100% tevredenheidsgarantie Direct beschikbaar na je betaling Lees online óf als PDF Geen vaste maandelijkse kosten 4,6 TrustPilot
logo-home
Tentamen (uitwerkingen)

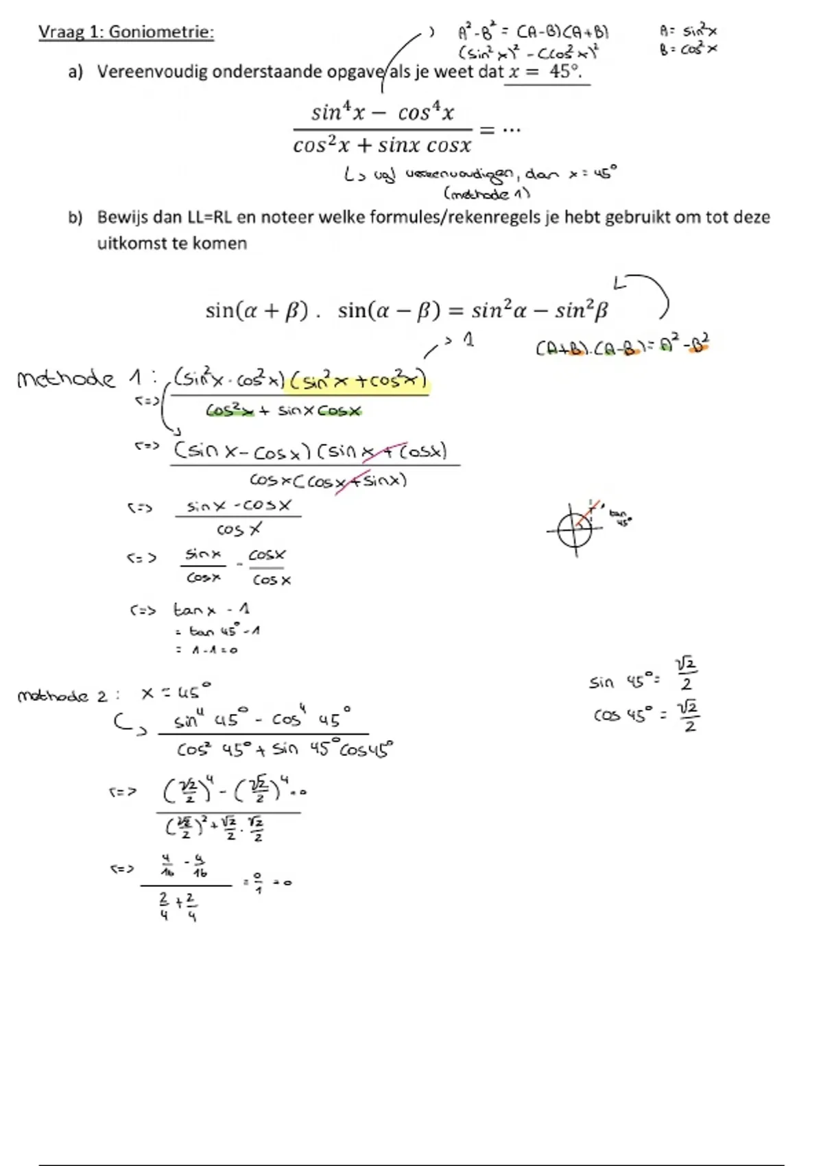
Wiskunde voorbeeldexamen uitgewerkt

Beoordeling
-
Verkocht
-
Pagina's
7
Cijfer
9-10
Geüpload op
26-01-2026
Geschreven in
2025/2026

Voorbeeldexamen wiskunde volledige uitwerking en vragen van vorige examenjaren opgelost










Oeps! We kunnen je document nu niet laden. Probeer het nog eens of neem contact op met support.

Documentinformatie

Geüpload op
26 januari 2026
Aantal pagina's
7
Geschreven in
2025/2026
Type
Tentamen (uitwerkingen)
Bevat
Vragen en antwoorden
€9,06
Krijg toegang tot het volledige document:

100% tevredenheidsgarantie
Direct beschikbaar na je betaling
Lees online óf als PDF
Geen vaste maandelijkse kosten

Maak kennis met de verkoper
Seller avatar
anissawaegemans

Maak kennis met de verkoper

Seller avatar
anissawaegemans Hogeschool Gent
Bekijk profiel
Volgen Je moet ingelogd zijn om studenten of vakken te kunnen volgen
Verkocht
0
Lid sinds
1 jaar
Aantal volgers
0
Documenten
4
Laatst verkocht
-

0,0

0 beoordelingen

5
0
4
0
3
0
2
0
1
0

Recent door jou bekeken

Waarom studenten kiezen voor Stuvia

Gemaakt door medestudenten, geverifieerd door reviews

Kwaliteit die je kunt vertrouwen: geschreven door studenten die slaagden en beoordeeld door anderen die dit document gebruikten.

Niet tevreden? Kies een ander document

Geen zorgen! Je kunt voor hetzelfde geld direct een ander document kiezen dat beter past bij wat je zoekt.

Betaal zoals je wilt, start meteen met leren

Geen abonnement, geen verplichtingen. Betaal zoals je gewend bent via Bancontact, iDeal of creditcard en download je PDF-document meteen.

Student with book image

“Gekocht, gedownload en geslaagd. Zo eenvoudig kan het zijn.”

Alisha Student

Veelgestelde vragen