100% tevredenheidsgarantie Direct beschikbaar na je betaling Online lezen of als PDF Geen vaste maandelijkse kosten 4,6 TrustPilot
logo-home
Samenvatting

Summary DoS applied mechanics exercises 7PPX0

Beoordeling
-
Verkocht
-
Pagina's
1
Geüpload op
16-04-2024
Geschreven in
2023/2024

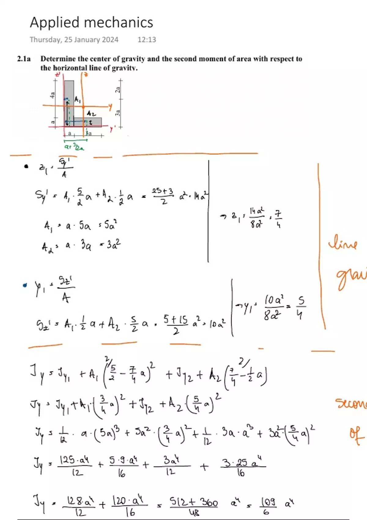
This document contains steps for solving a typology of 2d exercises involving cross-section and moment of area, included in the 7PPX0 final exam.









Oeps! We kunnen je document nu niet laden. Probeer het nog eens of neem contact op met support.

Documentinformatie

Geüpload op
16 april 2024
Aantal pagina's
1
Geschreven in
2023/2024
Type
SAMENVATTING

Maak kennis met de verkoper

Seller avatar
De reputatie van een verkoper is gebaseerd op het aantal documenten dat iemand tegen betaling verkocht heeft en de beoordelingen die voor die items ontvangen zijn. Er zijn drie niveau’s te onderscheiden: brons, zilver en goud. Hoe beter de reputatie, hoe meer de kwaliteit van zijn of haar werk te vertrouwen is.
tue2022 Technische Universiteit Eindhoven
Bekijk profiel
Volgen Je moet ingelogd zijn om studenten of vakken te kunnen volgen
Verkocht
27
Lid sinds
3 jaar
Aantal volgers
11
Documenten
43
Laatst verkocht
4 maanden geleden

4,0

1 beoordelingen

5
0
4
1
3
0
2
0
1
0

Populaire documenten

Recent door jou bekeken

Waarom studenten kiezen voor Stuvia

Gemaakt door medestudenten, geverifieerd door reviews

Kwaliteit die je kunt vertrouwen: geschreven door studenten die slaagden en beoordeeld door anderen die dit document gebruikten.

Niet tevreden? Kies een ander document

Geen zorgen! Je kunt voor hetzelfde geld direct een ander document kiezen dat beter past bij wat je zoekt.

Betaal zoals je wilt, start meteen met leren

Geen abonnement, geen verplichtingen. Betaal zoals je gewend bent via iDeal of creditcard en download je PDF-document meteen.

Student with book image

“Gekocht, gedownload en geslaagd. Zo makkelijk kan het dus zijn.”

Alisha Student

Veelgestelde vragen