100% tevredenheidsgarantie Direct beschikbaar na je betaling Lees online óf als PDF Geen vaste maandelijkse kosten 4.2 TrustPilot
logo-home
Tentamen (uitwerkingen)

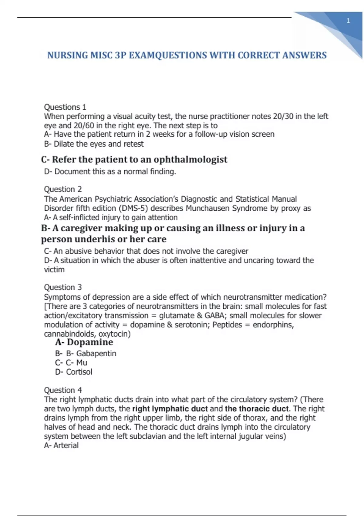
NURSING MISC 3P EXAM QUESTIONS WITH CORRECT ANSWERS

Beoordeling
-
Verkocht
-
Pagina's
33
Cijfer
A+
Geüpload op
08-06-2024
Geschreven in
2023/2024

NURSING MISC 3P EXAM QUESTIONS WITH CORRECT ANSWERS/NURSING MISC 3P EXAM QUESTIONS WITH CORRECT ANSWERS/NURSING MISC 3P EXAM QUESTIONS WITH CORRECT ANSWERS

Instelling
NURSING MISC 3P
Vak
NURSING MISC 3P











Oeps! We kunnen je document nu niet laden. Probeer het nog eens of neem contact op met support.

Geschreven voor

Instelling
NURSING MISC 3P
Vak
NURSING MISC 3P

Documentinformatie

Geüpload op
8 juni 2024
Aantal pagina's
33
Geschreven in
2023/2024
Type
Tentamen (uitwerkingen)
Bevat
Vragen en antwoorden

Onderwerpen

Maak kennis met de verkoper

Seller avatar
De reputatie van een verkoper is gebaseerd op het aantal documenten dat iemand tegen betaling verkocht heeft en de beoordelingen die voor die items ontvangen zijn. Er zijn drie niveau’s te onderscheiden: brons, zilver en goud. Hoe beter de reputatie, hoe meer de kwaliteit van zijn of haar werk te vertrouwen is.
gradebooster Chamberlain College Of Nursing
Volgen Je moet ingelogd zijn om studenten of vakken te kunnen volgen
Verkocht
533
Lid sinds
4 jaar
Aantal volgers
480
Documenten
3738
Laatst verkocht
1 maand geleden
GRADE BOOSTER

A+ EXAMS DAILY UPDATED############### LATEST GNGs 2023/2025 available Best study materials graded A+ download your best and kindly review to help other learners THANKYOU

4,0

90 beoordelingen

5
47
4
17
3
15
2
4
1
7

Recent door jou bekeken

Waarom studenten kiezen voor Stuvia

Gemaakt door medestudenten, geverifieerd door reviews

Kwaliteit die je kunt vertrouwen: geschreven door studenten die slaagden en beoordeeld door anderen die dit document gebruikten.

Niet tevreden? Kies een ander document

Geen zorgen! Je kunt voor hetzelfde geld direct een ander document kiezen dat beter past bij wat je zoekt.

Betaal zoals je wilt, start meteen met leren

Geen abonnement, geen verplichtingen. Betaal zoals je gewend bent via iDeal of creditcard en download je PDF-document meteen.

Student with book image

“Gekocht, gedownload en geslaagd. Zo makkelijk kan het dus zijn.”

Alisha Student

Veelgestelde vragen