100% tevredenheidsgarantie Direct beschikbaar na je betaling Lees online óf als PDF Geen vaste maandelijkse kosten 4,6 TrustPilot
logo-home
Tentamen (uitwerkingen)

SchoolToets beweging nova h1 vwo 4

Beoordeling
-
Verkocht
-
Pagina's
6
Cijfer
8-9
Geüpload op
11-01-2026
Geschreven in
2015/2016

SchoolToets beweging nova h1 vwo 4, dit is een echte toets gebruikt voor leerlingen.










Oeps! We kunnen je document nu niet laden. Probeer het nog eens of neem contact op met support.

Geschreven voor

Instelling
Middelbare school
School jaar
4

Documentinformatie

Geüpload op
11 januari 2026
Aantal pagina's
6
Geschreven in
2015/2016
Type
Tentamen (uitwerkingen)
Bevat
Vragen en antwoorden

Voorbeeld van de inhoud

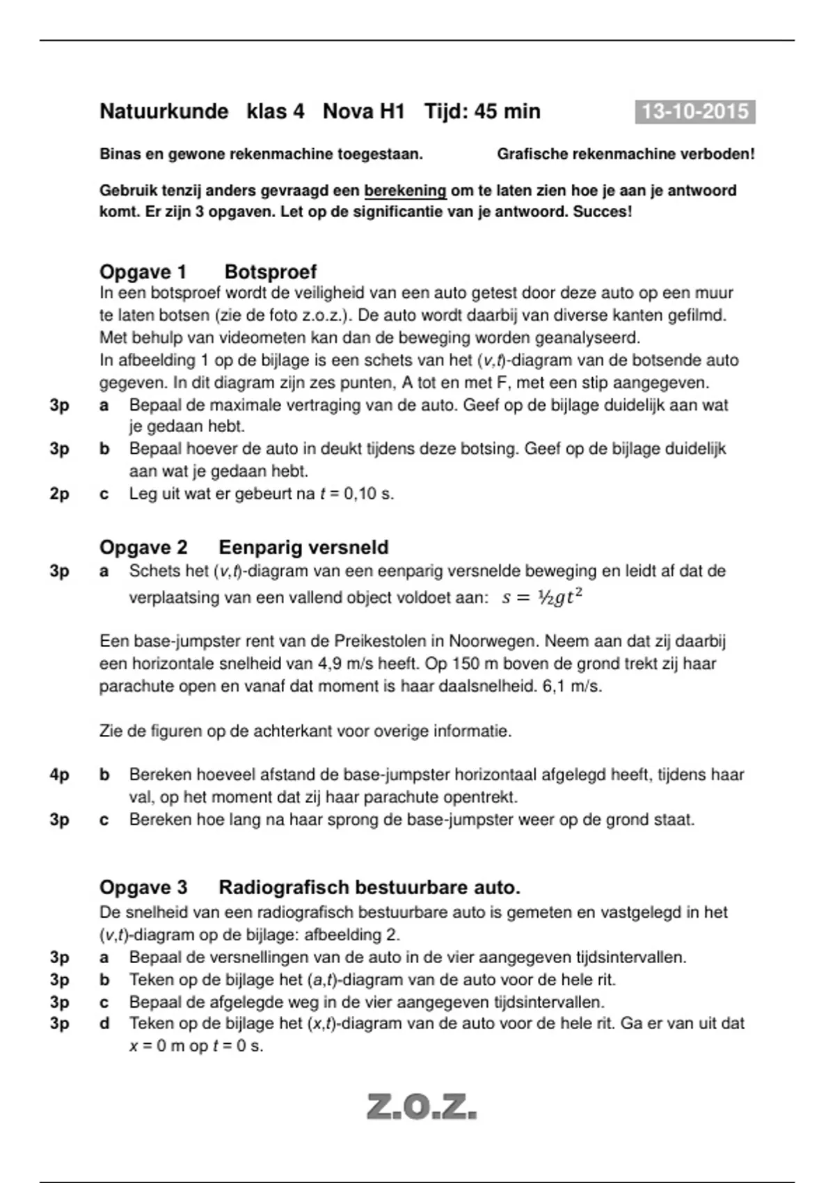
Natuurkunde klas 4 Nova H1 Tijd: 45 min 13-10-2015
Binas en gewone rekenmachine toegestaan. Grafische rekenmachine verboden!

Gebruik tenzij anders gevraagd een berekening om te laten zien hoe je aan je antwoord
komt. Er zijn 3 opgaven. Let op de significantie van je antwoord. Succes!


Opgave 1 Botsproef
In een botsproef wordt de veiligheid van een auto getest door deze auto op een muur
te laten botsen (zie de foto z.o.z.). De auto wordt daarbij van diverse kanten gefilmd.
Met behulp van videometen kan dan de beweging worden geanalyseerd.
In afbeelding 1 op de bijlage is een schets van het (v,t)-diagram van de botsende auto
gegeven. In dit diagram zijn zes punten, A tot en met F, met een stip aangegeven.
3p a Bepaal de maximale vertraging van de auto. Geef op de bijlage duidelijk aan wat
je gedaan hebt.
3p b Bepaal hoever de auto in deukt tijdens deze botsing. Geef op de bijlage duidelijk
aan wat je gedaan hebt.
2p c Leg uit wat er gebeurt na t = 0,10 s.


Opgave 2 Eenparig versneld
3p a Schets het (v,t)-diagram van een eenparig versnelde beweging en leidt af dat de
verplaatsing van een vallend object voldoet aan: 𝑠 = ½𝑔𝑡 2

Een base-jumpster rent van de Preikestolen in Noorwegen. Neem aan dat zij daarbij
een horizontale snelheid van 4,9 m/s heeft. Op 150 m boven de grond trekt zij haar
parachute open en vanaf dat moment is haar daalsnelheid. 6,1 m/s.

Zie de figuren op de achterkant voor overige informatie.

4p b Bereken hoeveel afstand de base-jumpster horizontaal afgelegd heeft, tijdens haar
val, op het moment dat zij haar parachute opentrekt.
3p c Bereken hoe lang na haar sprong de base-jumpster weer op de grond staat.



Opgave 3 Radiografisch bestuurbare auto.
De snelheid van een radiografisch bestuurbare auto is gemeten en vastgelegd in het
(v,t)-diagram op de bijlage: afbeelding 2.
3p a Bepaal de versnellingen van de auto in de vier aangegeven tijdsintervallen.
3p b Teken op de bijlage het (a,t)-diagram van de auto voor de hele rit.
3p c Bepaal de afgelegde weg in de vier aangegeven tijdsintervallen.
3p d Teken op de bijlage het (x,t)-diagram van de auto voor de hele rit. Ga er van uit dat
x = 0 m op t = 0 s.


Z.O.Z.

, Afbeeldingen bij de vragen

Opgave 1 botsproef




Opgave 2 base-jumpster




604 m
€3,49
Krijg toegang tot het volledige document:

100% tevredenheidsgarantie
Direct beschikbaar na je betaling
Lees online óf als PDF
Geen vaste maandelijkse kosten

Maak kennis met de verkoper
Seller avatar
617088X

Maak kennis met de verkoper

Seller avatar
617088X
Bekijk profiel
Volgen Je moet ingelogd zijn om studenten of vakken te kunnen volgen
Verkocht
Nieuw op Stuvia
Lid sinds
2 maanden
Aantal volgers
0
Documenten
4
Laatst verkocht
-

0,0

0 beoordelingen

5
0
4
0
3
0
2
0
1
0

Recent door jou bekeken

Waarom studenten kiezen voor Stuvia

Gemaakt door medestudenten, geverifieerd door reviews

Kwaliteit die je kunt vertrouwen: geschreven door studenten die slaagden en beoordeeld door anderen die dit document gebruikten.

Niet tevreden? Kies een ander document

Geen zorgen! Je kunt voor hetzelfde geld direct een ander document kiezen dat beter past bij wat je zoekt.

Betaal zoals je wilt, start meteen met leren

Geen abonnement, geen verplichtingen. Betaal zoals je gewend bent via iDeal of creditcard en download je PDF-document meteen.

Student with book image

“Gekocht, gedownload en geslaagd. Zo makkelijk kan het dus zijn.”

Alisha Student

Veelgestelde vragen