100% satisfaction guarantee Immediately available after payment Both online and in PDF No strings attached 4.6 TrustPilot
logo-home
Exam (elaborations)

differential equations excercise sheet

Rating
-
Sold
-
Pages
1
Grade
A+
Uploaded on
09-03-2025
Written in
2023/2024

Mathematics questions based on differential equations

Content preview

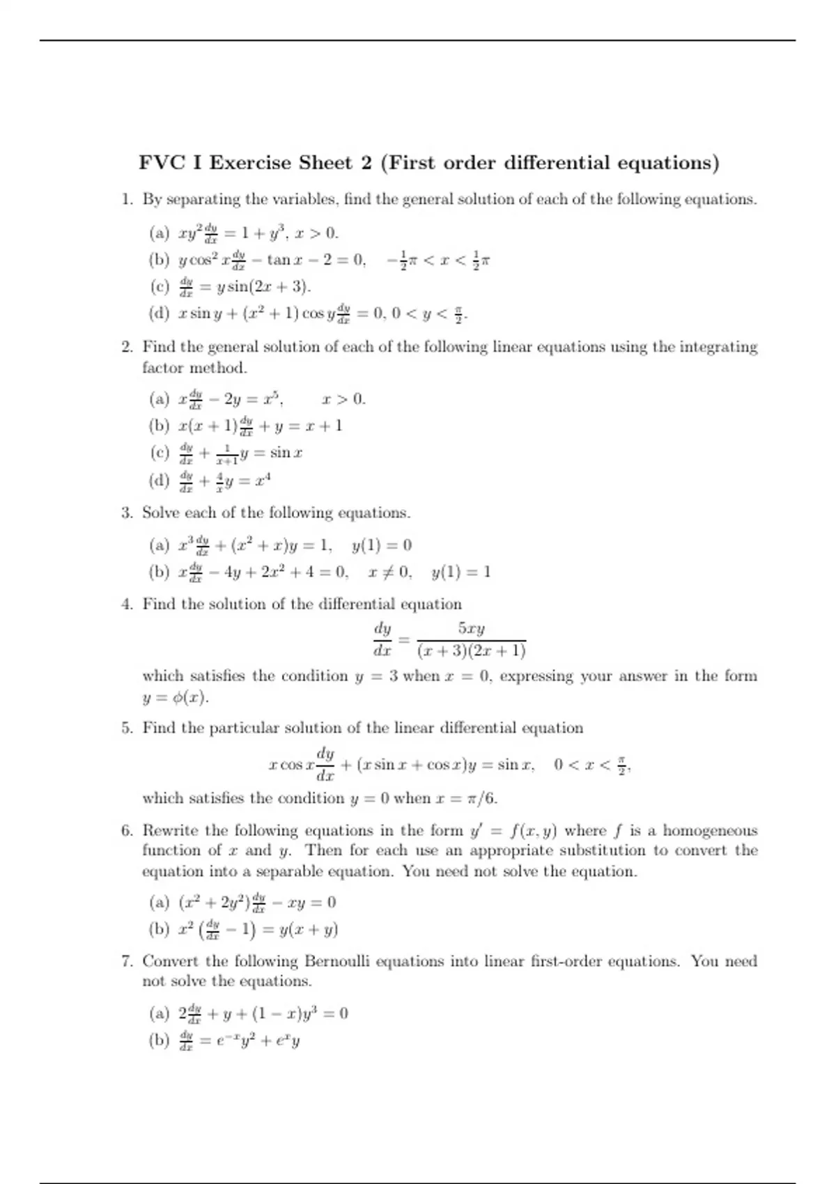
FVC I Exercise Sheet 2 (First order differential equations)
1. By separating the variables, find the general solution of each of the following equations.
dy
(a) xy 2 dx = 1 + y 3 , x > 0.
dy
(b) y cos2 x dx − tan x − 2 = 0, − 21 π < x < 12 π
dy
(c) dx
= y sin(2x + 3).
dy
(d) x sin y + (x2 + 1) cos y dx = 0, 0 < y < π2 .
2. Find the general solution of each of the following linear equations using the integrating
factor method.
dy
(a) x dx − 2y = x5 , x > 0.
dy
(b) x(x + 1) dx +y =x+1
dy 1
(c) dx
+ x+1
y = sin x
dy 4
(d) dx
+ x
y = x4
3. Solve each of the following equations.
dy
(a) x3 dx + (x2 + x)y = 1, y(1) = 0
dy
(b) x dx − 4y + 2x2 + 4 = 0, x 6= 0, y(1) = 1
4. Find the solution of the differential equation
dy 5xy
=
dx (x + 3)(2x + 1)
which satisfies the condition y = 3 when x = 0, expressing your answer in the form
y = φ(x).
5. Find the particular solution of the linear differential equation
dy
x cos x + (x sin x + cos x)y = sin x, 0 < x < π2 ,
dx
which satisfies the condition y = 0 when x = π/6.
6. Rewrite the following equations in the form y 0 = f (x, y) where f is a homogeneous
function of x and y. Then for each use an appropriate substitution to convert the
equation into a separable equation. You need not solve the equation.
dy
(a) (x2 + 2y 2 ) dx − xy = 0
dy

(b) x2 dx − 1 = y(x + y)
7. Convert the following Bernoulli equations into linear first-order equations. You need
not solve the equations.
dy
(a) 2 dx + y + (1 − x)y 3 = 0
dy
(b) dx
= e−x y 2 + ex y

Document information

Uploaded on
March 9, 2025
Number of pages
1
Written in
2023/2024
Type
Exam (elaborations)
Contains
Only questions
£4.99
Get access to the full document:

100% satisfaction guarantee
Immediately available after payment
Both online and in PDF
No strings attached

Get to know the seller
Seller avatar
hktopp64

Get to know the seller

Seller avatar
hktopp64 Keele University
View profile
Follow You need to be logged in order to follow users or courses
Sold
-
Member since
2 year
Number of followers
0
Documents
2
Last sold
-
Course work notes

selling mathematics course notes to help you with your studies

0.0

0 reviews

5
0
4
0
3
0
2
0
1
0

Trending documents

Recently viewed by you

Why students choose Stuvia

Created by fellow students, verified by reviews

Quality you can trust: written by students who passed their exams and reviewed by others who've used these revision notes.

Didn't get what you expected? Choose another document

No problem! You can straightaway pick a different document that better suits what you're after.

Pay as you like, start learning straight away

No subscription, no commitments. Pay the way you're used to via credit card and download your PDF document instantly.

Student with book image

“Bought, downloaded, and smashed it. It really can be that simple.”

Alisha Student

Frequently asked questions