100% de satisfacción garantizada Inmediatamente disponible después del pago Tanto en línea como en PDF No estas atado a nada 4,6 TrustPilot
logo-home
Examen

Orange Coast College MATH A115: Exam 2

Puntuación
-
Vendido
-
Páginas
5
Grado
A+
Subido en
08-10-2025
Escrito en
2025/2026

Orange Coast College MATH A115: Exam 2

Institución
Grado









Ups! No podemos cargar tu documento ahora. Inténtalo de nuevo o contacta con soporte.

Escuela, estudio y materia

Institución
Grado

Información del documento

Subido en
8 de octubre de 2025
Número de páginas
5
Escrito en
2025/2026
Tipo
Examen
Contiene
Preguntas y respuestas

Temas

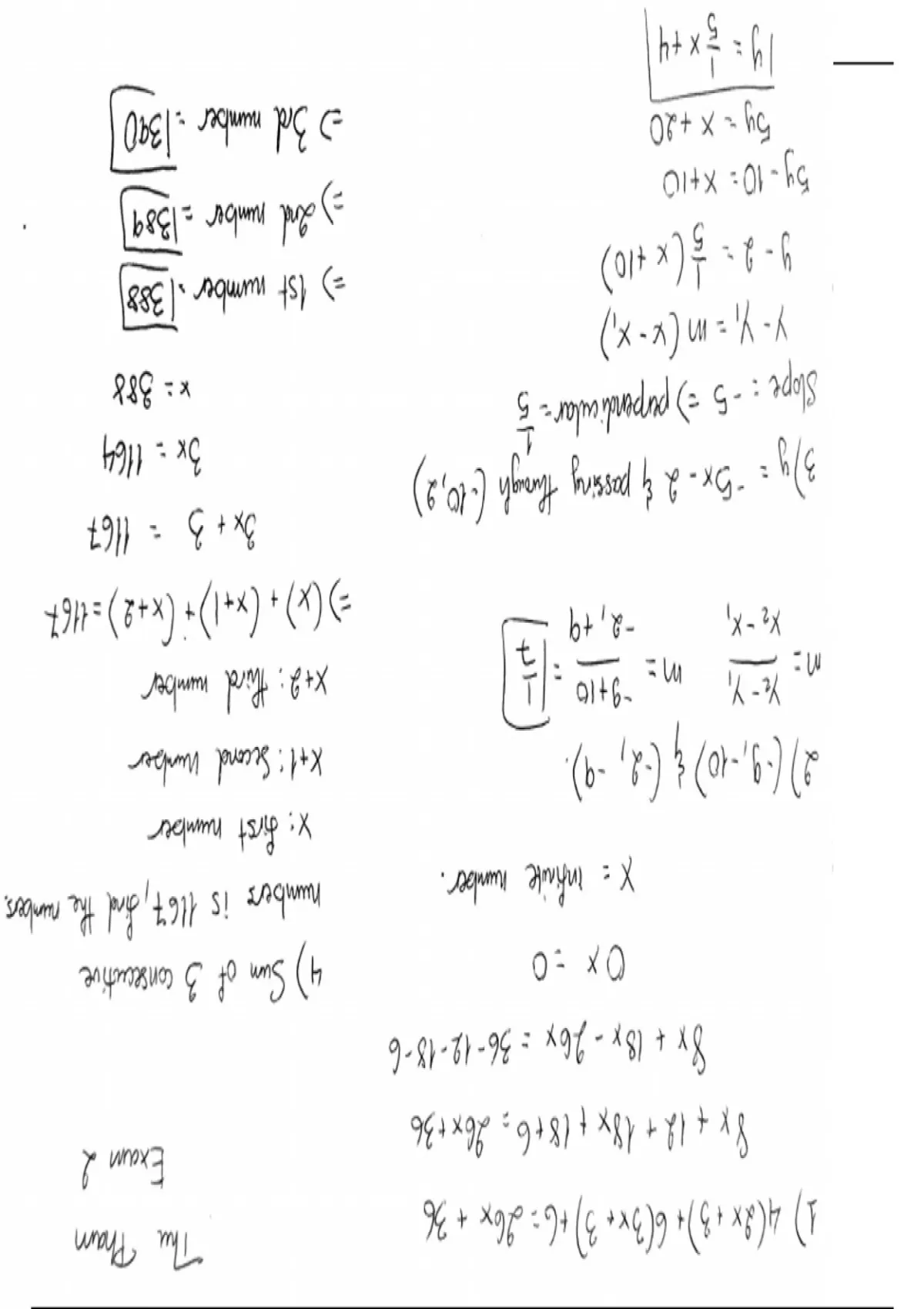
Vista previa del contenido

o e
Sbgg\: Rwmi W<:
<QH‘
i l
or+ x ~ g
O1+x

x)g
=0

~ %
‘QQ

-6
(gsg) A ) &
(x -A) U= 'A - A
R/ = % —.MMVIOW‘CW<‘ = Rl ’}(Jd]g
B4 = 2¢
(s'a17) gy bomsed ¢ 3G = B (¢
191 = & **¢
+91= <g+x) ‘4_<| -\-)() ¥ <X) (= b el L,
E}-b__f L X
e M R e T orrg. W Ty Y
—Repe] PUISEX ) B (o6 (7
e U I =P
"oy AL = X
samsi pop | 93 S1 TR
g ¢ g0 WS (b 0= XO
9-Qy-Br-9% = 97- X¢) T XQ
IG+X9F 93} ¥ ARy + ¥ T AR
r v
woayy, Ty % ¥ X9 294 (¢ 2xg)9 H(& )l (7

,
$13.99
Accede al documento completo:

100% de satisfacción garantizada
Inmediatamente disponible después del pago
Tanto en línea como en PDF
No estas atado a nada


Documento también disponible en un lote

Conoce al vendedor

Seller avatar
Los indicadores de reputación están sujetos a la cantidad de artículos vendidos por una tarifa y las reseñas que ha recibido por esos documentos. Hay tres niveles: Bronce, Plata y Oro. Cuanto mayor reputación, más podrás confiar en la calidad del trabajo del vendedor.
PaulMarks Rasmussen College
Seguir Necesitas iniciar sesión para seguir a otros usuarios o asignaturas
Vendido
1337
Miembro desde
5 año
Número de seguidores
1091
Documentos
3873
Última venta
4 días hace
Paul Marks Library

Providing the best guaranteed solutions for Nursing assignments.

3.8

219 reseñas

5
114
4
31
3
23
2
9
1
42

Recientemente visto por ti

Por qué los estudiantes eligen Stuvia

Creado por compañeros estudiantes, verificado por reseñas

Calidad en la que puedes confiar: escrito por estudiantes que aprobaron y evaluado por otros que han usado estos resúmenes.

¿No estás satisfecho? Elige otro documento

¡No te preocupes! Puedes elegir directamente otro documento que se ajuste mejor a lo que buscas.

Paga como quieras, empieza a estudiar al instante

Sin suscripción, sin compromisos. Paga como estés acostumbrado con tarjeta de crédito y descarga tu documento PDF inmediatamente.

Student with book image

“Comprado, descargado y aprobado. Así de fácil puede ser.”

Alisha Student

Preguntas frecuentes