfecho? Elige otro documento

¡No te preocupes! Puedes elegir directamente otro documento que se ajuste mejor a lo que buscas.

Paga como quieras, empieza a estudiar al instante

Sin suscripción, sin compromisos. Paga como estés acostumbrado con tarjeta de crédito y descarga tu documento PDF inmediatamente.

Student with book image

“Comprado, descargado y aprobado. Así de fácil puede ser.”

Alisha Student

Preguntas frecuentes