Diversiteit (verscheidenheid)
Personen met een handicap ()
Betekenis handicap
Is een participatieprobleem dat resulteert uit het samenspel tussen aandoeningen
en ziekten, letsel en daardoor anatomische eigenschappen en functiestoornissen,
beperken bij het uitvoeren van activiteiten, persoonlijke- en externe factoren
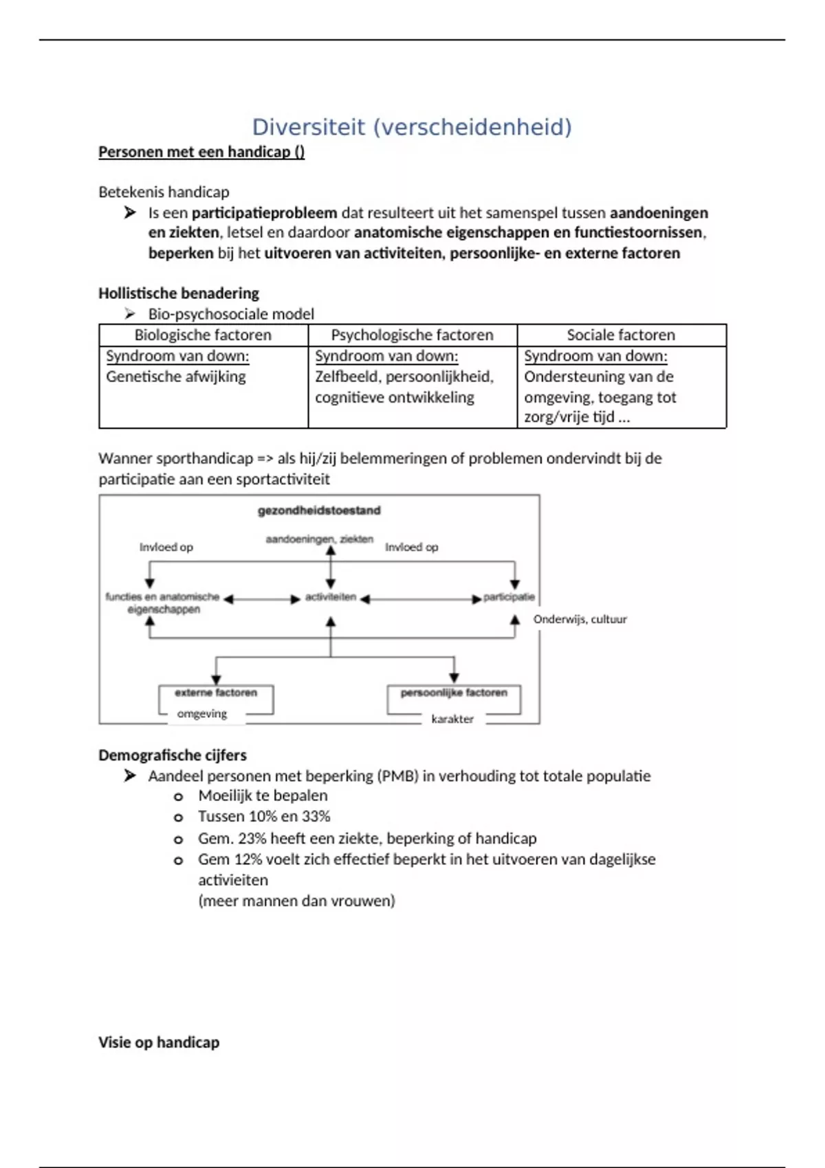
Hollistische benadering
Bio-psychosociale model
Biologische factoren Psychologische factoren Sociale factoren
Syndroom van down: Syndroom van down: Syndroom van down:
Genetische afwijking Zelfbeeld, persoonlijkheid, Ondersteuning van de
cognitieve ontwikkeling omgeving, toegang tot
zorg/vrije tijd …
Wanner sporthandicap => als hij/zij belemmeringen of problemen ondervindt bij de
participatie aan een sportactiviteit
Invloed op Invloed op
Onderwijs, cultuur
omgeving karakter
Demografische cijfers
Aandeel personen met beperking (PMB) in verhouding tot totale populatie
o Moeilijk te bepalen
o Tussen 10% en 33%
o Gem. 23% heeft een ziekte, beperking of handicap
o Gem 12% voelt zich effectief beperkt in het uitvoeren van dagelijkse
activieiten
(meer mannen dan vrouwen)
Visie op handicap
, Moreel-religieus model Zoekt naar verklaring (lot, pech/geluk)
Waardeoordelen: kan negatief (straf van god, vloek) of positief
zijn (zegen, goddelijk)
Medische model Beschouwd als een afwijking > geminimaliseerd moet worden
Persoon proberen herstellen/revalideren
Sociaal-model Van focus van individu naar omgeving
Omgeving moet aangepast worden
Cultureelmodel Dat iedereen een handicap heeft op een of andere manier >
handicap als identiteit
mensenrechtenmodel Gezien als mensen met mogelijkheden
Die zelfde kansen en rechten moeten krijgen als de mensen
Soorten gehandicapten
Fysieke handicap (FYS) murderbal
o Mensen die blijvende, tijdelijke of terugkerende motorische aandoeningen
belemmerd worden in hun groei en ontwikkeling en ontplooiing
Personen die neurologische, skeletalen musculaire of fysiologische
aandoeningen of ziekte hebben
Dwarsleasie (onderste ledenmaten verlamd)
Spina bifida
Visuele handicap (VI) > lopen, torbal
o Blind > visus minder dan 0,05 of wanneer het gezichtsveld minder is dan 10°
in het beste oog, met de beste correctie
o Slechtziend > wanneer visus minder is dan 0,3 maar beter dan 0,05 of
wanneer het gezichtsveld 30° of minder is maar groter dan 10° in het beste
oog, met de beste correctie
Personen die sensoriële (zintuigelijke) aandoeningen of ziekte hebben
aan de ogen of oogzenuwen
Cateract
Auditieve handicap (AU) alle sporten (deaflympische spelen)
o Treedt op van zodra er een gehoorverlies optreedt van meer dan 20 db
Normaal horend > ≤ 20 db
Licht slechthorend > 21-40 db
Matig slechthorend > 41-70 db
Zwaar slechthorend > 70-90 db
Doof > ≥ 90 db
Personen die sensoriële (zintuigelijke) aandoeningen of ziekte
hebben aan het gehoor systeem of de gehoorzenuwen
o tinnitus
Verstandelijke handicap (VE) zwemmen (meestal individuele sporten)
o Verwijst naar problemen in het functioneren, onstaan voor de leeftijd van 18
jaar, gekenmerkt door significante beperkingen in zowel het intellectuele
functioneren als in het adoptieve gedrag (syndroom van down)
Licht verstandelijke beperking > ± 55-70
Matige verstandelijke beperking > ± 35-55
Ernstige verstandelijke beperking > ± 25-35
Diepe verstandelijke beperking > <25
Personen met een handicap ()
Betekenis handicap
Is een participatieprobleem dat resulteert uit het samenspel tussen aandoeningen
en ziekten, letsel en daardoor anatomische eigenschappen en functiestoornissen,
beperken bij het uitvoeren van activiteiten, persoonlijke- en externe factoren
Hollistische benadering
Bio-psychosociale model
Biologische factoren Psychologische factoren Sociale factoren
Syndroom van down: Syndroom van down: Syndroom van down:
Genetische afwijking Zelfbeeld, persoonlijkheid, Ondersteuning van de
cognitieve ontwikkeling omgeving, toegang tot
zorg/vrije tijd …
Wanner sporthandicap => als hij/zij belemmeringen of problemen ondervindt bij de
participatie aan een sportactiviteit
Invloed op Invloed op
Onderwijs, cultuur
omgeving karakter
Demografische cijfers
Aandeel personen met beperking (PMB) in verhouding tot totale populatie
o Moeilijk te bepalen
o Tussen 10% en 33%
o Gem. 23% heeft een ziekte, beperking of handicap
o Gem 12% voelt zich effectief beperkt in het uitvoeren van dagelijkse
activieiten
(meer mannen dan vrouwen)
Visie op handicap
, Moreel-religieus model Zoekt naar verklaring (lot, pech/geluk)
Waardeoordelen: kan negatief (straf van god, vloek) of positief
zijn (zegen, goddelijk)
Medische model Beschouwd als een afwijking > geminimaliseerd moet worden
Persoon proberen herstellen/revalideren
Sociaal-model Van focus van individu naar omgeving
Omgeving moet aangepast worden
Cultureelmodel Dat iedereen een handicap heeft op een of andere manier >
handicap als identiteit
mensenrechtenmodel Gezien als mensen met mogelijkheden
Die zelfde kansen en rechten moeten krijgen als de mensen
Soorten gehandicapten
Fysieke handicap (FYS) murderbal
o Mensen die blijvende, tijdelijke of terugkerende motorische aandoeningen
belemmerd worden in hun groei en ontwikkeling en ontplooiing
Personen die neurologische, skeletalen musculaire of fysiologische
aandoeningen of ziekte hebben
Dwarsleasie (onderste ledenmaten verlamd)
Spina bifida
Visuele handicap (VI) > lopen, torbal
o Blind > visus minder dan 0,05 of wanneer het gezichtsveld minder is dan 10°
in het beste oog, met de beste correctie
o Slechtziend > wanneer visus minder is dan 0,3 maar beter dan 0,05 of
wanneer het gezichtsveld 30° of minder is maar groter dan 10° in het beste
oog, met de beste correctie
Personen die sensoriële (zintuigelijke) aandoeningen of ziekte hebben
aan de ogen of oogzenuwen
Cateract
Auditieve handicap (AU) alle sporten (deaflympische spelen)
o Treedt op van zodra er een gehoorverlies optreedt van meer dan 20 db
Normaal horend > ≤ 20 db
Licht slechthorend > 21-40 db
Matig slechthorend > 41-70 db
Zwaar slechthorend > 70-90 db
Doof > ≥ 90 db
Personen die sensoriële (zintuigelijke) aandoeningen of ziekte
hebben aan het gehoor systeem of de gehoorzenuwen
o tinnitus
Verstandelijke handicap (VE) zwemmen (meestal individuele sporten)
o Verwijst naar problemen in het functioneren, onstaan voor de leeftijd van 18
jaar, gekenmerkt door significante beperkingen in zowel het intellectuele
functioneren als in het adoptieve gedrag (syndroom van down)
Licht verstandelijke beperking > ± 55-70
Matige verstandelijke beperking > ± 35-55
Ernstige verstandelijke beperking > ± 25-35
Diepe verstandelijke beperking > <25