Garantie de satisfaction à 100% Disponible immédiatement après paiement En ligne et en PDF Tu n'es attaché à rien 4,6 TrustPilot
logo-home
Resume

Samenvatting Blok1.4: OG12 Postmaturiteit

Note
-
Vendu
-
Pages
5
Publié le
27-06-2025
Écrit en
2024/2025

Postmaturiteit en inductie

Établissement
Hogeschool PXL (PXL)
Cours
1VRK

Aperçu du contenu

OG12 Postmaturiteit
30/04/2025
1. Wat is inductie en pre-inductie?
Inductie = de arbeid kunstmatig op gang brengen, met behulp van (non)farmaca en/of
kunstmatig breken van de vliezen, waarbij de uterusspier zodanig geprikkeld wordt en tot
contraheren wordt aangezet, zodat ze haar inhoud uitstoot.
Pre-inductie = wanneer men de baring wil inleiden bij een onrijpe cervix zal eerst een
rijping van de baarmoederhals moeten gebeuren (prostaglandines of ballonkatheter)
 Naargelang duur ZS
o Preterme inductie: <37w
o À terme inductie: 37-42wPostterme inductie: >42w
 Naargelang de gebruikte techniek:
o Mechanische inductie:
 Amniotomie
 Balloncatheter
o Chemische inductie:
 Oxytocine
 Prostaglandines
o Gecombineerde inductie: amniotomie/balloncatheter + oxytocine
 Naargelang de indicatie:
o Medische inductie
o Niet-medische inductie

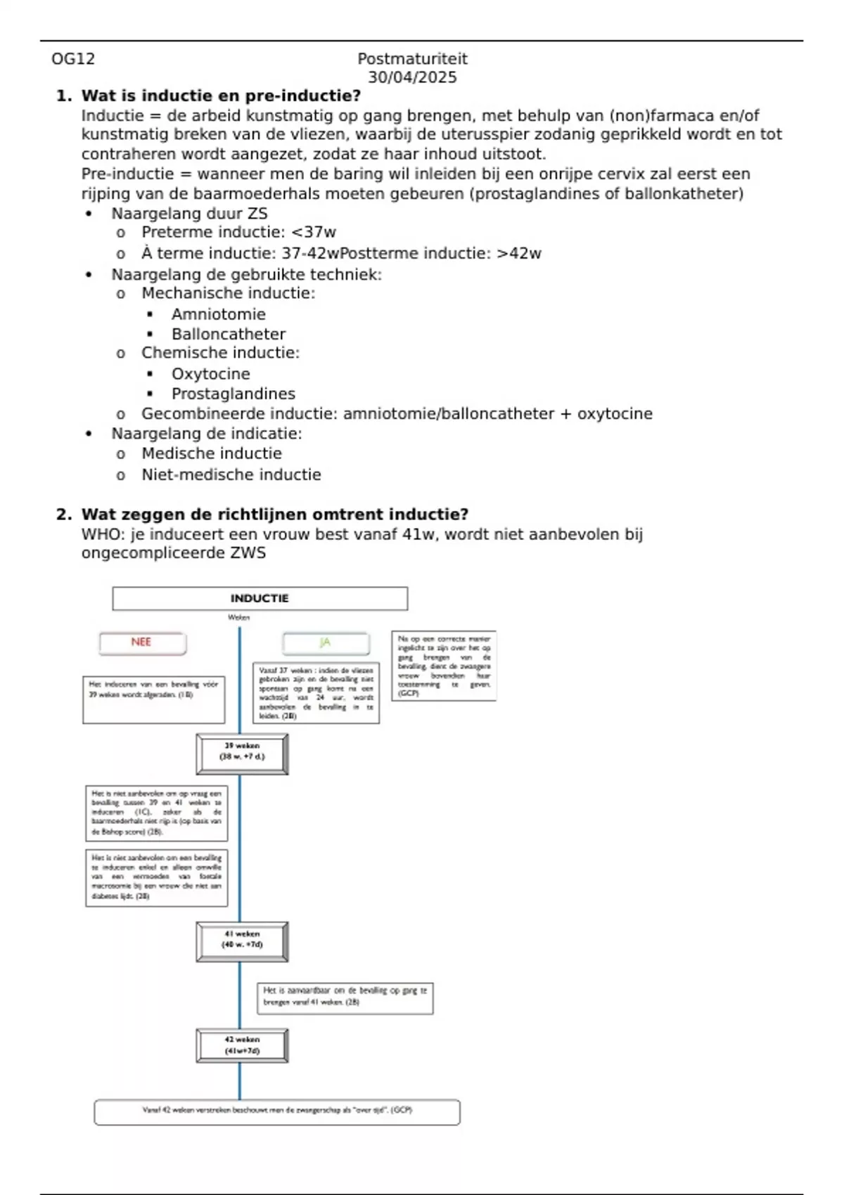
2. Wat zeggen de richtlijnen omtrent inductie?
WHO: je induceert een vrouw best vanaf 41w, wordt niet aanbevolen bij
ongecompliceerde ZWS

, OG12 Postmaturiteit
30/04/2025

Infos sur le Document

Publié le
27 juin 2025
Nombre de pages
5
Écrit en
2024/2025
Type
RESUME
€3,49
Accéder à l'intégralité du document:

Garantie de satisfaction à 100%
Disponible immédiatement après paiement
En ligne et en PDF
Tu n'es attaché à rien

Faites connaissance avec le vendeur
Seller avatar
romyvdh05

Document également disponible en groupe

Thumbnail
Package deal
Blok1.4 Alle OG's
-
1 13 2025
€ 45,37 Plus d'infos

Faites connaissance avec le vendeur

Seller avatar
romyvdh05
Voir profil
S'abonner Vous devez être connecté afin de suivre les étudiants ou les cours
Vendu
4
Membre depuis
3 année
Nombre de followers
0
Documents
111
Dernière vente
2 mois de cela

0,0

0 revues

5
0
4
0
3
0
2
0
1
0

Documents populaires

Récemment consulté par vous

Pourquoi les étudiants choisissent Stuvia

Créé par d'autres étudiants, vérifié par les avis

Une qualité sur laquelle compter : rédigé par des étudiants qui ont réussi et évalué par d'autres qui ont utilisé ce document.

Le document ne convient pas ? Choisis un autre document

Aucun souci ! Tu peux sélectionner directement un autre document qui correspond mieux à ce que tu cherches.

Paye comme tu veux, apprends aussitôt

Aucun abonnement, aucun engagement. Paye selon tes habitudes par carte de crédit et télécharge ton document PDF instantanément.

Student with book image

“Acheté, téléchargé et réussi. C'est aussi simple que ça.”

Alisha Student

Foire aux questions