100% de satisfacción garantizada Inmediatamente disponible después del pago Tanto en línea como en PDF No estas atado a nada 4,6 TrustPilot
logo-home
Notas de lectura

solving linear and compound linear inequalities

Puntuación
-
Vendido
-
Páginas
2
Subido en
17-06-2023
Escrito en
2022/2023

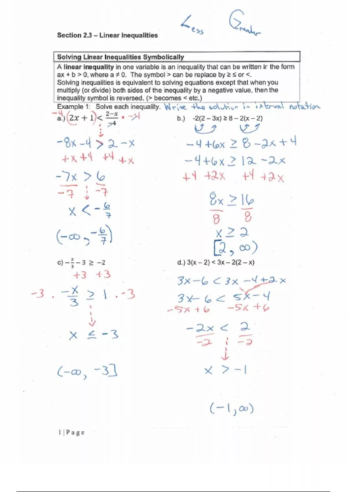
In algebra, solving linear and compound linear inequalities involves finding the values of a variable that satisfy the given inequality statement. Linear inequalities are expressed using inequality symbols such as (less than), (greater than), ≤ (less than or equal to), or ≥ (greater than or equal to). To solve a linear inequality, we perform similar operations on both sides of the inequality sign to isolate the variable. The solution is represented as an interval or a set of values that make the inequality true. Compound linear inequalities involve multiple linear inequalities combined with logical operators such as "and" or "or." To solve compound linear inequalities, we solve each inequality separately and then combine the solutions based on the logical operator. The solutions are represented as a combined interval or a set of values satisfying all the inequalities. Solving linear and compound linear inequalities allows us to determine the range of values that satisfy specific conditions and helps us make decisions or analyze situations in various applications of algebra.

Mostrar más Leer menos








Ups! No podemos cargar tu documento ahora. Inténtalo de nuevo o contacta con soporte.

Información del documento

Subido en
17 de junio de 2023
Número de páginas
2
Escrito en
2022/2023
Tipo
NOTAS DE LECTURA
Profesor(es)
Carmen mccullough
Contiene
Todas las clases
$8.49
Accede al documento completo:

100% de satisfacción garantizada
Inmediatamente disponible después del pago
Tanto en línea como en PDF
No estas atado a nada

Conoce al vendedor
Seller avatar
sharmaynecarter

Documento también disponible en un lote

Thumbnail
Package deal
The whole deal
-
12 2023
$ 106.48 Más información

Conoce al vendedor

Seller avatar
sharmaynecarter Austin Community College
Ver perfil
Seguir Necesitas iniciar sesión para seguir a otros usuarios o asignaturas
Vendido
-
Miembro desde
2 año
Número de seguidores
0
Documentos
12
Última venta
-

0.0

0 reseñas

5
0
4
0
3
0
2
0
1
0

Documentos populares

Recientemente visto por ti

Por qué los estudiantes eligen Stuvia

Creado por compañeros estudiantes, verificado por reseñas

Calidad en la que puedes confiar: escrito por estudiantes que aprobaron y evaluado por otros que han usado estos resúmenes.

¿No estás satisfecho? Elige otro documento

¡No te preocupes! Puedes elegir directamente otro documento que se ajuste mejor a lo que buscas.

Paga como quieras, empieza a estudiar al instante

Sin suscripción, sin compromisos. Paga como estés acostumbrado con tarjeta de crédito y descarga tu documento PDF inmediatamente.

Student with book image

“Comprado, descargado y aprobado. Así de fácil puede ser.”

Alisha Student

Preguntas frecuentes