100% tevredenheidsgarantie Direct beschikbaar na je betaling Lees online óf als PDF Geen vaste maandelijkse kosten 4.2 TrustPilot
logo-home
Overig

Uitwerking examenoefeningen Hogere Wiskunde 1

Beoordeling
5,0
(1)
Verkocht
11
Pagina's
91
Geüpload op
29-11-2023
Geschreven in
2022/2023

Dit document bevat uitwerkingen van examenoefeningen van het vak Hogere Wiskunde 1 (geschreven in ). Let op dit document is niet verbeterd door de assistenten en kan dus fouten bevatten, kijk steeds kritisch naar de uitwerking. Omwille van auteursrechten staan er geen opgaves tussen maar deze kan je terugvinden op ekowiki of op de toledo pagina.

Meer zien Lees minder













Oeps! We kunnen je document nu niet laden. Probeer het nog eens of neem contact op met support.

Documentinformatie

Geüpload op
29 november 2023
Aantal pagina's
91
Geschreven in
2022/2023
Type
Overig
Persoon
Onbekend

Voorbeeld van de inhoud

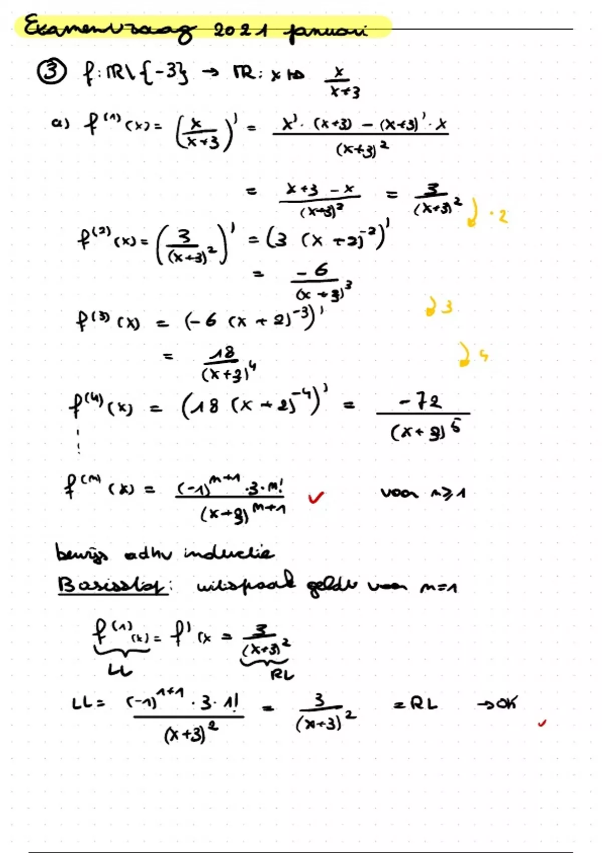
Exmenuzag 2021
pinusui

③ f :IE-33 - M : xm X
X+ 3


f
:
3).
(3))
as (x) = = X .
(x +3) -
(x+ x

(x+3)2


= X + 3 - X
3
xz= (x+3)
2

↳ ·

2
I

f( (x) =


(32)) =
(3 (x 2jz) +



I
-
(x + 2)
3
⑳3
3)
- (
f(3)(x) = 6 (x + 2)

- 18
↳ 3
Sel" 3




f (4) (x) =
(18(x 25-4) + =
-
72
(x +2)5
!
n +1
f(a)(x) = ( 1)
-
3
· . m !
~
voor m) 1
,


gm
+1
(x +




benijs adhv inducte

Basisstat : witspask gelde vorr m=n




f(n) (x) = fix I 3
um (x+32
um
L Ru
1 1
+




LL = r 1)
-
·
3 .
1 ! - -
3 =RL -oh
(x 3)2 ~

3)2
+

( +

,
,
,
,
,

Beoordelingen van geverifieerde kopers

Alle reviews worden weergegeven
1 jaar geleden

5,0

1 beoordelingen

5
1
4
0
3
0
2
0
1
0
Betrouwbare reviews op Stuvia

Alle beoordelingen zijn geschreven door echte Stuvia-gebruikers na geverifieerde aankopen.

Maak kennis met de verkoper

Seller avatar
De reputatie van een verkoper is gebaseerd op het aantal documenten dat iemand tegen betaling verkocht heeft en de beoordelingen die voor die items ontvangen zijn. Er zijn drie niveau’s te onderscheiden: brons, zilver en goud. Hoe beter de reputatie, hoe meer de kwaliteit van zijn of haar werk te vertrouwen is.
StudentHIR1 Katholieke Universiteit Leuven
Bekijk profiel
Volgen Je moet ingelogd zijn om studenten of vakken te kunnen volgen
Verkocht
22
Lid sinds
3 jaar
Aantal volgers
6
Documenten
4
Laatst verkocht
3 weken geleden
studentHIR

4,5

2 beoordelingen

5
1
4
1
3
0
2
0
1
0

Recent door jou bekeken

Waarom studenten kiezen voor Stuvia

Gemaakt door medestudenten, geverifieerd door reviews

Kwaliteit die je kunt vertrouwen: geschreven door studenten die slaagden en beoordeeld door anderen die dit document gebruikten.

Niet tevreden? Kies een ander document

Geen zorgen! Je kunt voor hetzelfde geld direct een ander document kiezen dat beter past bij wat je zoekt.

Betaal zoals je wilt, start meteen met leren

Geen abonnement, geen verplichtingen. Betaal zoals je gewend bent via Bancontact, iDeal of creditcard en download je PDF-document meteen.

Student with book image

“Gekocht, gedownload en geslaagd. Zo eenvoudig kan het zijn.”

Alisha Student

Veelgestelde vragen