100% Zufriedenheitsgarantie Sofort verfügbar nach Zahlung Sowohl online als auch als PDF Du bist an nichts gebunden 4.2 TrustPilot
logo-home
Prüfung

ATI RN PHARMACOLOGY 2019 PROCTORED ACTUAL EXAM PHARMACOLOGY ATI 2019 PROCTORED

Bewertung
-
Verkauft
-
seiten
46
Klasse
A+
Hochgeladen auf
10-11-2025
geschrieben in
2025/2026

ATI RN PHARMACOLOGY 2019 PROCTORED ACTUAL EXAM PHARMACOLOGY ATI 2019 PROCTORED

Hochschule
Kurs











Ups! Dein Dokument kann gerade nicht geladen werden. Versuch es erneut oder kontaktiere den Support.

Schule, Studium & Fach

Hochschule
Studium
Kurs

Dokument Information

Hochgeladen auf
10. november 2025
Anzahl der Seiten
46
geschrieben in
2025/2026
Typ
Prüfung
Enthält
Fragen & Antworten

Themen

Inhaltsvorschau

ATI RN PHARMACOLOGY 2019 PROCTORED ACTUAL EXAM
/PHARMACOLOGY
ATI 2019 PROCTORED EXAM ALL 70 QUESTIONS
AND CORRECT ANSWERS| ALREADY GRADED A+




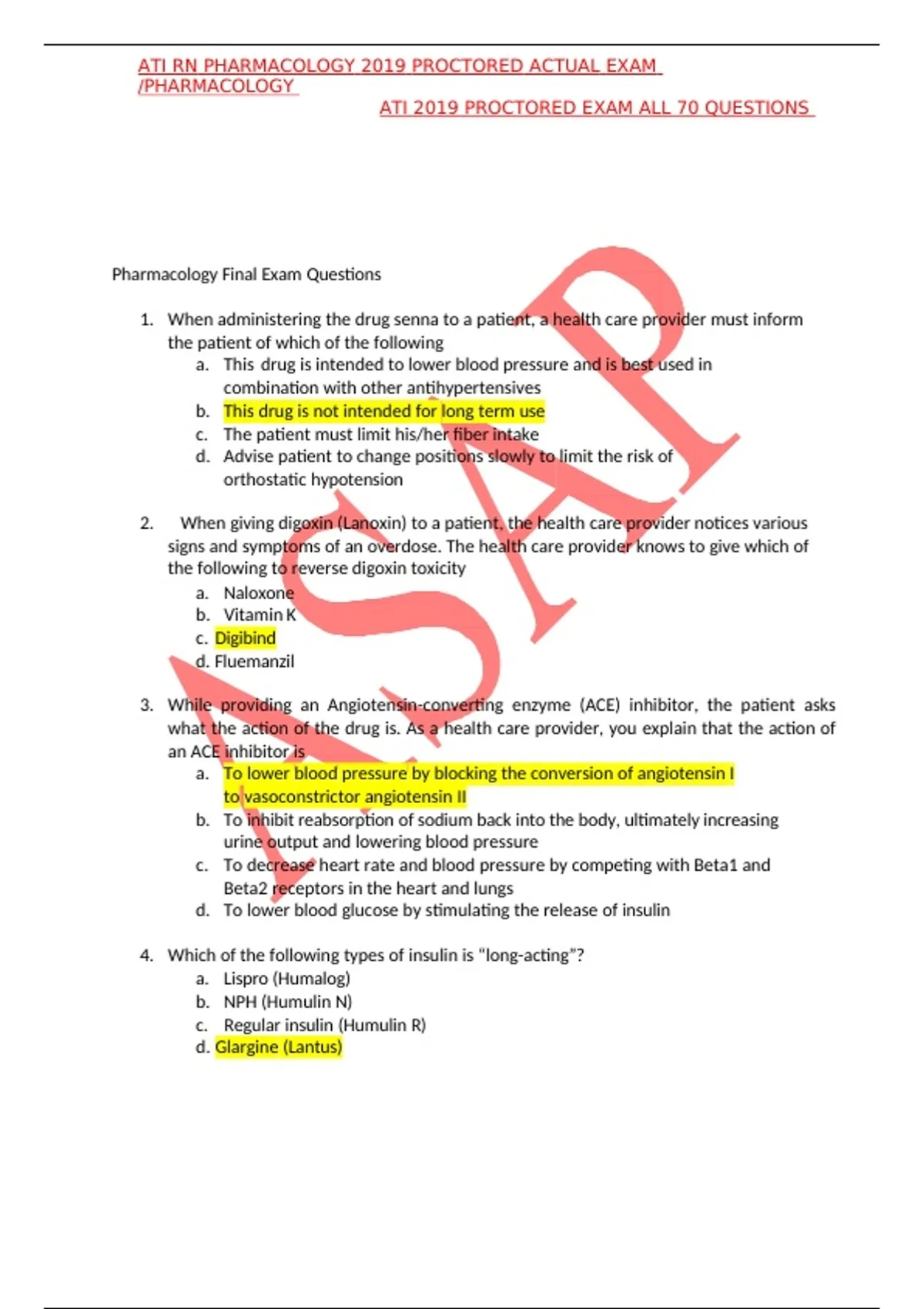
Pharmacology Final Exam Questions

1. When administering the drug senna to a patient, a health care provider must inform
the patient of which of the following
a. This drug is intended to lower blood pressure and is best used in
combination with other antihypertensives
b. This drug is not intended for long term use
c. The patient must limit his/her fiber intake
d. Advise patient to change positions slowly to limit the risk of
orthostatic hypotension

2. When giving digoxin (Lanoxin) to a patient, the health care provider notices various
signs and symptoms of an overdose. The health care provider knows to give which of
the following to reverse digoxin toxicity
a. Naloxone
b. Vitamin K
c. Digibind
d. Fluemanzil

3. While providing an Angiotensin-converting enzyme (ACE) inhibitor, the patient asks
what the action of the drug is. As a health care provider, you explain that the action of
an ACE inhibitor is
a. To lower blood pressure by blocking the conversion of angiotensin I
to vasoconstrictor angiotensin II
b. To inhibit reabsorption of sodium back into the body, ultimately increasing
urine output and lowering blood pressure
c. To decrease heart rate and blood pressure by competing with Beta1 and
Beta2 receptors in the heart and lungs
d. To lower blood glucose by stimulating the release of insulin

4. Which of the following types of insulin is “long-acting”?
a. Lispro (Humalog)
b. NPH (Humulin N)
c. Regular insulin (Humulin R)
d. Glargine (Lantus)

,ATI RN PHARMACOLOGY 2019 PROCTORED ACTUAL EXAM
/PHARMACOLOGY
ATI 2019 PROCTORED EXAM ALL 70 QUESTIONS
AND
1. What is the therapeutic use of CORRECT ANSWERS| ALREADY GRADED A+
metformin?
A. Lower blood pressure.
B. To diminish seizure activity.
C. The maintenance of a person’s blood glucose.
D. Increase heart rate and decrease gastrointestinal secretions.

,ATI RN PHARMACOLOGY 2019 PROCTORED ACTUAL EXAM
/PHARMACOLOGY
ATI 2019 PROCTORED EXAM ALL 70 QUESTIONS
AND CORRECT ANSWERS| ALREADY GRADED A+
1. What is the correct definition for absorption of a drug?
A. Movement of drug from site of administration to various tissues of the body.
B. Describes the absorption, distribution, metabolism & excretion of drugs.
C. These types of drugs can be taken over the counter.
D. This addresses how various drugs affect different forms of the body.


2. What do you assess for in a patient who is on Valproate? Select all that apply.
A. Suicidal thoughts
B. Monitor for seizures.
C. Bipolar disorder.
D. Migraines.


3. What is true about food and drug precautions? Select all that apply.
A. You must limit certain types of food or concurrent administration of certain
types of drugs.
B. Certain combinations of food and drugs can cause adverse reactions.
C. Precautions may require limiting certain types of food or concurring drugs
rather than restricting the drug itself.
D. When one drug changes the way, another drug affects that drug.

1. ACE Inhibitors are used in the treatment of all EXCEPT:
a. Hypertension
b. Heart Failure
c. Hypotension
d. Diabetic nephropathy

2. Which of the following is used to treat migraine headaches?
a. Beta-blockers
b. Cholinesterase Inhibitors
c. ACE inhibitors
d. Anti-epileptic drugs (AEDs)

3. When administering a Serotonin Antagonist it is important to monitor for
a. Intake and output
b. Mental status changes
c. Respiratory rate
d. Anorexia

4. Which of the following is the antidote for Heparin?
a. Protamine sulfate

, ATI RN PHARMACOLOGY 2019 PROCTORED ACTUAL EXAM
/PHARMACOLOGY
ATI 2019 PROCTORED EXAM ALL 70 QUESTIONS
AND CORRECT ANSWERS| ALREADY GRADED A+
b. Vitamin K
c. Naloxone
d. Toradol


1. A patient has been taking hydrocodone, and opioid analgesic for their moderate
pain, and they have taken over their prescribed dose. What should you give as the antidote
if they experience toxicity?
A. Naloxone
B. N-acetylcysteine
C. Atropine
D. Digoxin immune Fab

1. A patient is being educated on taking levothyroxine, a drug used to balance
thyroid activity. What should you include in their education?
A. Don’t bother your health care professionals if you experience side effects
B. Take this at the same time every day
C. Thyroid tests are unnecessary while taking this drug
D. It is okay to take this drug if you have recently had a myocardial infarction

1. A patient states he experiences anxiety and has panic attacks at least once a week.
What might be helpful for this patient?
A. Phenytoin (Dilantin)
B. Lithium
C. Alprazolam (Xanax)
D. Spironolactone

1. Which of the following is NOT an opioid or NSAID?
A. Morphine
B. Ibuprofen
C. Hydromorphone
D. Acetaminophen


1) Why is it important to monitor ins and outs with patients using ACE inhibitors?
A. To assess for renal impairment
B. You must make sure the patient is receiving adequate fluid intake
C. To assess the patient for potential heart failure
D. You must assess for NSAID use
E. To assess for decreased blood pressure
15,79 €
Vollständigen Zugriff auf das Dokument erhalten:

100% Zufriedenheitsgarantie
Sofort verfügbar nach Zahlung
Sowohl online als auch als PDF
Du bist an nichts gebunden

Lerne den Verkäufer kennen

Seller avatar
Bewertungen des Ansehens basieren auf der Anzahl der Dokumente, die ein Verkäufer gegen eine Gebühr verkauft hat, und den Bewertungen, die er für diese Dokumente erhalten hat. Es gibt drei Stufen: Bronze, Silber und Gold. Je besser das Ansehen eines Verkäufers ist, desto mehr kannst du dich auf die Qualität der Arbeiten verlassen.
LAWEXEPRT Universiteit van Amsterdam
Folgen Sie müssen sich einloggen, um Studenten oder Kursen zu folgen.
Verkauft
29
Mitglied seit
3 Jahren
Anzahl der Follower
16
Dokumente
940
Zuletzt verkauft
2 Jahren vor
LI prepare and sell top quality notes that are concise and easy to understand to LPC, LLM and LLB students. The LLB and LPC are difficult courses, not to mention the thousands of pages you need to read during your prep. I know how overwhelming it all can

I have done papers of various topics and complexities. I am punctual and always submit work on-deadline. I write engaging and informative content on all subjects. Send me your research papers, case studies, psychology papers, etc, and I’ll do them to the best of my abilities. Writing is my passion when it comes to academic work. I’ve got a good sense of structure and enjoy finding interesting ways to deliver information in any given paper. I love impressing clients with my work, and I am very punctual about deadlines. Send me your assignment and I’ll take it to the next level. I strive for my content to be of the highest quality. Your wishes come first— send me your requirements and I’ll make a piece of work with fresh ideas, consistent structure, and following the academic formatting rules.

Mehr lesen Weniger lesen
4,5

4 rezensionen

5
2
4
2
3
0
2
0
1
0

Warum sich Studierende für Stuvia entscheiden

on Mitstudent*innen erstellt, durch Bewertungen verifiziert

Geschrieben von Student*innen, die bestanden haben und bewertet von anderen, die diese Studiendokumente verwendet haben.

Nicht zufrieden? Wähle ein anderes Dokument

Kein Problem! Du kannst direkt ein anderes Dokument wählen, das besser zu dem passt, was du suchst.

Bezahle wie du möchtest, fange sofort an zu lernen

Kein Abonnement, keine Verpflichtungen. Bezahle wie gewohnt per Kreditkarte oder Sofort und lade dein PDF-Dokument sofort herunter.

Student with book image

“Gekauft, heruntergeladen und bestanden. So einfach kann es sein.”

Alisha Student

Häufig gestellte Fragen