Geschreven door studenten die geslaagd zijn Direct beschikbaar na je betaling Online lezen of als PDF Verkeerd document? Gratis ruilen 4,6 TrustPilot
logo-home
Samenvatting

Samenvatting Grondwettelijk recht

Beoordeling
-
Verkocht
1
Pagina's
44
Geüpload op
14-10-2025
Geschreven in
2024/2025

Samenvatting Grondwettelijk recht Met deze samenvatting een 14/20.

Voorbeeld van de inhoud

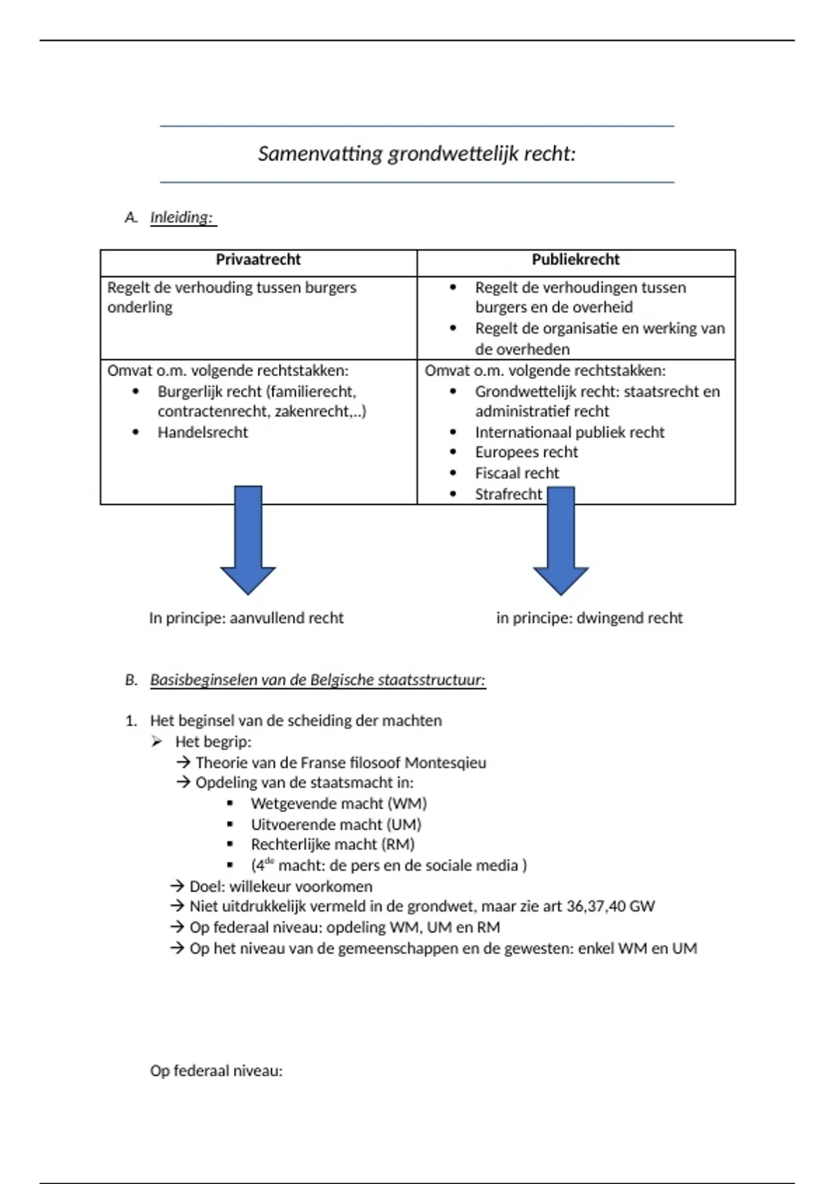
Samenvatting grondwettelijk recht:

A. Inleiding:

Privaatrecht Publiekrecht
Regelt de verhouding tussen burgers  Regelt de verhoudingen tussen
onderling burgers en de overheid
 Regelt de organisatie en werking van
de overheden
Omvat o.m. volgende rechtstakken: Omvat o.m. volgende rechtstakken:
 Burgerlijk recht (familierecht,  Grondwettelijk recht: staatsrecht en
contractenrecht, zakenrecht,..) administratief recht
 Handelsrecht  Internationaal publiek recht
 Europees recht
 Fiscaal recht
 Strafrecht




In principe: aanvullend recht in principe: dwingend recht


B. Basisbeginselen van de Belgische staatsstructuur:

1. Het beginsel van de scheiding der machten
 Het begrip:
 Theorie van de Franse filosoof Montesqieu
 Opdeling van de staatsmacht in:
 Wetgevende macht (WM)
 Uitvoerende macht (UM)
 Rechterlijke macht (RM)
 (4de macht: de pers en de sociale media )
 Doel: willekeur voorkomen
 Niet uitdrukkelijk vermeld in de grondwet, maar zie art 36,37,40 GW
 Op federaal niveau: opdeling WM, UM en RM
 Op het niveau van de gemeenschappen en de gewesten: enkel WM en UM




Op federaal niveau:

, Macht Instantie Bevoegdheid
WM  Parlement (K en S)  Wetten maken
 Koning  De UM controleren
UM  Koning  Wetten uitvoeren
 De federale regering  Algemeen beleid
(ministers en van het land
staatssecretarissen)

RM  Hoven en  Geschillen
rechtbanken beslechten


De machten:




2. Een samenwerking der machten
 Geen absolute scheiding
 Op bepaalde vlakken veeleer een “samenwerking van de machten”
 WM maakt wekken, die door de UM moeten worden uitgevoerd
 De WM controleert de UM (interpellatierecht)
 Een rechter moet desgevallend een besluit van de UM buiten toepassing laten
(art. 159 GW)
 Voorbeelden van verhoudingen tussen elkaar




C. België is een democratische rechtsstaat

,1. Het begrip ‘democratie’
 Art.33 GW: “alle machten gaan uit van de Natie”
 Een representatieve democratie
 Het volk kiest – door middel van verkiezingen – vertegenwoordigers in het
parlement
 Het parlement vertegenwoordigt de hele Natie

 Een parlementaire democratie
 Enkel het parlement is samengesteld op basis van verkiezingen (en heeft dus
democratische legitimiteit)
 Niet: de regering, het staatshoofd (de koning)
 Beslissingen in het parlement worden bij meerderheid genomen

 De regering moet verantwoording afleggen aan parlement omdat zij niet zelf
zijn verkozen


2. Het begrip ‘rechtsstaat’
 De overheidsinstanties (parlement, regering,..) moeten de rechtsregels
respecteren
 De overheid moet de fundamentele rechten en vrijheden van de mens (burgers)
respecteren
 Indien inbreuk op de rechtsregels, rechten, vrijheden (door een burger/overheid):
rechtsbescherming door een onafhankelijke rechtbank

 Op examen kan gevraagd worden ‘leg het begrip rechtsstaat uit’  3
elementen zeggen




D. België is een monarchie (= koning als staatshoofd)


1. Een koning als staatshoofd
 Nationaal congres kiest in 1831 voor de monarchie als staatsvorm (was het eerste
van België)
 Erfopvolging: eerste geboorterecht (art. 85 lid 1 GW)
 Sinds 1991: ook vrouwelijke nakomelingen




2. Koning heeft enkel toegewezen bevoegdheden

,  Art.105 GW: “de koning heeft geen andere macht dan die welk de grondwet en de
bijzondere wetten, krachtens de grondwet zelf uitgevaardigd,hem uitdrukkelijk
toekennen”
 Voorbeelden van toegewezen bevoegdheden:
 Bekrachtiging van wetten (art 109 GW)
 Het genaderecht (art. 110 GW)
 Art. 96 GW
 Art. 167 lid 2 GW (krijgsmacht)
 Art. 112, 107 GW
 De koning heeft deze bevoegdheden niet, totdat de GW of een bijzondere wet
heeft gezegd dat hij deze bevoegdheid heeft



3. De koning is onschendbaar en onverantwoordelijk
 Onschendbaarheid:
 De koning kan niet voor een rechtscollege gedagvaard worden (zowel niet
burgerrechtelijk als politie als strafrechtelijk)
 De koning kan politiek niet verantwoordelijk worden gesteld. De regering is
wel verantwoordelijk. De koning moet dus geen verantwoording afleggen bij
het parlement en hij kan dus ook niet uit zijn ambt worden gezet. Art. 88 GW
 Onverantwoordelijk:
 De koning is onbekwaam om alleen te handelen (minister moet
meeondertekenen) Art. 106 GW
 De regering draagt de verantwoordelijk en kan ter verantwoording worden
geroepen
 Stel dat de koning toch iets alleen heeft ondertekend?  het heeft
geen gevolg dan



4. Toch is de rol van de koning niet enkel symbolisch
 Symbolische rol: verpersoonlijkt België, hij vertegenwoordigt België naar het
buitenland toe
 Maar ook:
 Koning ontvangt wekelijks de eerste minister (zo wordt hij op de hoogte
gebracht)
 Koning verleent audiënties aan de andere ministers
 Koning heeft adviserende en luisterende rol bij regeringscrises en
regeringsvorming
 “Colloque singulier” = van toepassing wanneer er mensen op audiëntie zijn
geweest bij de koning. Is eigenlijk een soort van zwijgplicht, als je op audiëntie
bent geweest bij de koning dan blijft dat tussen jullie 2, je moet zwijgen. Als je het
toch schendt dan is hier opzich geen sanctie aan verbonden, maar mag echt niet
gedaan worden. Is echt een vertrouwenskwestie.

E. België is een federale staat

Documentinformatie

Geüpload op
14 oktober 2025
Aantal pagina's
44
Geschreven in
2024/2025
Type
SAMENVATTING

Onderwerpen

€7,66
Krijg toegang tot het volledige document:

Verkeerd document? Gratis ruilen Binnen 14 dagen na aankoop en voor het downloaden kan je een ander document kiezen. Je kan het bedrag gewoon opnieuw besteden.
Geschreven door studenten die geslaagd zijn
Direct beschikbaar na je betaling
Online lezen of als PDF

Maak kennis met de verkoper
Seller avatar
gwennybuvens
1,0
(2)

Maak kennis met de verkoper

Seller avatar
gwennybuvens Hogeschool PXL
Bekijk profiel
Volgen Je moet ingelogd zijn om studenten of vakken te kunnen volgen
Verkocht
8
Lid sinds
8 maanden
Aantal volgers
0
Documenten
23
Laatst verkocht
1 maand geleden

1,0

2 beoordelingen

5
0
4
0
3
0
2
0
1
2

Populaire documenten

Recent door jou bekeken

Waarom studenten kiezen voor Stuvia

Gemaakt door medestudenten, geverifieerd door reviews

Kwaliteit die je kunt vertrouwen: geschreven door studenten die slaagden en beoordeeld door anderen die dit document gebruikten.

Niet tevreden? Kies een ander document

Geen zorgen! Je kunt voor hetzelfde geld direct een ander document kiezen dat beter past bij wat je zoekt.

Betaal zoals je wilt, start meteen met leren

Geen abonnement, geen verplichtingen. Betaal zoals je gewend bent via Bancontact, iDeal of creditcard en download je PDF-document meteen.

Student with book image

“Gekocht, gedownload en geslaagd. Zo eenvoudig kan het zijn.”

Alisha Student

Veelgestelde vragen