100% tevredenheidsgarantie Direct beschikbaar na je betaling Lees online óf als PDF Geen vaste maandelijkse kosten 4.2 TrustPilot
logo-home
Overig

Stappenplan Vrij Verkeer van Goederen

Beoordeling
-
Verkocht
-
Pagina's
3
Geüpload op
07-11-2023
Geschreven in
2022/2023

Stappenplan Vrij Verkeer van Goederen









Oeps! We kunnen je document nu niet laden. Probeer het nog eens of neem contact op met support.

Documentinformatie

Geüpload op
7 november 2023
Aantal pagina's
3
Geschreven in
2022/2023
Type
Overig
Persoon
Onbekend

Voorbeeld van de inhoud

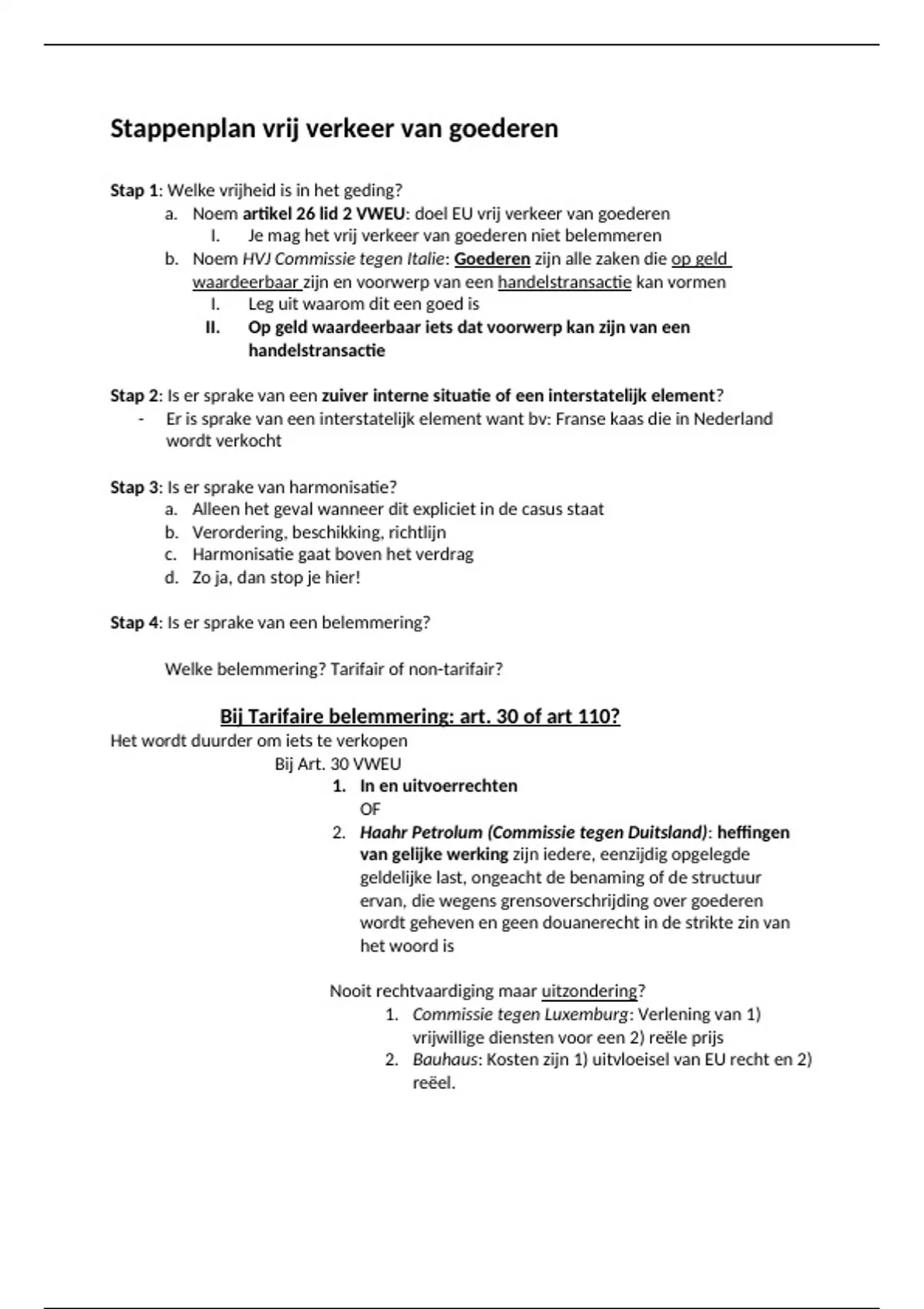
Stappenplan vrij verkeer van goederen

Stap 1: Welke vrijheid is in het geding?
a. Noem artikel 26 lid 2 VWEU: doel EU vrij verkeer van goederen
I. Je mag het vrij verkeer van goederen niet belemmeren
b. Noem HVJ Commissie tegen Italie: Goederen zijn alle zaken die op geld
waardeerbaar zijn en voorwerp van een handelstransactie kan vormen
I. Leg uit waarom dit een goed is
II. Op geld waardeerbaar iets dat voorwerp kan zijn van een
handelstransactie

Stap 2: Is er sprake van een zuiver interne situatie of een interstatelijk element?
- Er is sprake van een interstatelijk element want bv: Franse kaas die in Nederland
wordt verkocht

Stap 3: Is er sprake van harmonisatie?
a. Alleen het geval wanneer dit expliciet in de casus staat
b. Verordering, beschikking, richtlijn
c. Harmonisatie gaat boven het verdrag
d. Zo ja, dan stop je hier!

Stap 4: Is er sprake van een belemmering?

Welke belemmering? Tarifair of non-tarifair?

Bij Tarifaire belemmering: art. 30 of art 110?
Het wordt duurder om iets te verkopen
Bij Art. 30 VWEU
1. In en uitvoerrechten
OF
2. Haahr Petrolum (Commissie tegen Duitsland): heffingen
van gelijke werking zijn iedere, eenzijdig opgelegde
geldelijke last, ongeacht de benaming of de structuur
ervan, die wegens grensoverschrijding over goederen
wordt geheven en geen douanerecht in de strikte zin van
het woord is

Nooit rechtvaardiging maar uitzondering?
1. Commissie tegen Luxemburg: Verlening van 1)
vrijwillige diensten voor een 2) reële prijs
2. Bauhaus: Kosten zijn 1) uitvloeisel van EU recht en 2)
reëel.
€5,99
Krijg toegang tot het volledige document:

100% tevredenheidsgarantie
Direct beschikbaar na je betaling
Lees online óf als PDF
Geen vaste maandelijkse kosten

Maak kennis met de verkoper
Seller avatar
Isa777

Ook beschikbaar in voordeelbundel

Thumbnail
Voordeelbundel
Stappenplannen EU-recht
-
2 2023
€ 16,48 Meer info

Maak kennis met de verkoper

Seller avatar
Isa777 Universiteit Leiden
Bekijk profiel
Volgen Je moet ingelogd zijn om studenten of vakken te kunnen volgen
Verkocht
1
Lid sinds
2 jaar
Aantal volgers
1
Documenten
53
Laatst verkocht
9 maanden geleden

0,0

0 beoordelingen

5
0
4
0
3
0
2
0
1
0

Recent door jou bekeken

Waarom studenten kiezen voor Stuvia

Gemaakt door medestudenten, geverifieerd door reviews

Kwaliteit die je kunt vertrouwen: geschreven door studenten die slaagden en beoordeeld door anderen die dit document gebruikten.

Niet tevreden? Kies een ander document

Geen zorgen! Je kunt voor hetzelfde geld direct een ander document kiezen dat beter past bij wat je zoekt.

Betaal zoals je wilt, start meteen met leren

Geen abonnement, geen verplichtingen. Betaal zoals je gewend bent via iDeal of creditcard en download je PDF-document meteen.

Student with book image

“Gekocht, gedownload en geslaagd. Zo makkelijk kan het dus zijn.”

Alisha Student

Veelgestelde vragen