100% tevredenheidsgarantie Direct beschikbaar na je betaling Lees online óf als PDF Geen vaste maandelijkse kosten 4,6 TrustPilot
logo-home
Samenvatting

Samenvatting namenlijst etiologische criminologie

Beoordeling
-
Verkocht
-
Pagina's
17
Geüpload op
26-01-2026
Geschreven in
2025/2026

Dit is een lijst van de namen die achteraan de powerpoint van Pauwels staan, met de uitleg vanuit mijn samenvatting erbij. Dit houdt in wat er in de les is gezegd, wat er op de powerpoints staat en wat er in het boek staat.











Oeps! We kunnen je document nu niet laden. Probeer het nog eens of neem contact op met support.

Documentinformatie

Geüpload op
26 januari 2026
Aantal pagina's
17
Geschreven in
2025/2026
Type
Samenvatting

Voorbeeld van de inhoud

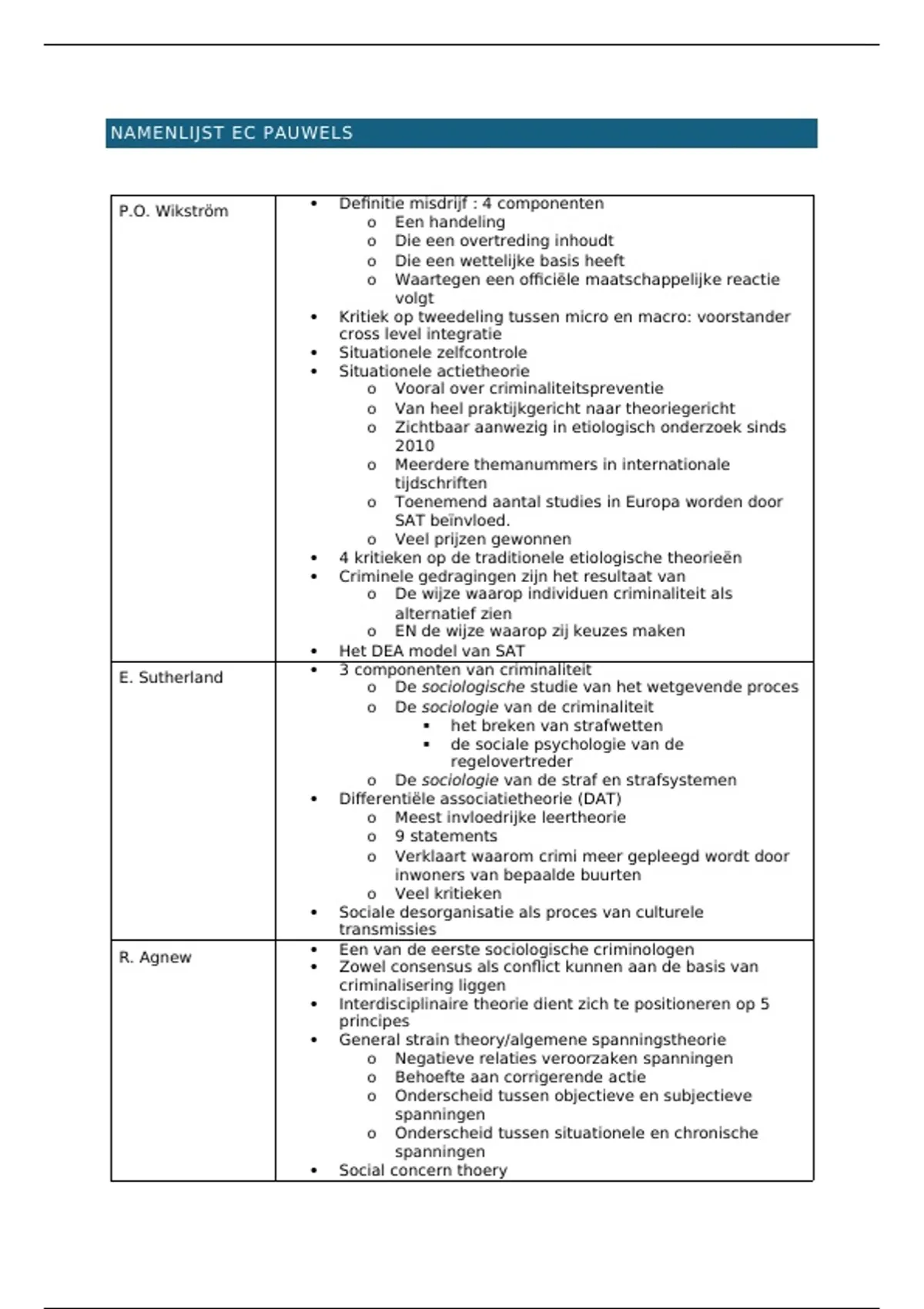
NAMENLIJST EC PAUWELS



 Definitie misdrijf : 4 componenten
P.O. Wikström
o Een handeling
o Die een overtreding inhoudt
o Die een wettelijke basis heeft
o Waartegen een officiële maatschappelijke reactie
volgt
 Kritiek op tweedeling tussen micro en macro: voorstander
cross level integratie
 Situationele zelfcontrole
 Situationele actietheorie
o Vooral over criminaliteitspreventie
o Van heel praktijkgericht naar theoriegericht
o Zichtbaar aanwezig in etiologisch onderzoek sinds
2010
o Meerdere themanummers in internationale
tijdschriften
o Toenemend aantal studies in Europa worden door
SAT beïnvloed.
o Veel prijzen gewonnen
 4 kritieken op de traditionele etiologische theorieën
 Criminele gedragingen zijn het resultaat van
o De wijze waarop individuen criminaliteit als
alternatief zien
o EN de wijze waarop zij keuzes maken
 Het DEA model van SAT
 3 componenten van criminaliteit
E. Sutherland
o De sociologische studie van het wetgevende proces
o De sociologie van de criminaliteit
 het breken van strafwetten
 de sociale psychologie van de
regelovertreder
o De sociologie van de straf en strafsystemen
 Differentiële associatietheorie (DAT)
o Meest invloedrijke leertheorie
o 9 statements
o Verklaart waarom crimi meer gepleegd wordt door
inwoners van bepaalde buurten
o Veel kritieken
 Sociale desorganisatie als proces van culturele
transmissies
 Een van de eerste sociologische criminologen
R. Agnew
 Zowel consensus als conflict kunnen aan de basis van
criminalisering liggen
 Interdisciplinaire theorie dient zich te positioneren op 5
principes
 General strain theory/algemene spanningstheorie
o Negatieve relaties veroorzaken spanningen
o Behoefte aan corrigerende actie
o Onderscheid tussen objectieve en subjectieve
spanningen
o Onderscheid tussen situationele en chronische
spanningen
 Social concern thoery

, o Strain omgebouwd tot social concern
o Elk individu is een mix van sociale bezorgdheid en
eigenbelang
o Biologische basis voor sociale bezorgdheid
o Invloeden van sociale bezorgdheid op
regelovertredend gedrag: hoog op social concern,
laag op antisociaal gedrag
G. Williams Zelfzuchtige genentheorie
R. Trivers Wederkerig altruïsme/directe wederkerigheid/directe reciprociteit
R. Alexander Indirecte reciprociteit (via reputatie)
H. Gintis In ?directe wederkerigheid + straffen
 Sociale desorganisatietheorie
W. Thomas
 Menselijk gedrag wordt bepaald door de interpretaties van
de situatie
 Criminaliteitspiramide : verschillende gradaties in
J. Hagan
normovertreding
 Klassieke school (classicisme)
Beccaria
 Over misdaad en straffen : eenduidigheid strafwetten &
strafwet moet afschrikken
 Afschaffen martelingen
 Misdadigers en gewone burgers verschillen niet zo: allebei
kosten baten analyse

 Klassieke school
Bentham
 Utilitarisme
o Daden worden goedgekeurd obv hun geluk
o Geluk = plezier – pijn
o Rationeel en duidelijk strafrecht
 Afschrikkingsmodel: crimi laten samengaan met hoge
kosten
 Mensen zijn utility maximizers maar hebben bounded
rationality
 3 elementen van afschrikking: snelheid, zekerheid, zwaarte
(minder belangrijk)
 Grondlegger empiricisme
Quételet
 Systematische studie van veroordeelden in franse
gerechtelijke districten
 Italiaans antropologische school
Lombroso
 Atavisme
 Biologische en fysische verklaring misdadig gedrag
(schedelstudie)
 Italiaans antropologische school
Ferri
 Geen vrije wil
 Natuurlijke misdrijven : handelingen die ze in elke
Garofalo
samenleving veroordelen
 Probity & pity
 Franse milieuschool
Lacassagne
 Omgevingsdeterminisme
 Mens gedreven door sociale wantoestanden
 Sociologisch positivisme: de samenleving heeft de
criminaliteit die ze verdient
 Imitatiewet: ociaal leren via observatie en imitatie
G. Tarde
 Grote invloed op sutherland
 Vroege psychologisch positivisme
H. Goddard
 Onderzocht de vrouwen van de Kallikak familie
 Evolutietheorie
C. Darwin
 Misbruikt door spencer met sociaal darwinisme

,  Sociaal darwinisme
H. Spencer
 Darwin verkeerd geïnterpreteerd
 Biosomatische benadering
Kretschmer &
 Verband lichamelijke constitutie en criminaliteit
Sheldon
o ! constitutie = lichaamsbouw +
persoonlijkheidskenmerken
o Atletische constitutie zorgt voor crimi
Goring Heeft het atavisme van Lombroso ontkracht
 Definitie van crimi met klemtoon op mensenrechten
M. Bunge
 Geen oorzaken zonder mechanismen
o Regelmatige samenhang is niet voldoende om
causaliteit vast te stellen!
o Gevolgen worden geproduceerd
o DUS causaliteit gaat over wetmatigheid en
productie
 2 soorten oorzaken
o mentale causatie (breinprocessen)
o triggering causes: externe en interne triggers
 tegenfeitelijk denken
J. Woodward
 zou de oorzaak er zijn als de gebeurtenis niet had
plaatsgevonden?
 Is een hypothetische situatie: Wat als we de oorzaak niet
hadden gemanipuleerd, was het effect er dan geweest?
 2 uitspraken over causaliteit
D. Hume
o Kan nooit vastgesteld worden !
 wat er tussen oorzaak en uitkomst gebeurt,
observeer je niet zomaar
o Geen eigenschap der dingen maar een gewoonte
van de geest
 Factoren waar je niks aan kan doen worden
mee geïnterpreteerd als oorzaak van iets
 Noodzakelijkheid (necessity): oorzaak altijd voor gevolg
 Regulariteit (constant conjunction): gevolg treedt altijd op
 Nabijheid (contiguity): gebeurtenissen worden dicht na
elkaar geobserveerd
 Correlations are all that matter, all the rest is chatter
 INUS conditie : voldoende, onvoldoende, niet noodzakelijke
J. Mackie
en noodzakelijke oorzaken
 Contributieve oorzaken in de criminologie: veel dingen
dragen bij aan het gevolg, 1 motivator is niet voldoene
 Onderscheid tussen functie (ultieme oorzaak) en motivatie
N. Tinbergen
(nabije oorzaak)
 4 vragen: functie, fylogenie, ontogenese, oorzakelijk
mechanisme
Risicofactoren in 8 levensdomeinen
D . Andrew en J.
Bonta
 Sociale bindingstheorie
T. Hirschi
o Algemene theorie
o Variatie in sterkte sociale bindingen kan variatie
crimi veroorzaken
o Conventionele bindingen geven doorslag of iemand
crimi gaat plegen
o Strafsysteem is onbelangrijk
o Remmen op crimineel gedrag: attachment,
commitment, involvement, belief  hangen ook
samen
 Mens niet eindeloos kneedbaar

Maak kennis met de verkoper

Seller avatar
De reputatie van een verkoper is gebaseerd op het aantal documenten dat iemand tegen betaling verkocht heeft en de beoordelingen die voor die items ontvangen zijn. Er zijn drie niveau’s te onderscheiden: brons, zilver en goud. Hoe beter de reputatie, hoe meer de kwaliteit van zijn of haar werk te vertrouwen is.
babettedeprekel Universiteit Gent
Bekijk profiel
Volgen Je moet ingelogd zijn om studenten of vakken te kunnen volgen
Verkocht
20
Lid sinds
8 maanden
Aantal volgers
0
Documenten
14
Laatst verkocht
1 week geleden

4,7

3 beoordelingen

5
2
4
1
3
0
2
0
1
0

Recent door jou bekeken

Waarom studenten kiezen voor Stuvia

Gemaakt door medestudenten, geverifieerd door reviews

Kwaliteit die je kunt vertrouwen: geschreven door studenten die slaagden en beoordeeld door anderen die dit document gebruikten.

Niet tevreden? Kies een ander document

Geen zorgen! Je kunt voor hetzelfde geld direct een ander document kiezen dat beter past bij wat je zoekt.

Betaal zoals je wilt, start meteen met leren

Geen abonnement, geen verplichtingen. Betaal zoals je gewend bent via Bancontact, iDeal of creditcard en download je PDF-document meteen.

Student with book image

“Gekocht, gedownload en geslaagd. Zo eenvoudig kan het zijn.”

Alisha Student

Veelgestelde vragen