Gesamtzusammenfassung des Semesters
Definition Schuldverhältnis i.w.S.:
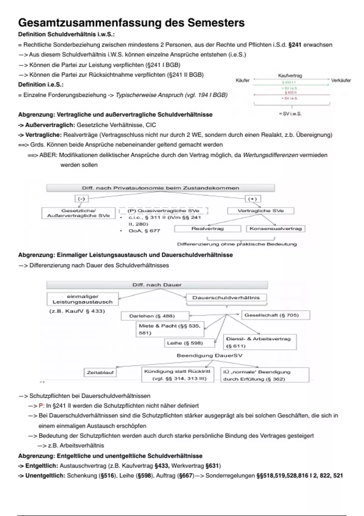
= Rechtliche Sonderbeziehung zwischen mindestens 2 Personen, aus der Rechte und Pflichten i.S.d. §241 erwachsen
—> Aus diesem Schuldverhältnis i.W.S. können einzelne Ansprüche entstehen (i.e.S.)
—> Können die Partei zur Leistung verpflichten (§241 I BGB)
—> Können die Partei zur Rücksichtnahme verpflichten (§241 II BGB)
Definition i.e.S.:
= Einzelne Forderungsbeziehung -> Typischerweise Anspruch (vgl. 194 I BGB)
Abgrenzung: Vertragliche und außervertragliche Schuldverhältnisse
-> Außervertraglich: Gesetzliche Verhältnisse, CIC
-> Vertragliche: Realverträge (Vertragsschluss nicht nur durch 2 WE, sondern durch einen Realakt, z.b. Übereignung)
==> Grds. Können beide Ansprüche nebeneinander geltend gemacht werden
==> ABER: Modifikationen deliktischer Ansprüche durch den Vertrag möglich, da Wertungsdifferenzen vermieden
werden sollen
Abgrenzung: Einmaliger Leistungsaustausch und Dauerschuldverhältnisse
—> Differenzierung nach Dauer des Schuldverhältnisses
—> Schutzpflichten bei Dauerschuldverhältnissen
—> P: In §241 II werden die Schutzpflichten nicht näher definiert
—> Bei Dauerschuldverhältnissen sind die Schutzpflichten stärker ausgeprägt als bei solchen Geschäften, die sich in
einem einmaligen Austausch erschöpfen
—> Bedeutung der Schutzpflichten werden auch durch starke persönliche Bindung des Vertrages gesteigert
—> z.B. Arbeitsverhältnis
Abgrenzung: Entgeltliche und unentgeltliche Schuldverhältnisse
-> Entgeltlich: Austauschvertrag (z.B. Kaufvertrag §433, Werkvertrag §631)
-> Unentgeltlich: Schenkung (§516), Leihe (§598), Auftrag (§667)—> Sonderregelungen §§518,519,528,816 I 2, 822, 521
,Grundprinzipien des Schuldrechts
-> Vertragsfreiheit ( Privatautonomie) §311 I
-> Gerechter Interessenausgleich
-> Treu und Glauben §242
-> Schutz wirtschaftlich/ sozial schwächerer Partei
-> Verschuldensprinzip
-> Schadensersatzrecht
-> Z.T. Erhebliche Abmilderungen durch Verschuldensvermutungen, z.B. §280 I 2 BGB
-> Verschuldensunabhängiger Anspruch auf Erfüllung
Art der schuldrechtlichen Pflichten
-> Hauptleistungspflichten und Nebenleistungspflichten
Definition Hauptleistungspflichten:
= Leistungspflichten, die für das konkrete Schuldverhältnis wesentlich sind. Sie ergeben sich bei den vertraglichen
Schuldverhältnissen aus der Parteivereinbarung und bei gesetzlichen Schuldverhältnissen aus dem Gesetz
Definition Nebenleistungspflichten:
= Alle anderen selbständig einklagbaren Pflichten. Sie können auf die ordnungsgemäße Erbringung und Nutzung der
eigenen Hauptleistungspflichten bezogen sein, aber auch einen anderen Zweck verfolgen
—> Nebenleistungspflichten können vertraglich vereinbart werden, oder auch ausdrücklich vom Gesetz genannt werden
z.B. §§ 666, 402, 379 I HGB)
—> Sie können sich aber auch aus §242 BGB ergeben
Leistungspflichten und Schutzpflichten
Defintion Schutzpflichten:
= Das Schuldverhältnis kann seinem Inhalt nach jeden Teil zur Rücksicht auf die Rechte, Rechtsgüter und Interessen
des anderen Teil verpflichten
-> Diese sind nicht selbstständig einklagbar
-> Im Falle einer Verletzung dieser Pflicht kann ein Rücktrittsrecht (§324) oder Ein SE Anspruch (§§280 I, 282) entstehen
-> Inhalt und Umfang derartiger Schutzpflichten können je nach Art und Intensität des SVs verschieden sein
Abgrenzung: Pflichten und Obliegenheiten
Obliegenheiten:
= „Pflichten gegen sich selbst“
-> Bestehen nur im Eigenen Interesse
-> Andere Partei kann diese nicht einklagen
-> evtl. rechtsanachteile bei nichtbeachtung aber kein SE
, §2 - Culpa in Contrahendo
-> §311 BGB
= Verschulden vor Vertragsschluss/ bei der Vertragsanbahnung
-> Anspruchsgrundlage
= §§ 280 I, 311 II, 241 II BGB
-> Voraussetzungen für den Schadensersatz:
-> Schuldverhältnis - hier: Verletzung einer Pflicht aus §241 II
-> Vertretenmüssen (§280 I 2 BGB) -> Exkulpation möglich??
-> Schaden
-> §311 II
-> Aufnahme von Vertragsverhandlungen (nr. 1)
-> Anbahnung eines Vertrages (nr, 2)
-> Ähnliche geschäftliche Kontakte (nr.3)
Es entstehen keine (primären) Leistungspflichten, „nur“ Schutz- und Rücksichtsnahmepflichten
-> Rechtsfolgen
-> Der Geschädigte ist so zu stellen, wie er stünde, wenn das schädigende Ereignis nicht eingetreten wäre
—> Vertrauensschadensersatz als Folge der Differenzhypothese des §249 I BGB
-> nach e.A. Kann die Differenzhypothese auch in SELTENEN FÄLLEN zum Ersatz des positiven Interesses
führen
-> Fallgruppen:
-> Verletzung von Schutz - und Obhutspflichten
-> Abbruch und Verzögerung von Vertragsverhandlungen
-> Verursachung unwirksamer Verträge oder Vertragsbedingungen
-> Verletzung von Aufklärungs- und Beratungspflichten
Beispielsfall 1:
A möchte im Tübinger Einzelhandel des S einkaufen. Beim Stöbern durch die Regale rutscht sie auf einer aufgeplatzten
Packung Reis aus. Diese hatte der sonst zuverlässige Angestellte B beim einräumen der Regale heruntergeworfen und
zunächst liegen lassen. Bei ihrem Sturz bricht sich A das Handgelenk. Ansprüche der A gegen S und B??
Lösung zu Fall 1:
In der Klausur wäre CIC hier als Vertragsähnlicher Anspruch nach den vertraglichen und vor den deliktischen Ansprüchen
zu prüfen.
A. Vertragliche Ansprüche (-)
B. Anspruch aus §831 I gegen S?
-> Nein, Exkulpation gem. §831 II möglich, da B normalerweise zuverlässig arbeitet
C. Anspruch aus §831 I BGB gegen B?
-> Hier (+)
-> Aber im Allgemeinen P: Verschulden des B muss durch A nachgewiesen werden + Anspruch gegen einen Gehilfen
oft nicht werthaltig
=> Daher Frage nach dem Anspruch aus C.I.C. Oft entscheidend
D. Anspruch der A gegen S aus §§280 I, 311 II, 241 II BGB
I. Schuldverhältnis (+) -> Anbahnung eines Vertrages §311 II Nr. 2 BGB
II. Pflichtverletzung (+) -> Pflicht zur Rücksichtnahme auf das Rechtsgut Gesundheit der A (§241 II BGB)
III. Vertretenmüssen (+) -> Exkulpation des B nicht möglich und S muss sich das Verhalten des B zurechnen §278
IV. Schaden (+) -> Gesundheitsverletzung
Definition Schuldverhältnis i.w.S.:
= Rechtliche Sonderbeziehung zwischen mindestens 2 Personen, aus der Rechte und Pflichten i.S.d. §241 erwachsen
—> Aus diesem Schuldverhältnis i.W.S. können einzelne Ansprüche entstehen (i.e.S.)
—> Können die Partei zur Leistung verpflichten (§241 I BGB)
—> Können die Partei zur Rücksichtnahme verpflichten (§241 II BGB)
Definition i.e.S.:
= Einzelne Forderungsbeziehung -> Typischerweise Anspruch (vgl. 194 I BGB)
Abgrenzung: Vertragliche und außervertragliche Schuldverhältnisse
-> Außervertraglich: Gesetzliche Verhältnisse, CIC
-> Vertragliche: Realverträge (Vertragsschluss nicht nur durch 2 WE, sondern durch einen Realakt, z.b. Übereignung)
==> Grds. Können beide Ansprüche nebeneinander geltend gemacht werden
==> ABER: Modifikationen deliktischer Ansprüche durch den Vertrag möglich, da Wertungsdifferenzen vermieden
werden sollen
Abgrenzung: Einmaliger Leistungsaustausch und Dauerschuldverhältnisse
—> Differenzierung nach Dauer des Schuldverhältnisses
—> Schutzpflichten bei Dauerschuldverhältnissen
—> P: In §241 II werden die Schutzpflichten nicht näher definiert
—> Bei Dauerschuldverhältnissen sind die Schutzpflichten stärker ausgeprägt als bei solchen Geschäften, die sich in
einem einmaligen Austausch erschöpfen
—> Bedeutung der Schutzpflichten werden auch durch starke persönliche Bindung des Vertrages gesteigert
—> z.B. Arbeitsverhältnis
Abgrenzung: Entgeltliche und unentgeltliche Schuldverhältnisse
-> Entgeltlich: Austauschvertrag (z.B. Kaufvertrag §433, Werkvertrag §631)
-> Unentgeltlich: Schenkung (§516), Leihe (§598), Auftrag (§667)—> Sonderregelungen §§518,519,528,816 I 2, 822, 521
,Grundprinzipien des Schuldrechts
-> Vertragsfreiheit ( Privatautonomie) §311 I
-> Gerechter Interessenausgleich
-> Treu und Glauben §242
-> Schutz wirtschaftlich/ sozial schwächerer Partei
-> Verschuldensprinzip
-> Schadensersatzrecht
-> Z.T. Erhebliche Abmilderungen durch Verschuldensvermutungen, z.B. §280 I 2 BGB
-> Verschuldensunabhängiger Anspruch auf Erfüllung
Art der schuldrechtlichen Pflichten
-> Hauptleistungspflichten und Nebenleistungspflichten
Definition Hauptleistungspflichten:
= Leistungspflichten, die für das konkrete Schuldverhältnis wesentlich sind. Sie ergeben sich bei den vertraglichen
Schuldverhältnissen aus der Parteivereinbarung und bei gesetzlichen Schuldverhältnissen aus dem Gesetz
Definition Nebenleistungspflichten:
= Alle anderen selbständig einklagbaren Pflichten. Sie können auf die ordnungsgemäße Erbringung und Nutzung der
eigenen Hauptleistungspflichten bezogen sein, aber auch einen anderen Zweck verfolgen
—> Nebenleistungspflichten können vertraglich vereinbart werden, oder auch ausdrücklich vom Gesetz genannt werden
z.B. §§ 666, 402, 379 I HGB)
—> Sie können sich aber auch aus §242 BGB ergeben
Leistungspflichten und Schutzpflichten
Defintion Schutzpflichten:
= Das Schuldverhältnis kann seinem Inhalt nach jeden Teil zur Rücksicht auf die Rechte, Rechtsgüter und Interessen
des anderen Teil verpflichten
-> Diese sind nicht selbstständig einklagbar
-> Im Falle einer Verletzung dieser Pflicht kann ein Rücktrittsrecht (§324) oder Ein SE Anspruch (§§280 I, 282) entstehen
-> Inhalt und Umfang derartiger Schutzpflichten können je nach Art und Intensität des SVs verschieden sein
Abgrenzung: Pflichten und Obliegenheiten
Obliegenheiten:
= „Pflichten gegen sich selbst“
-> Bestehen nur im Eigenen Interesse
-> Andere Partei kann diese nicht einklagen
-> evtl. rechtsanachteile bei nichtbeachtung aber kein SE
, §2 - Culpa in Contrahendo
-> §311 BGB
= Verschulden vor Vertragsschluss/ bei der Vertragsanbahnung
-> Anspruchsgrundlage
= §§ 280 I, 311 II, 241 II BGB
-> Voraussetzungen für den Schadensersatz:
-> Schuldverhältnis - hier: Verletzung einer Pflicht aus §241 II
-> Vertretenmüssen (§280 I 2 BGB) -> Exkulpation möglich??
-> Schaden
-> §311 II
-> Aufnahme von Vertragsverhandlungen (nr. 1)
-> Anbahnung eines Vertrages (nr, 2)
-> Ähnliche geschäftliche Kontakte (nr.3)
Es entstehen keine (primären) Leistungspflichten, „nur“ Schutz- und Rücksichtsnahmepflichten
-> Rechtsfolgen
-> Der Geschädigte ist so zu stellen, wie er stünde, wenn das schädigende Ereignis nicht eingetreten wäre
—> Vertrauensschadensersatz als Folge der Differenzhypothese des §249 I BGB
-> nach e.A. Kann die Differenzhypothese auch in SELTENEN FÄLLEN zum Ersatz des positiven Interesses
führen
-> Fallgruppen:
-> Verletzung von Schutz - und Obhutspflichten
-> Abbruch und Verzögerung von Vertragsverhandlungen
-> Verursachung unwirksamer Verträge oder Vertragsbedingungen
-> Verletzung von Aufklärungs- und Beratungspflichten
Beispielsfall 1:
A möchte im Tübinger Einzelhandel des S einkaufen. Beim Stöbern durch die Regale rutscht sie auf einer aufgeplatzten
Packung Reis aus. Diese hatte der sonst zuverlässige Angestellte B beim einräumen der Regale heruntergeworfen und
zunächst liegen lassen. Bei ihrem Sturz bricht sich A das Handgelenk. Ansprüche der A gegen S und B??
Lösung zu Fall 1:
In der Klausur wäre CIC hier als Vertragsähnlicher Anspruch nach den vertraglichen und vor den deliktischen Ansprüchen
zu prüfen.
A. Vertragliche Ansprüche (-)
B. Anspruch aus §831 I gegen S?
-> Nein, Exkulpation gem. §831 II möglich, da B normalerweise zuverlässig arbeitet
C. Anspruch aus §831 I BGB gegen B?
-> Hier (+)
-> Aber im Allgemeinen P: Verschulden des B muss durch A nachgewiesen werden + Anspruch gegen einen Gehilfen
oft nicht werthaltig
=> Daher Frage nach dem Anspruch aus C.I.C. Oft entscheidend
D. Anspruch der A gegen S aus §§280 I, 311 II, 241 II BGB
I. Schuldverhältnis (+) -> Anbahnung eines Vertrages §311 II Nr. 2 BGB
II. Pflichtverletzung (+) -> Pflicht zur Rücksichtnahme auf das Rechtsgut Gesundheit der A (§241 II BGB)
III. Vertretenmüssen (+) -> Exkulpation des B nicht möglich und S muss sich das Verhalten des B zurechnen §278
IV. Schaden (+) -> Gesundheitsverletzung