100% satisfaction guarantee Immediately available after payment Both online and in PDF No strings attached 4.6 TrustPilot
logo-home
Class notes

Exam Prep Notes

Rating
-
Sold
-
Pages
27
Uploaded on
30-08-2023
Written in
2022/2023

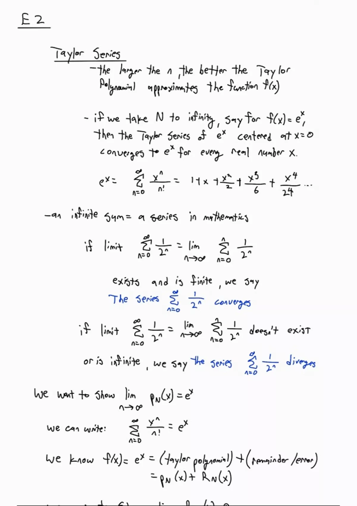
Exam prep for MAT187 notes including Taylor Series, Maclaurin Series, and various Calculus II topics.











Whoops! We can’t load your doc right now. Try again or contact support.

Document information

Uploaded on
August 30, 2023
Number of pages
27
Written in
2022/2023
Type
Class notes
Professor(s)
Palacios
Contains
Mat187

Subjects

CA$12.79
Get access to the full document:

100% satisfaction guarantee
Immediately available after payment
Both online and in PDF
No strings attached

Get to know the seller
Seller avatar
naeemlallmohamed

Get to know the seller

Seller avatar
naeemlallmohamed University of Toronto
View profile
Follow You need to be logged in order to follow users or courses
Sold
-
Member since
2 year
Number of followers
0
Documents
1
Last sold
-

0.0

0 reviews

5
0
4
0
3
0
2
0
1
0

Recently viewed by you

Why students choose Stuvia

Created by fellow students, verified by reviews

Quality you can trust: written by students who passed their tests and reviewed by others who've used these notes.

Didn't get what you expected? Choose another document

No worries! You can instantly pick a different document that better fits what you're looking for.

Pay as you like, start learning right away

No subscription, no commitments. Pay the way you're used to via credit card and download your PDF document instantly.

Student with book image

“Bought, downloaded, and aced it. It really can be that simple.”

Alisha Student

Frequently asked questions