HC1 – Semiotiek
Communicatie moet zoveel mogelijk worden afgestemd op menselijke gebruikers, daarvoor
hebben we kennis nodig van het communicatieproces.
WWW: World Wide Web, grootste informatie uitwisselingsnetwerk ooit.
Semiotiek/tekenleer: studie naar de werking van tekens. Tekens die door de mens
worden gebruikt, maar ook tekens in het rijk van dieren en planten.
Beoogde tekens die bedoeld zijn als communicatiemiddel zijn bv: letters, karakters,
morsetekens, verkeersborden, gebaren, voorwerpen etc.
Semiotiek houdt zich bezig met elke activiteit, handeling of proces waarbij tekens worden
gebruikt.
Teken: alles wat een boodschap communiceert van de zender naar de ontvanger. Kan
bewuste (woorden) of onbewuste (onbedoeld tonen van stress) tekens zijn.
Hebben over de semiotiek van informatie en informatiesystemen.
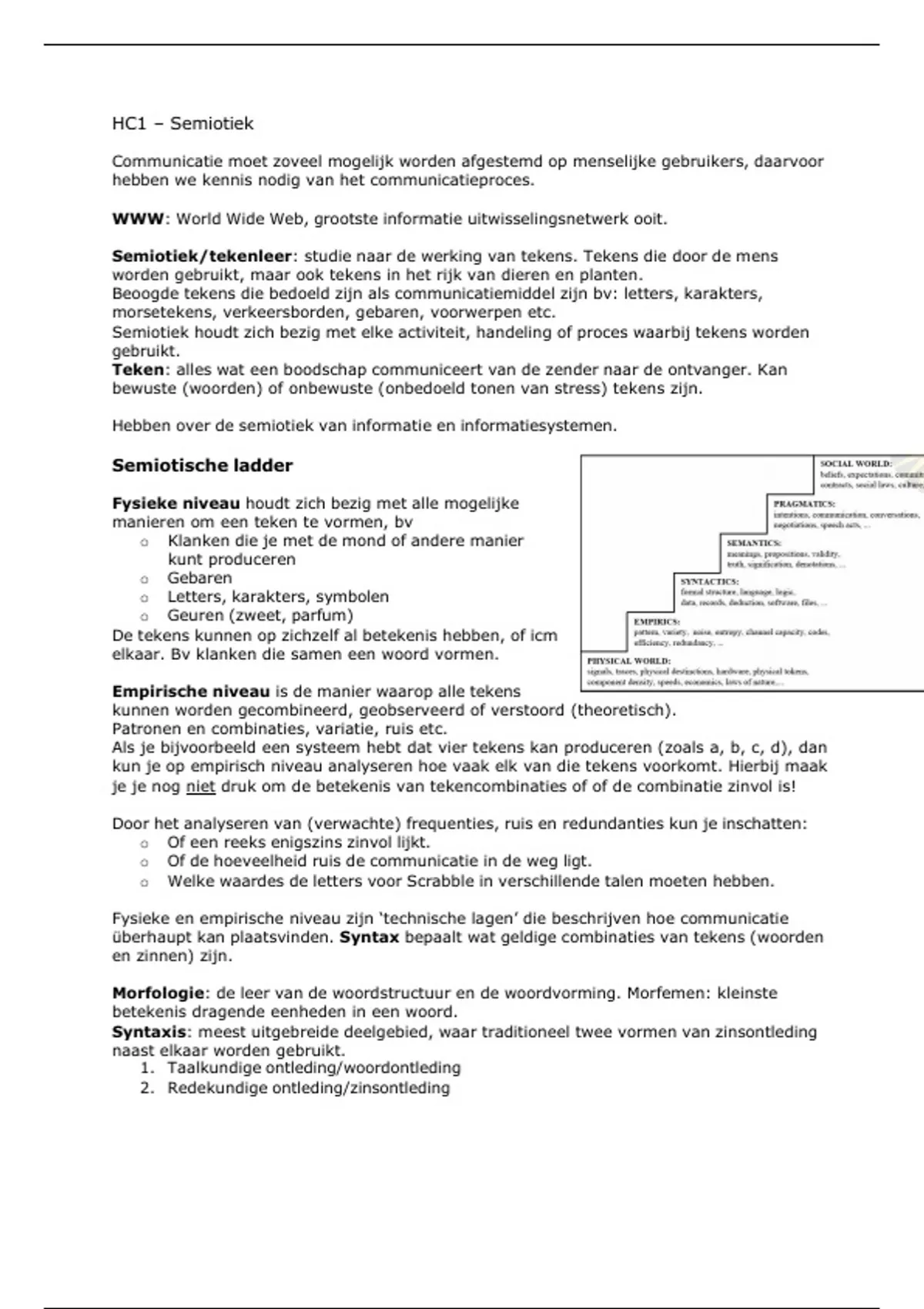
Semiotische ladder
Fysieke niveau houdt zich bezig met alle mogelijke
manieren om een teken te vormen, bv
o Klanken die je met de mond of andere manier
kunt produceren
o Gebaren
o Letters, karakters, symbolen
o Geuren (zweet, parfum)
De tekens kunnen op zichzelf al betekenis hebben, of icm
elkaar. Bv klanken die samen een woord vormen.
Empirische niveau is de manier waarop alle tekens
kunnen worden gecombineerd, geobserveerd of verstoord (theoretisch).
Patronen en combinaties, variatie, ruis etc.
Als je bijvoorbeeld een systeem hebt dat vier tekens kan produceren (zoals a, b, c, d), dan
kun je op empirisch niveau analyseren hoe vaak elk van die tekens voorkomt. Hierbij maak
je je nog niet druk om de betekenis van tekencombinaties of of de combinatie zinvol is!
Door het analyseren van (verwachte) frequenties, ruis en redundanties kun je inschatten:
o Of een reeks enigszins zinvol lijkt.
o Of de hoeveelheid ruis de communicatie in de weg ligt.
o Welke waardes de letters voor Scrabble in verschillende talen moeten hebben.
Fysieke en empirische niveau zijn ‘technische lagen’ die beschrijven hoe communicatie
überhaupt kan plaatsvinden. Syntax bepaalt wat geldige combinaties van tekens (woorden
en zinnen) zijn.
Morfologie: de leer van de woordstructuur en de woordvorming. Morfemen: kleinste
betekenis dragende eenheden in een woord.
Syntaxis: meest uitgebreide deelgebied, waar traditioneel twee vormen van zinsontleding
naast elkaar worden gebruikt.
1. Taalkundige ontleding/woordontleding
2. Redekundige ontleding/zinsontleding
,Moderne theorieën over syntax zijn sterk beïnvloed door de generatieve grammatica van
Chomsky. Hij bedacht contextvrije herschrijfregels.
De betekenis van een zin op syntactisch niveau: twee formules hebben dezelfde betekenis
als de ene vanuit de andere kan worden afgeleid.
Semantiek houdt zich bezig met de betekenis van woorden, zinnen of langere teksten.
Twee semantische principes
1. Objectivisme: vertaling van een syntactische structuur naar de fysieke wereld, voor
iedereen hetzelfde.
2. Constructivisme: kennis komt tot stand door een actieve constructie, eerder dan
een passieve constructie van de werkelijkheid. Subjectieve betekenis van een woord
of zin. We passen dit aan als we beseffen dat er sprake is van spraakverwarring of
andere misverstanden.
Een woord kan in verschillende talen verschillende interpretaties hebben, bv huis. Deze ziet
er in verschillende landen (met andere talen) anders uit dan in NL.
Op semantisch niveau maakt het niet uit met welke (fysieke) tekens, via welk medium of in
welke taal we communiceren. Hoe succesvol communicatie verloopt hangt af van hoe dicht
de interpretaties van de vier toehoorders ligt bij wat de spreker eigenlijk bedoelde.
Pragmatiek: we communiceren met een bepaalde bedoeling. We verwachten dat andere
partijen reageren zoals wij het bedoeld hebben: iemand schakelt het licht uit als je zegt dat
het licht nog aan is.
Voor computerprogramma’s en algoritmes ligt dit niet voor de hand, bv als je pizza
nieuwegein intypt, moet deze raden wat je daarmee bedoelt.
Communicatie vindt altijd in een min of meer informele, sociale context plaats. De
communicatie-handelingen van de acteuren (mensen en systemen) hebben bepaalde
intenties (zijn pragmatisch).
Om de bovenstaande communicatie mogelijk te maken, zijn sommige zaken geformaliseerd.
• Op semantisch niveau zijn dit bijvoorbeeld domeinspecifieke definities, de keuze voor
naslagnetwerken, ...
• Op syntactisch niveau is dit de keuze voor de standaardtaal (of talen), het al dan niet
gebruiken van emoji’s, ...
Het "IT-systeem" levert de manier om de tekens (dus de uiteindelijke, fysieke boodschap -
die een bepaalde intentie heeft) te formuleren en van zender naar ontvanger over te
brengen.
, HC2 – Web
WWW (world wide web) =/ internet: collectie van subnetwerken
Email, p2p, skype, usenet = geen www!!
Web evolutie
- Web 1.0: web van documenten
- Web 2.0: computergebruiker oefent meer invloed uit dmv interactie.
User generated content (2005)
- Web 3.0: semantisch web
34 jaar oud!
Voorlopers WWW:
1. Bookwheel (1588)
2. Memex machine, bedacht voor Vannevar Bush. (1945) Is gekoppeld aan een
bibliotheek en kan boeken en films uit de collectie direct weergeven. Gebruikers
zouden verwijzingen in zo’n apparaat kunnen volgen en toevoegen.
3. Hypertext: tekst met direct activeerbare hyperlinks. (1963) Hoeft
hiervoor geen andere teksten te zoeken en open te slaan.
Hypermedia: geluid en bewegend beeld zijn in het geheel
opgenomen.
4. Hypercard (1987)
WWW uitgevonden door Tim Berners-Lee in 1989. Met als oorspronkelijke
doel om wetenschappelijke papers te publiceren.
Drie dingen die WWW bij elkaar bracht: (vraag in tt?!)
1. Elektronische documenten (SGML, markup)
2. Hypertext (documenten verbonden door links)
3. Computernetwerken (internet bestond al langer)
Nieuwe technologieën
o HTML (HyperText Markup Language) documenten
o HTTP (HyperText Transfer Protocol) communicatie
Eind jaren 90 → email werd normaal, chat kwam, etc
In de Koude Oorlog realisatie:
Telefoonlijnen zijn kwetsbaar want ze zijn gecentraliseerd.
➔ Gedistribueerde netwerken zijn minder kwetsbaar.
ARPA: Advanced research projects agency
• 1960
• Research contracten voor defensie
• Werd ARPANET
Architectuur WWW
• Client server architectuur
• HTTP protocol (Hypertext Transfer Protocol)
o Pagina gebaseerd: verzendt complete documenten
o Stateless: connectie houdt op te bestaan als request is afgehandeld
Communicatie moet zoveel mogelijk worden afgestemd op menselijke gebruikers, daarvoor
hebben we kennis nodig van het communicatieproces.
WWW: World Wide Web, grootste informatie uitwisselingsnetwerk ooit.
Semiotiek/tekenleer: studie naar de werking van tekens. Tekens die door de mens
worden gebruikt, maar ook tekens in het rijk van dieren en planten.
Beoogde tekens die bedoeld zijn als communicatiemiddel zijn bv: letters, karakters,
morsetekens, verkeersborden, gebaren, voorwerpen etc.
Semiotiek houdt zich bezig met elke activiteit, handeling of proces waarbij tekens worden
gebruikt.
Teken: alles wat een boodschap communiceert van de zender naar de ontvanger. Kan
bewuste (woorden) of onbewuste (onbedoeld tonen van stress) tekens zijn.
Hebben over de semiotiek van informatie en informatiesystemen.
Semiotische ladder
Fysieke niveau houdt zich bezig met alle mogelijke
manieren om een teken te vormen, bv
o Klanken die je met de mond of andere manier
kunt produceren
o Gebaren
o Letters, karakters, symbolen
o Geuren (zweet, parfum)
De tekens kunnen op zichzelf al betekenis hebben, of icm
elkaar. Bv klanken die samen een woord vormen.
Empirische niveau is de manier waarop alle tekens
kunnen worden gecombineerd, geobserveerd of verstoord (theoretisch).
Patronen en combinaties, variatie, ruis etc.
Als je bijvoorbeeld een systeem hebt dat vier tekens kan produceren (zoals a, b, c, d), dan
kun je op empirisch niveau analyseren hoe vaak elk van die tekens voorkomt. Hierbij maak
je je nog niet druk om de betekenis van tekencombinaties of of de combinatie zinvol is!
Door het analyseren van (verwachte) frequenties, ruis en redundanties kun je inschatten:
o Of een reeks enigszins zinvol lijkt.
o Of de hoeveelheid ruis de communicatie in de weg ligt.
o Welke waardes de letters voor Scrabble in verschillende talen moeten hebben.
Fysieke en empirische niveau zijn ‘technische lagen’ die beschrijven hoe communicatie
überhaupt kan plaatsvinden. Syntax bepaalt wat geldige combinaties van tekens (woorden
en zinnen) zijn.
Morfologie: de leer van de woordstructuur en de woordvorming. Morfemen: kleinste
betekenis dragende eenheden in een woord.
Syntaxis: meest uitgebreide deelgebied, waar traditioneel twee vormen van zinsontleding
naast elkaar worden gebruikt.
1. Taalkundige ontleding/woordontleding
2. Redekundige ontleding/zinsontleding
,Moderne theorieën over syntax zijn sterk beïnvloed door de generatieve grammatica van
Chomsky. Hij bedacht contextvrije herschrijfregels.
De betekenis van een zin op syntactisch niveau: twee formules hebben dezelfde betekenis
als de ene vanuit de andere kan worden afgeleid.
Semantiek houdt zich bezig met de betekenis van woorden, zinnen of langere teksten.
Twee semantische principes
1. Objectivisme: vertaling van een syntactische structuur naar de fysieke wereld, voor
iedereen hetzelfde.
2. Constructivisme: kennis komt tot stand door een actieve constructie, eerder dan
een passieve constructie van de werkelijkheid. Subjectieve betekenis van een woord
of zin. We passen dit aan als we beseffen dat er sprake is van spraakverwarring of
andere misverstanden.
Een woord kan in verschillende talen verschillende interpretaties hebben, bv huis. Deze ziet
er in verschillende landen (met andere talen) anders uit dan in NL.
Op semantisch niveau maakt het niet uit met welke (fysieke) tekens, via welk medium of in
welke taal we communiceren. Hoe succesvol communicatie verloopt hangt af van hoe dicht
de interpretaties van de vier toehoorders ligt bij wat de spreker eigenlijk bedoelde.
Pragmatiek: we communiceren met een bepaalde bedoeling. We verwachten dat andere
partijen reageren zoals wij het bedoeld hebben: iemand schakelt het licht uit als je zegt dat
het licht nog aan is.
Voor computerprogramma’s en algoritmes ligt dit niet voor de hand, bv als je pizza
nieuwegein intypt, moet deze raden wat je daarmee bedoelt.
Communicatie vindt altijd in een min of meer informele, sociale context plaats. De
communicatie-handelingen van de acteuren (mensen en systemen) hebben bepaalde
intenties (zijn pragmatisch).
Om de bovenstaande communicatie mogelijk te maken, zijn sommige zaken geformaliseerd.
• Op semantisch niveau zijn dit bijvoorbeeld domeinspecifieke definities, de keuze voor
naslagnetwerken, ...
• Op syntactisch niveau is dit de keuze voor de standaardtaal (of talen), het al dan niet
gebruiken van emoji’s, ...
Het "IT-systeem" levert de manier om de tekens (dus de uiteindelijke, fysieke boodschap -
die een bepaalde intentie heeft) te formuleren en van zender naar ontvanger over te
brengen.
, HC2 – Web
WWW (world wide web) =/ internet: collectie van subnetwerken
Email, p2p, skype, usenet = geen www!!
Web evolutie
- Web 1.0: web van documenten
- Web 2.0: computergebruiker oefent meer invloed uit dmv interactie.
User generated content (2005)
- Web 3.0: semantisch web
34 jaar oud!
Voorlopers WWW:
1. Bookwheel (1588)
2. Memex machine, bedacht voor Vannevar Bush. (1945) Is gekoppeld aan een
bibliotheek en kan boeken en films uit de collectie direct weergeven. Gebruikers
zouden verwijzingen in zo’n apparaat kunnen volgen en toevoegen.
3. Hypertext: tekst met direct activeerbare hyperlinks. (1963) Hoeft
hiervoor geen andere teksten te zoeken en open te slaan.
Hypermedia: geluid en bewegend beeld zijn in het geheel
opgenomen.
4. Hypercard (1987)
WWW uitgevonden door Tim Berners-Lee in 1989. Met als oorspronkelijke
doel om wetenschappelijke papers te publiceren.
Drie dingen die WWW bij elkaar bracht: (vraag in tt?!)
1. Elektronische documenten (SGML, markup)
2. Hypertext (documenten verbonden door links)
3. Computernetwerken (internet bestond al langer)
Nieuwe technologieën
o HTML (HyperText Markup Language) documenten
o HTTP (HyperText Transfer Protocol) communicatie
Eind jaren 90 → email werd normaal, chat kwam, etc
In de Koude Oorlog realisatie:
Telefoonlijnen zijn kwetsbaar want ze zijn gecentraliseerd.
➔ Gedistribueerde netwerken zijn minder kwetsbaar.
ARPA: Advanced research projects agency
• 1960
• Research contracten voor defensie
• Werd ARPANET
Architectuur WWW
• Client server architectuur
• HTTP protocol (Hypertext Transfer Protocol)
o Pagina gebaseerd: verzendt complete documenten
o Stateless: connectie houdt op te bestaan als request is afgehandeld