100% tevredenheidsgarantie Direct beschikbaar na je betaling Lees online óf als PDF Geen vaste maandelijkse kosten 4,6 TrustPilot
logo-home
College aantekeningen

Overzicht hormonen biologie

Beoordeling
-
Verkocht
-
Pagina's
3
Geüpload op
28-06-2024
Geschreven in
2022/2023

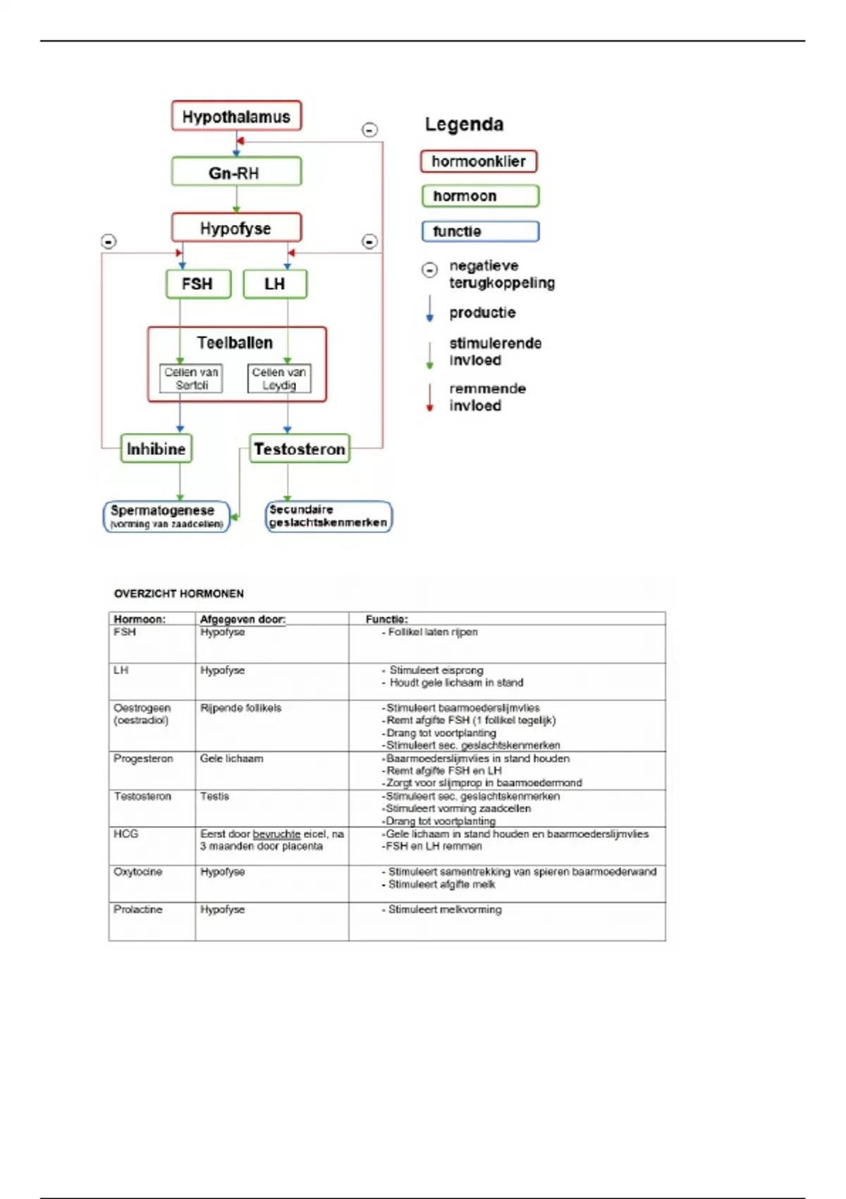
In dit document is een overzicht weergegeven van de hormonen die belangrijk zijn bij biologie. Dit is behandeld in vwo 5, maar blijft ook in 6 vwo belangrijk.









Oeps! We kunnen je document nu niet laden. Probeer het nog eens of neem contact op met support.

Geschreven voor

Instelling
Middelbare school
School jaar
5

Documentinformatie

Geüpload op
28 juni 2024
Aantal pagina's
3
Geschreven in
2022/2023
Type
College aantekeningen
Docent(en)
Blok
Bevat
College waarin de hormonen werden besproken
€5,96
Krijg toegang tot het volledige document:

100% tevredenheidsgarantie
Direct beschikbaar na je betaling
Lees online óf als PDF
Geen vaste maandelijkse kosten

Maak kennis met de verkoper
Seller avatar
diannherder

Ook beschikbaar in voordeelbundel

Thumbnail
Voordeelbundel
Samenvattingen van vwo 4, 5 en 6
-
11 2024
€ 69,76 Meer info

Maak kennis met de verkoper

Seller avatar
diannherder Saxion Hogeschool
Bekijk profiel
Volgen Je moet ingelogd zijn om studenten of vakken te kunnen volgen
Verkocht
6
Lid sinds
1 jaar
Aantal volgers
0
Documenten
36
Laatst verkocht
1 maand geleden

0,0

0 beoordelingen

5
0
4
0
3
0
2
0
1
0

Recent door jou bekeken

Waarom studenten kiezen voor Stuvia

Gemaakt door medestudenten, geverifieerd door reviews

Kwaliteit die je kunt vertrouwen: geschreven door studenten die slaagden en beoordeeld door anderen die dit document gebruikten.

Niet tevreden? Kies een ander document

Geen zorgen! Je kunt voor hetzelfde geld direct een ander document kiezen dat beter past bij wat je zoekt.

Betaal zoals je wilt, start meteen met leren

Geen abonnement, geen verplichtingen. Betaal zoals je gewend bent via iDeal of creditcard en download je PDF-document meteen.

Student with book image

“Gekocht, gedownload en geslaagd. Zo makkelijk kan het dus zijn.”

Alisha Student

Veelgestelde vragen