100% Zufriedenheitsgarantie Sofort verfügbar nach Zahlung Sowohl online als auch als PDF Du bist an nichts gebunden 4,6 TrustPilot
logo-home
Zusammenfassung

Summary - Tort Law

Bewertung
-
Verkauft
-
seiten
20
Hochgeladen auf
15-05-2024
geschrieben in
2022/2023

This document is a clear and concise summary of all the materials covered in tort law, including definitions, relevant articles and examples of all covered subjects. Furthermore, for each jurisdiction (France, Germany & England) I made a table including the tort, the requirements and the case law/articles. This table makes it very easy to study for the exam and find the right information quickly. I used this summary to study for my exam and sticker my legislation bundle and I got an 8,5!

Mehr anzeigen Weniger lesen
Hochschule
Kurs

Inhaltsvorschau

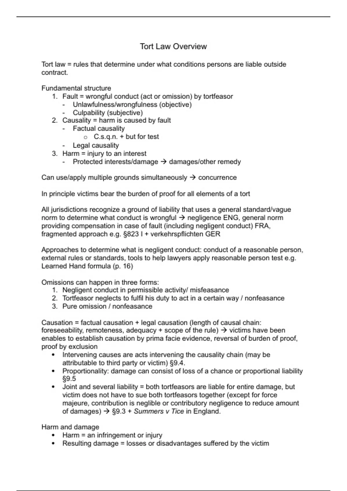
Tort Law Overview

Tort law = rules that determine under what conditions persons are liable outside
contract.

Fundamental structure
1. Fault = wrongful conduct (act or omission) by tortfeasor
- Unlawfulness/wrongfulness (objective)
- Culpability (subjective)
2. Causality = harm is caused by fault
- Factual causality
o C.s.q.n. + but for test
- Legal causality
3. Harm = injury to an interest
- Protected interests/damage  damages/other remedy

Can use/apply multiple grounds simultaneously  concurrence

In principle victims bear the burden of proof for all elements of a tort

All jurisdictions recognize a ground of liability that uses a general standard/vague
norm to determine what conduct is wrongful  negligence ENG, general norm
providing compensation in case of fault (including negligent conduct) FRA,
fragmented approach e.g. §823 I + verkehrspflichten GER

Approaches to determine what is negligent conduct: conduct of a reasonable person,
external rules or standards, tools to help lawyers apply reasonable person test e.g.
Learned Hand formula (p. 16)

Omissions can happen in three forms:
1. Negligent conduct in permissible activity/ misfeasance
2. Tortfeasor neglects to fulfil his duty to act in a certain way / nonfeasance
3. Pure omission / nonfeasance

Causation = factual causation + legal causation (length of causal chain:
foreseeability, remoteness, adequacy + scope of the rule)  victims have been
enables to establish causation by prima facie evidence, reversal of burden of proof,
proof by exclusion
 Intervening causes are acts intervening the causality chain (may be
attributable to third party or victim) §9.4.
 Proportionality: damage can consist of loss of a chance or proportional liability
§9.5
 Joint and several liability = both tortfeasors are liable for entire damage, but
victim does not have to sue both tortfeasors together (except for force
majeure, contribution is neglible or contributory negligence to reduce amount
of damages)  §9.3 + Summers v Tice in England.

Harm and damage
 Harm = an infringement or injury
 Resulting damage = losses or disadvantages suffered by the victim

,  Award of damages by the court = monetary compensation for the damage
Heads of damage = specific kinds of loss that the victim suffered  factual and legal
causality are required between fault and harm to grant remedy + between fault and
head of damage if victim wants to obtain an award of damages.

Remedies can consist of damages, orders, declarations of rights and property related
remedies.

Categories of damage
 Compensatory damages = damages to compensate loss
- Damages for material damage/pecuniary damages (incl. losses, loss of
profit, monetary interests)  courts tend to calculate/use expert valuation
- Damages for immaterial damage/non-pecuniary loss (incl. mental injury,
pain, and suffering) Schmerzengeld + courts tend to rely on precedent
 Non- compensatory damages = only common law (civil law all damages are
compensatory in nature)  punitive damages/exemplar damages, gain-based
damages, nominal damages
 future damages and loss of a chance require a particular technique for calculating

 Personal injury = bodily harm
 Property damage = damage to tangible object
 Pure economic loss = other kind of harm (non-physical) not resulting from
personal injury or property damage  often not compensated (e.g. in §823 I
BGB or tort of negligence)
Personal injury and property damage can lead to economic loss (economic loss
following from ….)

§11. 2 Assessment of damages: 1) identify all heads of damage, 2) check whether
there is a causal connection between each of the heads of damage and the wrongful
act, 3) assess each head of damage to a certain amount of money, 4) apply
corrections if necessary (contributory negligence, deducting collateral benefits, duty
to mitigate losses, mitigation for reasons of equity)

Quite often damages are not paid by tortfeasor, but by an insurance company or
specific funds. This is for example compulsory for motorized vehicles, certain social
security cases  more info §11.5 + p.30-31 notes

Breach of statutory duty only applies when there is a statutory duty that is not in itself
a tort (typical rules of criminal and administrative laws) and that duty has been
breached

Subjective fault (person is responsible for their actions) is often presumed
(reasonable person test)  accountability + assessment of liability/degree of
intentionality
3-fold categorisation of intentionality:
 Negligence = the harm was not intended by the actor
 Intention = knowingly acting and knowing of the consequence
 Malice = aiming at the harm/goal is to cause harm
(also recklessness)

,  different approaches for mentally disturbed persons and children

What can the defendant argue? Deny that conditions are met (burden of proof),
argue different interpretation of the law, & defences (grounds of justification)
Defences (tortfeasor is not liable due to ….) generally recognized around the world
 Contributory negligence
 Permission/consent
 Assumption of risk
 Force majeure
 Necessity
 Self-defence
 Illegality
 Statutory duty
 Order by legitimate authority
 for definitions/summary Ch. 12 / p.38-39 notes
+ another bar to liability = prescription (claimant waits too long to file a claim) +
defendant may be limited by prior contractual agreement + for particular cases there
are statutory limitations to liability

Personal interests
 Personal injury = bodily harm: illness, death, injuries, mental harm (in cases of
personal injury/mental harm causality is often difficult to establish because of
uncertainty regarding prior medical condition of the victim + medical outlook
for recovery)
 Damage to personality right = reputation, right to freedom, privacy

Property and economic interests
 Property damage: destruction, repair, loss of value, replacement, temporary
unavailability
 Economic loss: loss of income, loss of profit, harm to earning
capacity/goodwill, additional costs, ‘pure’ economic loss
 notion of balance: harm to an interest is allowed, as long as it does not overstep
the ‘fair balance’ between interests

Information may be any form of expression or communication that is meaningful to
others (the public), and it typically only causes pure economic loss or infringement of
intangible interests such as privacy

General Data Protection Regulation 2016/679 protects the violation of privacy EU
wide.

ISP = Internet Service Providers liability (platforms such as YouTube, TikTok, etc.) 
rules established to remove liability of ISPs if they did not know about the infringing
content on their platform (such as EU Directive 2000/31)

ECHR art 8: family life/privacy and art 10: freedom of expression  ECtHR von
Hannover v Germany shows tension of these rights


Distinction in property

Schule, Studium & Fach

Hochschule
Studium
Kurs

Dokument Information

Hochgeladen auf
15. mai 2024
Anzahl der Seiten
20
geschrieben in
2022/2023
Typ
Zusammenfassung

Themen

6,99 €
Vollständigen Zugriff auf das Dokument erhalten:

100% Zufriedenheitsgarantie
Sofort verfügbar nach Zahlung
Sowohl online als auch als PDF
Du bist an nichts gebunden

Lerne den Verkäufer kennen

Seller avatar
Bewertungen des Ansehens basieren auf der Anzahl der Dokumente, die ein Verkäufer gegen eine Gebühr verkauft hat, und den Bewertungen, die er für diese Dokumente erhalten hat. Es gibt drei Stufen: Bronze, Silber und Gold. Je besser das Ansehen eines Verkäufers ist, desto mehr kannst du dich auf die Qualität der Arbeiten verlassen.
maudvand Tilburg University
Folgen Sie müssen sich einloggen, um Studenten oder Kursen zu folgen.
Verkauft
25
Mitglied seit
1 Jahren
Anzahl der Follower
5
Dokumente
9
Zuletzt verkauft
7 Jahren vor

3,8

5 rezensionen

5
2
4
0
3
3
2
0
1
0

Kürzlich von dir angesehen.

Warum sich Studierende für Stuvia entscheiden

on Mitstudent*innen erstellt, durch Bewertungen verifiziert

Geschrieben von Student*innen, die bestanden haben und bewertet von anderen, die diese Studiendokumente verwendet haben.

Nicht zufrieden? Wähle ein anderes Dokument

Kein Problem! Du kannst direkt ein anderes Dokument wählen, das besser zu dem passt, was du suchst.

Bezahle wie du möchtest, fange sofort an zu lernen

Kein Abonnement, keine Verpflichtungen. Bezahle wie gewohnt per Kreditkarte oder Sofort und lade dein PDF-Dokument sofort herunter.

Student with book image

“Gekauft, heruntergeladen und bestanden. So einfach kann es sein.”

Alisha Student

Häufig gestellte Fragen