100% satisfaction guarantee Immediately available after payment Both online and in PDF No strings attached 4.6 TrustPilot
logo-home
Lecture notes

Introduction to Genetics (BIOL0003) Notes - Further Chromosome Mapping

Rating
-
Sold
-
Pages
12
Uploaded on
30-11-2023
Written in
2020/2021

Explore the Introduction to Genetics (BIOL0003) module at University College London. This document delves into further chromosome mapping, unraveling complexities such as human haplotypes, linkage, and three-point mapping. Please note that these materials are intended for personal use only and should be used in accordance with academic integrity guidelines.

Show more Read less









Whoops! We can’t load your doc right now. Try again or contact support.

Document information

Uploaded on
November 30, 2023
Number of pages
12
Written in
2020/2021
Type
Lecture notes
Professor(s)
Dr amanda cain
Contains
All classes

Content preview

Linkage and Three-Point Mapping
Linkage and Three-Point Mapping
 Three-point cross
o P1 – aa bb cc x ++ ++ ++
o F1 - +a +b +c
 Triple heterozygous wild-types
o F2 – backcross to the mutant aa bb cc stock
 Expect an equal number of the 8 possible combinations of phenotypes
 1:1:1:1:1:1:1:1 ratio
 Scute (sc), echinus (ec), crossveinless (cv)
o sc-ec-cv three-point cross – mapping position of loci involved between them
 Expected result if no linkage
 P1 – scute echinus crossveinless x wildtype
o Scsc ecec cvcv x ++ ++ ++
 F1 – all wild type triple heterozygotes
o sc+ ec+ cv+
 F2 – back cross with scute echinus crossveinless tester stock
o Expect if free recombination
 Equal numbers of all possible combinations – 2 3
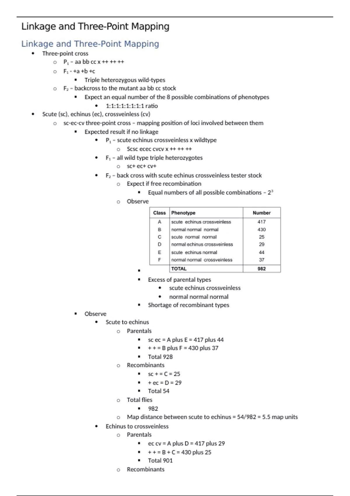
o Observe





 Excess of parental types
 scute echinus crossveinless
 normal normal normal
 Shortage of recombinant types
 Observe
 Scute to echinus
o Parentals
 sc ec = A plus E = 417 plus 44
 + + = B plus F = 430 plus 37
 Total 928
o Recombinants
 sc + = C = 25
 + ec = D = 29
 Total 54
o Total flies
 982
o Map distance between scute to echinus = 54/982 = 5.5 map units
 Echinus to crossveinless
o Parentals
 ec cv = A plus D = 417 plus 29
 + + = B + C = 430 plus 25
 Total 901
o Recombinants

, Linkage and Three-Point Mapping
 ec + = E = 44
 + cv = F = 27
 Total 81
o Total flies
 982
o Map distance between echinus and crossveinless = 81/982 = 8.2 map units
 Scute to crossveinless
o Parentals
 sc cv = A = 417
 + + = B = 430
 Total 847
o Recombinants
 sc + = C plus E = 25 plus 44
 + cv = D plus F = 37 plus 37
 Total 135
o Total flies
 982
o Map distance between echinus and crossveinless = 135/982 = 13.7 map
units
 Scute-echinus-crossveinless map





 Crossveinless (cv), cut (ct), vermilion (ve)
o cv, ct, ve three point cross – mapping position of loci involved between them
 Expected result if no linkage
 P1 – crossveinless cut vermilion x wild type
o cvcv ctct veve x ++ ++ ++
 F1 – all wild type triple heterozygous cv+ ct+ ve+
 F2 – back cross with crossveinless cut vermilion tester stock
o Expect if free recombination
 Equal numbers of all 8 possible combinations
o Observe





 Parentals
o cv ct ve
o +++
 Single crossovers – one recombination event
o cv + +
£6.99
Get access to the full document:

100% satisfaction guarantee
Immediately available after payment
Both online and in PDF
No strings attached

Get to know the seller
Seller avatar
sujansathiendran
5.0
(1)

Also available in package deal

Thumbnail
Package deal
Introduction to Genetics (BIOL0003) Notes
-
5 2023
£ 34.95 More info

Get to know the seller

Seller avatar
sujansathiendran University College London
View profile
Follow You need to be logged in order to follow users or courses
Sold
5
Member since
3 year
Number of followers
5
Documents
42
Last sold
1 year ago

5.0

1 reviews

5
1
4
0
3
0
2
0
1
0

Recently viewed by you

Why students choose Stuvia

Created by fellow students, verified by reviews

Quality you can trust: written by students who passed their exams and reviewed by others who've used these revision notes.

Didn't get what you expected? Choose another document

No problem! You can straightaway pick a different document that better suits what you're after.

Pay as you like, start learning straight away

No subscription, no commitments. Pay the way you're used to via credit card and download your PDF document instantly.

Student with book image

“Bought, downloaded, and smashed it. It really can be that simple.”

Alisha Student

Frequently asked questions