WON toetsweek:
Empirische cyclus:
- Probleemstelling/vraag/waarneming;
- Oriëntatie
- Toetsbare (falsificeerbare) stelling = hypothese
- Waarneming/experiment/toetsing/beschouwing
- Resultaten
- Conclusie: klopt de hypothese? -> niet? -> discussie en/of nieuwe
hypothese
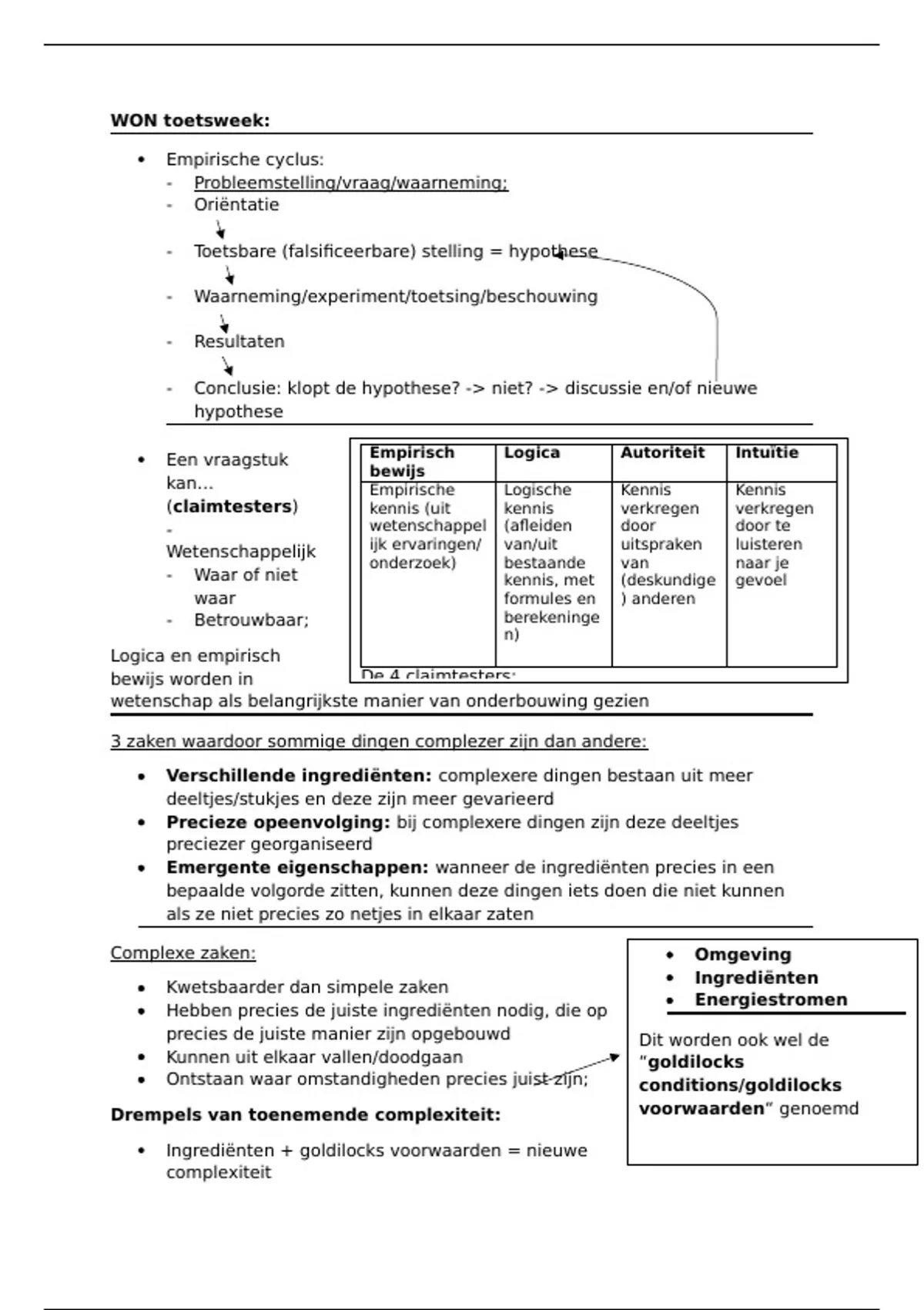
Empirisch Logica Autoriteit Intuïtie
Een vraagstuk
bewijs
kan… Empirische Logische Kennis Kennis
(claimtesters) kennis (uit kennis verkregen verkregen
- wetenschappel (afleiden door door te
ijk ervaringen/ van/uit uitspraken luisteren
Wetenschappelijk
onderzoek) bestaande van naar je
- Waar of niet kennis, met (deskundige gevoel
waar formules en ) anderen
- Betrouwbaar; berekeninge
n)
Logica en empirisch
bewijs worden in De 4 claimtesters:
wetenschap als belangrijkste manier van onderbouwing gezien
3 zaken waardoor sommige dingen complezer zijn dan andere:
Verschillende ingrediënten: complexere dingen bestaan uit meer
deeltjes/stukjes en deze zijn meer gevarieerd
Precieze opeenvolging: bij complexere dingen zijn deze deeltjes
preciezer georganiseerd
Emergente eigenschappen: wanneer de ingrediënten precies in een
bepaalde volgorde zitten, kunnen deze dingen iets doen die niet kunnen
als ze niet precies zo netjes in elkaar zaten
Complexe zaken: Omgeving
Ingrediënten
Kwetsbaarder dan simpele zaken
Energiestromen
Hebben precies de juiste ingrediënten nodig, die op
precies de juiste manier zijn opgebouwd Dit worden ook wel de
Kunnen uit elkaar vallen/doodgaan “goldilocks
Ontstaan waar omstandigheden precies juist zijn; conditions/goldilocks
Drempels van toenemende complexiteit: voorwaarden“ genoemd
Ingrediënten + goldilocks voorwaarden = nieuwe
complexiteit
, Entropie (begrip uit de thermodynamica): staat voor maat van geordendheid
Hoog = als entropie van een systeem hoog is, betekend dit dat de deeltjes
en energie heel willekeurig verdeeld zijn
Laag = als entropie laag is, betekend dit dat er een heel erg
georganiseerde verdeling van energie en deeltjes is
(zandkasteel = lage entropie & zandhoop = hoge entropie)
Entropie koppelen aan leven:
Het verleden was meer geordend & de toekomst zal minder geordend zijn
-idee verbonden met “the arrow of time“
Entropie neemt altijd toe, want er zijn meer manieren mogelijk om ongeordend
dan geordend te bestaan
Collectief leren = feiten/kennis/ervaring met elkaar combineren/praktisch toepassen
Hoe zijn wij achter de Big Bang History gekomen?
De Grieken, onze voorouders
zij beschreven alles, maar verklaarde niet wetenschappelijk (= vragen
stellen die beginnen met waarom/ hoe)
Aristoteles:
gebruikte veel deductie (= vanuit een algemene theorie trok hij
specifieke conslusies)
Aristoteles formuleerde uitgebreid het georganiseerde model;
- Hierin werd de aarde als centrum van bolvormige kosmos gezien,
waarna Ptolemaeus dit model verder uitwerkte
Mensen namen de ideeën van Aristoteles over, en voegde ze samen met
geloofsleren. Pas na honderden jaren gingen mensen radicaal denken, en werd
inductie belangrijker dan deductie;
- Vanuit specifieke waarnemingen trekken we conclusies
Deductie: (conclusies trekken uit een algemene aanname, veelal door logische
redenering)
Alle roofdieren hebben scherpe tanden
Wolven zijn roofdieren
= alle wolven hebben scherpe tanden
Inductie: (op een algemene regel komen, op grond van verschillende
waarnemingen)
Wolf 1 heeft scherpe tanden
Wolf 2 heeft scherpe tanden
Wolf 3 heeft scherpe tanden
Empirische cyclus:
- Probleemstelling/vraag/waarneming;
- Oriëntatie
- Toetsbare (falsificeerbare) stelling = hypothese
- Waarneming/experiment/toetsing/beschouwing
- Resultaten
- Conclusie: klopt de hypothese? -> niet? -> discussie en/of nieuwe
hypothese
Empirisch Logica Autoriteit Intuïtie
Een vraagstuk
bewijs
kan… Empirische Logische Kennis Kennis
(claimtesters) kennis (uit kennis verkregen verkregen
- wetenschappel (afleiden door door te
ijk ervaringen/ van/uit uitspraken luisteren
Wetenschappelijk
onderzoek) bestaande van naar je
- Waar of niet kennis, met (deskundige gevoel
waar formules en ) anderen
- Betrouwbaar; berekeninge
n)
Logica en empirisch
bewijs worden in De 4 claimtesters:
wetenschap als belangrijkste manier van onderbouwing gezien
3 zaken waardoor sommige dingen complezer zijn dan andere:
Verschillende ingrediënten: complexere dingen bestaan uit meer
deeltjes/stukjes en deze zijn meer gevarieerd
Precieze opeenvolging: bij complexere dingen zijn deze deeltjes
preciezer georganiseerd
Emergente eigenschappen: wanneer de ingrediënten precies in een
bepaalde volgorde zitten, kunnen deze dingen iets doen die niet kunnen
als ze niet precies zo netjes in elkaar zaten
Complexe zaken: Omgeving
Ingrediënten
Kwetsbaarder dan simpele zaken
Energiestromen
Hebben precies de juiste ingrediënten nodig, die op
precies de juiste manier zijn opgebouwd Dit worden ook wel de
Kunnen uit elkaar vallen/doodgaan “goldilocks
Ontstaan waar omstandigheden precies juist zijn; conditions/goldilocks
Drempels van toenemende complexiteit: voorwaarden“ genoemd
Ingrediënten + goldilocks voorwaarden = nieuwe
complexiteit
, Entropie (begrip uit de thermodynamica): staat voor maat van geordendheid
Hoog = als entropie van een systeem hoog is, betekend dit dat de deeltjes
en energie heel willekeurig verdeeld zijn
Laag = als entropie laag is, betekend dit dat er een heel erg
georganiseerde verdeling van energie en deeltjes is
(zandkasteel = lage entropie & zandhoop = hoge entropie)
Entropie koppelen aan leven:
Het verleden was meer geordend & de toekomst zal minder geordend zijn
-idee verbonden met “the arrow of time“
Entropie neemt altijd toe, want er zijn meer manieren mogelijk om ongeordend
dan geordend te bestaan
Collectief leren = feiten/kennis/ervaring met elkaar combineren/praktisch toepassen
Hoe zijn wij achter de Big Bang History gekomen?
De Grieken, onze voorouders
zij beschreven alles, maar verklaarde niet wetenschappelijk (= vragen
stellen die beginnen met waarom/ hoe)
Aristoteles:
gebruikte veel deductie (= vanuit een algemene theorie trok hij
specifieke conslusies)
Aristoteles formuleerde uitgebreid het georganiseerde model;
- Hierin werd de aarde als centrum van bolvormige kosmos gezien,
waarna Ptolemaeus dit model verder uitwerkte
Mensen namen de ideeën van Aristoteles over, en voegde ze samen met
geloofsleren. Pas na honderden jaren gingen mensen radicaal denken, en werd
inductie belangrijker dan deductie;
- Vanuit specifieke waarnemingen trekken we conclusies
Deductie: (conclusies trekken uit een algemene aanname, veelal door logische
redenering)
Alle roofdieren hebben scherpe tanden
Wolven zijn roofdieren
= alle wolven hebben scherpe tanden
Inductie: (op een algemene regel komen, op grond van verschillende
waarnemingen)
Wolf 1 heeft scherpe tanden
Wolf 2 heeft scherpe tanden
Wolf 3 heeft scherpe tanden