100% tevredenheidsgarantie Direct beschikbaar na je betaling Lees online óf als PDF Geen vaste maandelijkse kosten 4.2 TrustPilot
logo-home
Overig

Psychodiagnostiek: verslaggeving (stappenplan)

Beoordeling
-
Verkocht
-
Pagina's
4
Geüpload op
17-09-2024
Geschreven in
2023/2024

Zelfgemaakt stappenplan dat dient als handleiding voor het schrijven van een psychodiagnostisch verslag, te gebruiken bij het praktijkexamen voor verslaggeving. Wat er op het formulier staat, kan letterlijk overgeschreven worden. Alles wat vetgedrukt staat, dient ingevuld te worden door informatie die uniek zal zijn voor de casus die men krijgt. Met dit formulier had ik uiteindelijk een 18/20 voor het praktijkgedeelte van Psychodiagnostiek.

Meer zien Lees minder








Oeps! We kunnen je document nu niet laden. Probeer het nog eens of neem contact op met support.

Documentinformatie

Geüpload op
17 september 2024
Aantal pagina's
4
Geschreven in
2023/2024
Type
Overig
Persoon
Onbekend

Voorbeeld van de inhoud

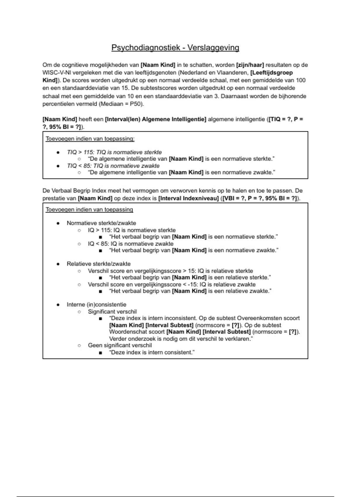
Psychodiagnostiek - Verslaggeving
Om de cognitieve mogelijkheden van [Naam Kind] in te schatten, worden [zijn/haar] resultaten op de
WISC-V-Nl vergeleken met die van leeftijdsgenoten (Nederland en Vlaanderen, [Leeftijdsgroep
Kind]). De scores worden uitgedrukt op een normaal verdeelde schaal, met een gemiddelde van 100
en een standaarddeviatie van 15. De subtestscores worden uitgedrukt op een normaal verdeelde
schaal met een gemiddelde van 10 en een standaarddeviatie van 3. Daarnaast worden de bijhorende
percentielen vermeld (Mediaan = P50).

[Naam Kind] heeft een [Interval(len) Algemene Intelligentie] algemene intelligentie ([TIQ = ?, P =
?, 95% BI = ?]).
Toevoegen indien van toepassing:

● TIQ > 115: TIQ is normatieve sterkte
○ “De algemene intelligentie van [Naam Kind] is een normatieve sterkte.”
● TIQ < 85: TIQ is normatieve zwakte
○ “De algemene intelligentie van [Naam Kind] is een normatieve zwakte.”


De Verbaal Begrip Index meet het vermogen om verworven kennis op te halen en toe te passen. De
prestatie van [Naam Kind] op deze index is [Interval Indexniveau] ([VBI = ?, P = ?, 95% BI = ?]).
Toevoegen indien van toepassing

● Normatieve sterkte/zwakte
○ IQ > 115: IQ is normatieve sterkte
■ “Het verbaal begrip van [Naam Kind] is een normatieve sterkte.”
○ IQ < 85: IQ is normatieve zwakte
■ “Het verbaal begrip van [Naam Kind] is een normatieve zwakte.”

● Relatieve sterkte/zwakte
○ Verschil score en vergelijkingsscore > 15: IQ is relatieve sterkte
■ “Het verbaal begrip van [Naam Kind] is een relatieve sterkte.”
○ Verschil score en vergelijkingsscore < -15: IQ is relatieve zwakte
■ “Het verbaal begrip van [Naam Kind] is een relatieve zwakte.”

● Interne (in)consistentie
○ Significant verschil
■ “Deze index is intern inconsistent. Op de subtest Overeenkomsten scoort
[Naam Kind] [Interval Subtest] (normscore = [?]). Op de subtest
Woordenschat scoort [Naam Kind] [Interval Subtest] (normscore = [?]).
Verder onderzoek is nodig om dit verschil te verklaren.”
○ Geen significant verschil
■ “Deze index is intern consistent.”
€3,96
Krijg toegang tot het volledige document:

100% tevredenheidsgarantie
Direct beschikbaar na je betaling
Lees online óf als PDF
Geen vaste maandelijkse kosten

Maak kennis met de verkoper
Seller avatar
xanalaenen

Ook beschikbaar in voordeelbundel

Thumbnail
Voordeelbundel
Psychodiagnostiek: theoretisch gedeelte en verslaggeving
-
2 2024
€ 13,12 Meer info

Maak kennis met de verkoper

Seller avatar
xanalaenen Katholieke Universiteit Leuven
Bekijk profiel
Volgen Je moet ingelogd zijn om studenten of vakken te kunnen volgen
Verkocht
10
Lid sinds
2 jaar
Aantal volgers
0
Documenten
11
Laatst verkocht
1 maand geleden

0,0

0 beoordelingen

5
0
4
0
3
0
2
0
1
0

Recent door jou bekeken

Waarom studenten kiezen voor Stuvia

Gemaakt door medestudenten, geverifieerd door reviews

Kwaliteit die je kunt vertrouwen: geschreven door studenten die slaagden en beoordeeld door anderen die dit document gebruikten.

Niet tevreden? Kies een ander document

Geen zorgen! Je kunt voor hetzelfde geld direct een ander document kiezen dat beter past bij wat je zoekt.

Betaal zoals je wilt, start meteen met leren

Geen abonnement, geen verplichtingen. Betaal zoals je gewend bent via Bancontact, iDeal of creditcard en download je PDF-document meteen.

Student with book image

“Gekocht, gedownload en geslaagd. Zo eenvoudig kan het zijn.”

Alisha Student

Veelgestelde vragen