100% tevredenheidsgarantie Direct beschikbaar na je betaling Lees online óf als PDF Geen vaste maandelijkse kosten 4.2 TrustPilot
logo-home
Tentamen (uitwerkingen)

ATI RN COMPREHENSIVE PREICTOR B 1 180 QUESTIONS AN ANSWERS

Beoordeling
-
Verkocht
-
Pagina's
27
Cijfer
A+
Geüpload op
13-01-2024
Geschreven in
2023/2024

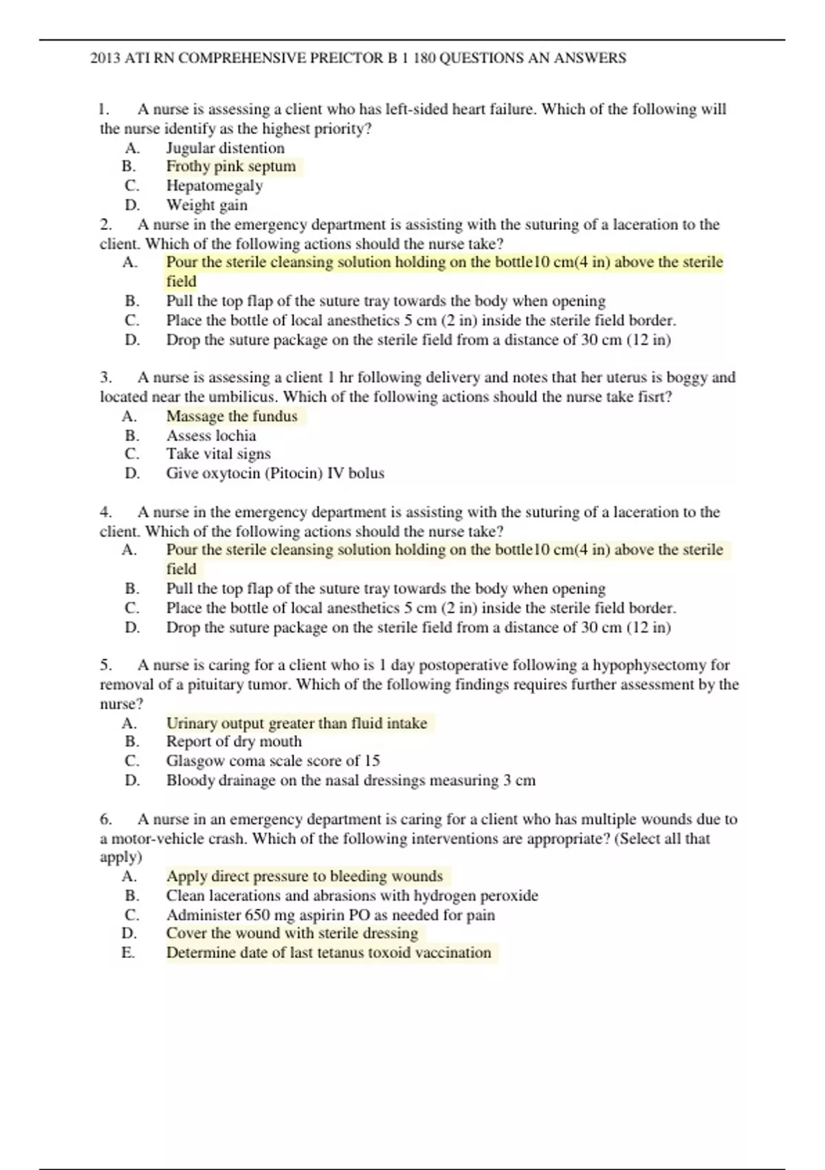
1. A nurse is assessing a client who has left-sided heart failure. Which of the following will the nurse identify as the highest priority? A. Jugular distention B. Frothy pink septum C. Hepatomegaly D. Weight gain 2. A nurse in the emergency department is assisting with the suturing of a laceration to the client. Which of the following actions should the nurse take? A. Pour the sterile cleansing solution holding on the bottle10 cm(4 in) above the sterile field B. Pull the top flap of the suture tray towards the body when opening C. Place the bottle of local anesthetics 5 cm (2 in) inside the sterile field border. D. Drop the suture package on the sterile field from a distance of 30 cm (12 in) 3. A nurse is assessing a client 1 hr following delivery and notes that her uterus is boggy and located near the umbilicus. Which of the following actions should the nurse take fisrt? A. Massage the fundus B. Assess lochia C. Take vital signs D. Give oxytocin (Pitocin) IV bolus 4. A nurse in the emergency department is assisting with the suturing of a laceration to the client. Which of the following actions should the nurse take? A. Pour the sterile cleansing solution holding on the bottle10 cm(4 in) above the sterile field B. Pull the top flap of the suture tray towards the body when opening C. Place the bottle of local anesthetics 5 cm (2 in) inside the sterile field border. D. Drop the suture package on the sterile field from a distance of 30 cm (12 in) 5. A nurse is caring for a client who is 1 day postoperative following a hypophysectomy for removal of a pituitary tumor. Which of the following findings requires further assessment by the nurse? A. Urinary output greater than fluid intake B. Report of dry mouth C. Glasgow coma scale score of 15 D. Bloody drainage on the nasal dressings measuring 3 cm 6. A nurse in an emergency department is caring for a client who has multiple wounds due to a motor-vehicle crash. Which of the following interventions are appropriate? (Select all that apply) A. Apply direct pressure to bleeding wounds B. Clean lacerations and abrasions with hydrogen peroxide C. Administer 650 mg aspirin PO as needed for pain D. Cover the wound with sterile dressing E. Determine date of last tetanus toxoid vaccination

Meer zien Lees minder
Instelling
Vati Rn Comprehensive. Predictor
Vak
Vati Rn comprehensive. Predictor










Oeps! We kunnen je document nu niet laden. Probeer het nog eens of neem contact op met support.

Geschreven voor

Instelling
Vati Rn comprehensive. Predictor
Vak
Vati Rn comprehensive. Predictor

Documentinformatie

Geüpload op
13 januari 2024
Aantal pagina's
27
Geschreven in
2023/2024
Type
Tentamen (uitwerkingen)
Bevat
Vragen en antwoorden

Onderwerpen

Maak kennis met de verkoper

Seller avatar
De reputatie van een verkoper is gebaseerd op het aantal documenten dat iemand tegen betaling verkocht heeft en de beoordelingen die voor die items ontvangen zijn. Er zijn drie niveau’s te onderscheiden: brons, zilver en goud. Hoe beter de reputatie, hoe meer de kwaliteit van zijn of haar werk te vertrouwen is.
TIFFACADEMICS Liberty University
Volgen Je moet ingelogd zijn om studenten of vakken te kunnen volgen
Verkocht
671
Lid sinds
2 jaar
Aantal volgers
375
Documenten
6218
Laatst verkocht
3 uur geleden
REING SUPREME SCHOLARLY // ENLIGHTENED

Here we offer revised study materials to elevate your educational outcomes. We have verified learning materials (Research,Assignments,notes etc...) for different courses guaranteed to boost your academic results. We are dedicated to offering you the best services and you are encouraged to inquire further assistance from our end if need be. Having a wide knowledge in Nursing,trust us to take care of your Academic materials and your remaing duty will just be to Excel. Remember to give us a review,it is key for us to understand our clients satisfaction. We highly appreciate refferals given to us. Also clients who always come back for more of the study content your offer are extremely valued. ALL THE BEST.

Lees meer Lees minder
3,7

132 beoordelingen

5
59
4
13
3
33
2
11
1
16

Recent door jou bekeken

Waarom studenten kiezen voor Stuvia

Gemaakt door medestudenten, geverifieerd door reviews

Kwaliteit die je kunt vertrouwen: geschreven door studenten die slaagden en beoordeeld door anderen die dit document gebruikten.

Niet tevreden? Kies een ander document

Geen zorgen! Je kunt voor hetzelfde geld direct een ander document kiezen dat beter past bij wat je zoekt.

Betaal zoals je wilt, start meteen met leren

Geen abonnement, geen verplichtingen. Betaal zoals je gewend bent via iDeal of creditcard en download je PDF-document meteen.

Student with book image

“Gekocht, gedownload en geslaagd. Zo makkelijk kan het dus zijn.”

Alisha Student

Veelgestelde vragen