Algemene chemie
Boek kopen voor code -> belangrijk
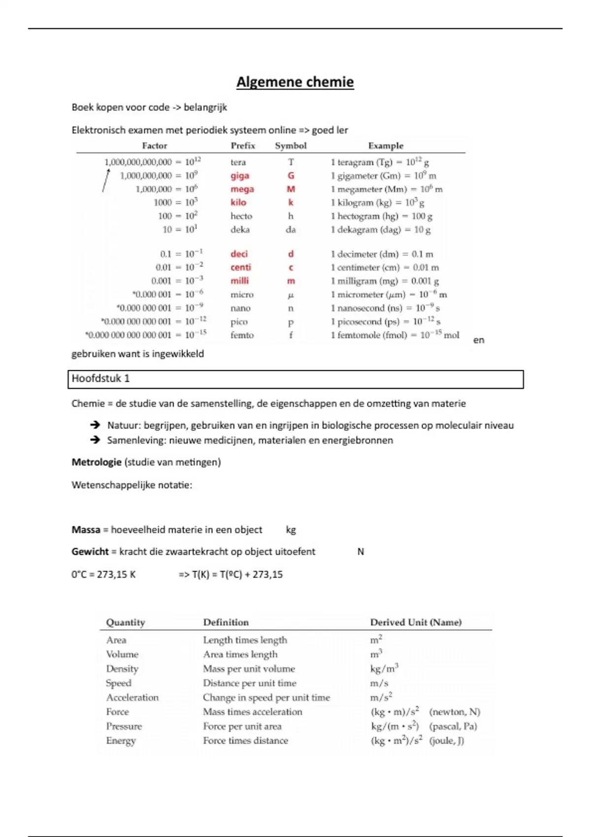
Elektronisch examen met periodiek systeem online => goed ler
en
gebruiken want is ingewikkeld
Hoofdstuk 1
Chemie = de studie van de samenstelling, de eigenschappen en de omzetting van materie
➔ Natuur: begrijpen, gebruiken van en ingrijpen in biologische processen op moleculair niveau
➔ Samenleving: nieuwe medicijnen, materialen en energiebronnen
Metrologie (studie van metingen)
Wetenschappelijke notatie:
Massa = hoeveelheid materie in een object kg
Gewicht = kracht die zwaartekracht op object uitoefent N
0°C = 273,15 K => T(K) = T(ºC) + 273,15
,Energie = een maat voor de mogelijkheid om warmte af te staan of arbeid te leveren
1
Kinetische energie = bewegingsenergie: 𝐸𝑘 = 𝑚𝑣² J
2
Potentiële energie = opgeslagen energie
Accuraatheid = hoe dicht liggen de resultaten van een meting bij de werkelijke waarde
Precisie = hoe dicht liggen de resultaten van een aantal onafhankelijke metingen bij elkaar
Beduidende cijfers = die cijfers in een meetresultaat die de precisie van het resultaat bepalen
- Nullen in midden van getal = beduidend
- Nullen aan begin van getal = niet beduidend
- Nullen aan einde van getal = beduidend
- Wetenschappelijke notatie = beduidend -> meestal genoteerd met 3 beduidende cijfers
Getallen afronden: BELANGRIJK -> FOUT AFGEROND OP EXAMEN = GEEN PUNTEN
- Vermenigvuldigen en delen => uitkomst zelfde aantal BC als term met kleinste aantal BC
- Optellen en aftrekken => uitkomst zelfde aantal decimalen als term met kleinste aantal
decimalen
- Eerst te verwijderen cijfer < 5 = afronden naar beneden
- Eerst te verwijderen cijfer ≥ 5 = afronden naar boven
Dimensionele analyse (controle van grootheid in uitkomst):
Grootheid in originele eenheid x conversiefactor = grootheid in equivalente eenheid
Hoofdstuk 2
Element = een fundamentele stof die op een chemische manier niet verder kan opgedeeld
worden in iets eenvoudigers
Table van Mendeleev:
- Horizontaal: perioden
- Verticaal: groepen -> elementen in dezelfde groep hebben vergelijkbare
eigenschappen
• Fysische eigenschappen: niets te maken met verandering van chemische
samenstelling
• Chemische eigenschappen: te maken met verandering van chemische
samenstelling van stof (vb. Roesten van ijzer
Alkalimetalen (groep 1) = Zachte, zilverkleurige metalen die (zeer) heftig met water
reageren
- Lithium -> batterij, antidepressivum
- Natrium -> straatverlichting, bloeddrukregeling
- Kalium -> kunstmest, signaaltransductie
- Rubidium -> fotoëlektrische cel, positron-emissie-tomografie
- Caesium -> atoomklok
Aardalkalimetalen (groep 2) = Zilverkleurige metalen, stabieler dan alkalimetalen; Mg
brandt in lucht.
, - Beryllium -> vensters voor X-straalbuizen
- Magnesium -> metalen voorwerpen, onderdeel enzymen
- Calcium -> cement, bouwsteen in bot, tanden en schelpen
- Barium -> supergeleider, contrastvloeistof in X-straalbeeldvorming
- Radium -> luminescerende verf, geneeskunde -> NIET MEER, TE GEVAARLIJK
Halogenen (groep 17) = Kleurrijke, corrosieve niet-metalen.
- Fluor -> Teflon, tandverzorging
- Chloor -> desinfectie, chemische wapens
- Broom -> vlamvertraging, spoorelement
- Jood -> desinfectie, schildklierhormonen
Edelgassen (groep 18) = Kleurloze, weinig reactieve gassen.
- Helium -> koeling van supergeleidende magneten voor MRI
- Neon -> verlichting
- Argon -> Ar-lasers in chirurgie & flowcytomerie
- Xenon -> verlichting, anaesthesie
- Radon -> geneeskunde, cfr. Ra -> NIET MEER, TE GEVAARLIJK
Reactievergelijking: reagentia + reagentia -> reactieproduct + reactieproduct
➔ Massa blijft gelijk: Behoud van massa = in chemische reacties wordt massa noch
vernietigd, noch gecreëerd (wet van Lavoisier)
Constante samenstelling = verschillende samples van een zuivere chemische stof
bevatten altijd dezelfde verhoudingen van elementen, t.t.z. elementen combineren altijd
volgens specifieke verhoudingen (wet van Proust)
Multiple verhoudingen = elementen kunnen op verschillende manieren combineren tot
verschillende chemische verbindingen, maar de massaverhoudingen van deze laatste zijn
steeds kleine gehele getallen (wet van Dalton)
Atoomtheorie van Dalton:
- Elementen opgebouwd uit atomen
- Elk element gekarakteriseerd door massa van samenstellende atomen
- Chemisch elementen combineren tot chemische verbindingen wanneer atomen
binden in bepaalde verhoudingen
- Chemische reacties reorganiseren binding, passen geen atomen niet aan
Thomsen -> kathode-straal-buis (CRT) -> aantonen dat metaalatomen negatief geladen
deeltjes bevatten: elektronen
Materie is elektrisch neutraal -> indien negatieve deeltjes dus ook positieve nodig
➔ Ernest Rutherford experiment (ter info bijgezet, gewoon eens goed bekijken en snappen)
, Diameter atoom = 10−10
Diameter kern = 10−15
➔ Bestaat uit protonen en neutronen
➔ Bevat voornaamste massa van atoom
Atoomnummer Z = het aantal protonen in de kern = het aantal elektronen rond de kern
Massagetal A = de som van het aantal protonen en het aantal neutronen = Z + N
Isotopen = atomen met dezelfde atoomnummers maar verschillende massagetallen
➔ Verschillend aantal neutronen
➔ Notatie: 𝐴
𝑍𝑒𝑙𝑒𝑚𝑒𝑛𝑡 -> aantal neutronen = A – Z
atomaire massa-eenheid (amu) of dalton (Da) = 1/12 van massa van 1 koolstof-12
➔ Getal terug te vinden achterkant periodiek systeem
Atomaire massa = het gewogen gemiddelde van de isotopenmassa’s van de natuurlijk
voorkomende isotopen van een element
1 mol = die hoeveelheid waarvan de massa gelijk is aan de molaire massa
➔ Bij elementen: atomaire massa = molaire massa -> getal uit tabel met g/mol ipv amu
➔ 1 mol = 6,022141 × 𝟏𝟎𝟐𝟑 deeltjes = getal van Avogadro
𝑚
Aantal mol =
𝑀
Geen omzetting tussen elementen bij chemische reacties WEL bij nucleaire reacties
➔ Vb.
Chemische <-> nucleaire reacties
Boek kopen voor code -> belangrijk
Elektronisch examen met periodiek systeem online => goed ler
en
gebruiken want is ingewikkeld
Hoofdstuk 1
Chemie = de studie van de samenstelling, de eigenschappen en de omzetting van materie
➔ Natuur: begrijpen, gebruiken van en ingrijpen in biologische processen op moleculair niveau
➔ Samenleving: nieuwe medicijnen, materialen en energiebronnen
Metrologie (studie van metingen)
Wetenschappelijke notatie:
Massa = hoeveelheid materie in een object kg
Gewicht = kracht die zwaartekracht op object uitoefent N
0°C = 273,15 K => T(K) = T(ºC) + 273,15
,Energie = een maat voor de mogelijkheid om warmte af te staan of arbeid te leveren
1
Kinetische energie = bewegingsenergie: 𝐸𝑘 = 𝑚𝑣² J
2
Potentiële energie = opgeslagen energie
Accuraatheid = hoe dicht liggen de resultaten van een meting bij de werkelijke waarde
Precisie = hoe dicht liggen de resultaten van een aantal onafhankelijke metingen bij elkaar
Beduidende cijfers = die cijfers in een meetresultaat die de precisie van het resultaat bepalen
- Nullen in midden van getal = beduidend
- Nullen aan begin van getal = niet beduidend
- Nullen aan einde van getal = beduidend
- Wetenschappelijke notatie = beduidend -> meestal genoteerd met 3 beduidende cijfers
Getallen afronden: BELANGRIJK -> FOUT AFGEROND OP EXAMEN = GEEN PUNTEN
- Vermenigvuldigen en delen => uitkomst zelfde aantal BC als term met kleinste aantal BC
- Optellen en aftrekken => uitkomst zelfde aantal decimalen als term met kleinste aantal
decimalen
- Eerst te verwijderen cijfer < 5 = afronden naar beneden
- Eerst te verwijderen cijfer ≥ 5 = afronden naar boven
Dimensionele analyse (controle van grootheid in uitkomst):
Grootheid in originele eenheid x conversiefactor = grootheid in equivalente eenheid
Hoofdstuk 2
Element = een fundamentele stof die op een chemische manier niet verder kan opgedeeld
worden in iets eenvoudigers
Table van Mendeleev:
- Horizontaal: perioden
- Verticaal: groepen -> elementen in dezelfde groep hebben vergelijkbare
eigenschappen
• Fysische eigenschappen: niets te maken met verandering van chemische
samenstelling
• Chemische eigenschappen: te maken met verandering van chemische
samenstelling van stof (vb. Roesten van ijzer
Alkalimetalen (groep 1) = Zachte, zilverkleurige metalen die (zeer) heftig met water
reageren
- Lithium -> batterij, antidepressivum
- Natrium -> straatverlichting, bloeddrukregeling
- Kalium -> kunstmest, signaaltransductie
- Rubidium -> fotoëlektrische cel, positron-emissie-tomografie
- Caesium -> atoomklok
Aardalkalimetalen (groep 2) = Zilverkleurige metalen, stabieler dan alkalimetalen; Mg
brandt in lucht.
, - Beryllium -> vensters voor X-straalbuizen
- Magnesium -> metalen voorwerpen, onderdeel enzymen
- Calcium -> cement, bouwsteen in bot, tanden en schelpen
- Barium -> supergeleider, contrastvloeistof in X-straalbeeldvorming
- Radium -> luminescerende verf, geneeskunde -> NIET MEER, TE GEVAARLIJK
Halogenen (groep 17) = Kleurrijke, corrosieve niet-metalen.
- Fluor -> Teflon, tandverzorging
- Chloor -> desinfectie, chemische wapens
- Broom -> vlamvertraging, spoorelement
- Jood -> desinfectie, schildklierhormonen
Edelgassen (groep 18) = Kleurloze, weinig reactieve gassen.
- Helium -> koeling van supergeleidende magneten voor MRI
- Neon -> verlichting
- Argon -> Ar-lasers in chirurgie & flowcytomerie
- Xenon -> verlichting, anaesthesie
- Radon -> geneeskunde, cfr. Ra -> NIET MEER, TE GEVAARLIJK
Reactievergelijking: reagentia + reagentia -> reactieproduct + reactieproduct
➔ Massa blijft gelijk: Behoud van massa = in chemische reacties wordt massa noch
vernietigd, noch gecreëerd (wet van Lavoisier)
Constante samenstelling = verschillende samples van een zuivere chemische stof
bevatten altijd dezelfde verhoudingen van elementen, t.t.z. elementen combineren altijd
volgens specifieke verhoudingen (wet van Proust)
Multiple verhoudingen = elementen kunnen op verschillende manieren combineren tot
verschillende chemische verbindingen, maar de massaverhoudingen van deze laatste zijn
steeds kleine gehele getallen (wet van Dalton)
Atoomtheorie van Dalton:
- Elementen opgebouwd uit atomen
- Elk element gekarakteriseerd door massa van samenstellende atomen
- Chemisch elementen combineren tot chemische verbindingen wanneer atomen
binden in bepaalde verhoudingen
- Chemische reacties reorganiseren binding, passen geen atomen niet aan
Thomsen -> kathode-straal-buis (CRT) -> aantonen dat metaalatomen negatief geladen
deeltjes bevatten: elektronen
Materie is elektrisch neutraal -> indien negatieve deeltjes dus ook positieve nodig
➔ Ernest Rutherford experiment (ter info bijgezet, gewoon eens goed bekijken en snappen)
, Diameter atoom = 10−10
Diameter kern = 10−15
➔ Bestaat uit protonen en neutronen
➔ Bevat voornaamste massa van atoom
Atoomnummer Z = het aantal protonen in de kern = het aantal elektronen rond de kern
Massagetal A = de som van het aantal protonen en het aantal neutronen = Z + N
Isotopen = atomen met dezelfde atoomnummers maar verschillende massagetallen
➔ Verschillend aantal neutronen
➔ Notatie: 𝐴
𝑍𝑒𝑙𝑒𝑚𝑒𝑛𝑡 -> aantal neutronen = A – Z
atomaire massa-eenheid (amu) of dalton (Da) = 1/12 van massa van 1 koolstof-12
➔ Getal terug te vinden achterkant periodiek systeem
Atomaire massa = het gewogen gemiddelde van de isotopenmassa’s van de natuurlijk
voorkomende isotopen van een element
1 mol = die hoeveelheid waarvan de massa gelijk is aan de molaire massa
➔ Bij elementen: atomaire massa = molaire massa -> getal uit tabel met g/mol ipv amu
➔ 1 mol = 6,022141 × 𝟏𝟎𝟐𝟑 deeltjes = getal van Avogadro
𝑚
Aantal mol =
𝑀
Geen omzetting tussen elementen bij chemische reacties WEL bij nucleaire reacties
➔ Vb.
Chemische <-> nucleaire reacties