Escrito por estudiantes que aprobaron Inmediatamente disponible después del pago Leer en línea o como PDF ¿Documento equivocado? Cámbialo gratis 4,6 TrustPilot
logo-home
Notas de lectura

Class notes APPM 1360 9.4

Puntuación
-
Vendido
-
Páginas
4
Subido en
30-08-2025
Escrito en
2024/2025

Class notes APPM 1360 9.4 Areas and Lengths in Polar Coordinates

Institución
Grado

Vista previa del contenido

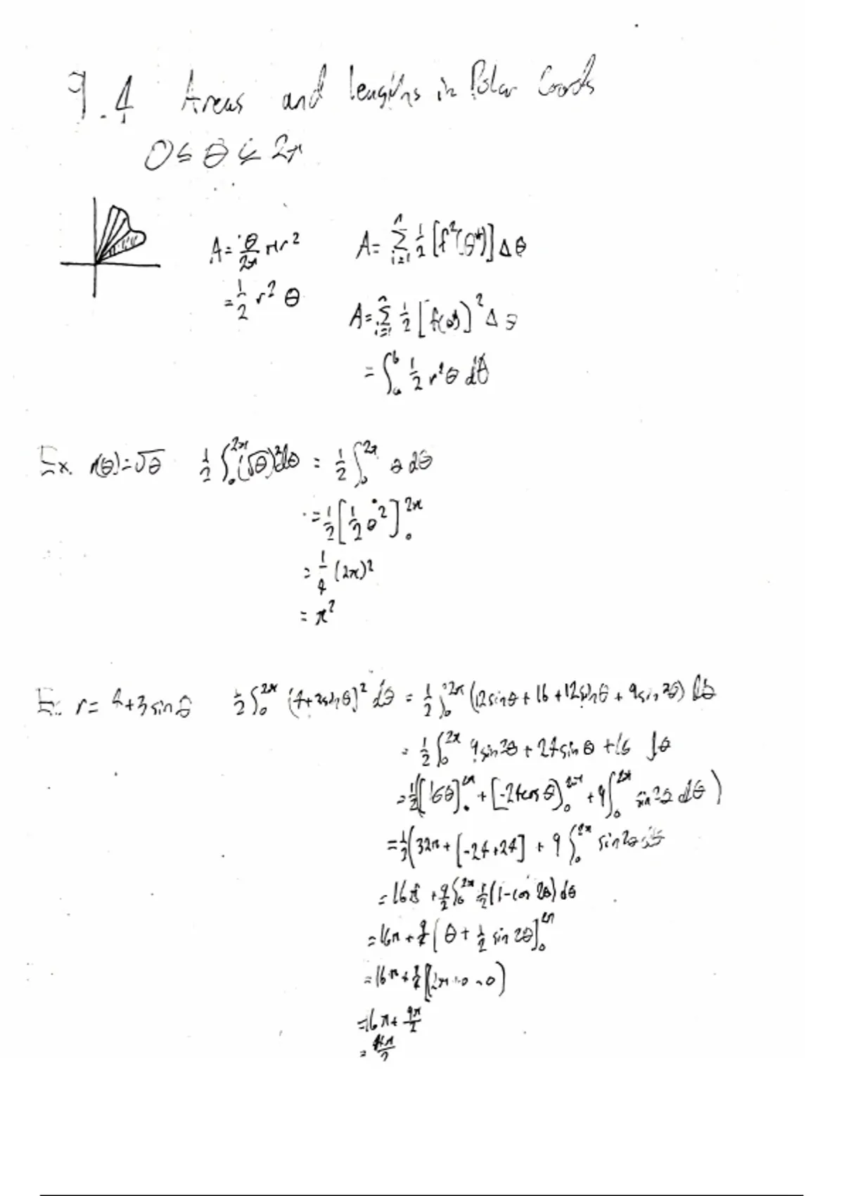
9.4 Areas and lengins in Polar Courth
05842
✓ A Bm A 2/21/187597/20
A=H2
"
24
-12
0.
A = 2 ½ [f(o)]
= S₂rodo
²₁=
Ex. 16)=50
d
(201
(50)20
2
225
2
2x
22
D
==(2x)²
4
24
Exx r= 4+3 sin6 § 52* (4+25476)² 10 = ½ 125 (12sing +16 +12596 +95;, 25) 12
2
2x
= 1 (2²* 955 20 + 24 sin +16 Jo
2
+
257
min 22 dG)
=5332++

0
3210 + [-24 +24] + 9 (en sinza-sis
= 1653 +256 +1 (1-101 26) 16
= 161 +1 10+ + sin 20
on
= 161 +1 (1100)
=167+27
3༡

Escuela, estudio y materia

Institución
Grado

Información del documento

Subido en
30 de agosto de 2025
Número de páginas
4
Escrito en
2024/2025
Tipo
NOTAS DE LECTURA
Profesor(es)
Ryan thurman
Contiene
Unit 9.4

Temas

$15.99
Accede al documento completo:

¿Documento equivocado? Cámbialo gratis Dentro de los 14 días posteriores a la compra y antes de descargarlo, puedes elegir otro documento. Puedes gastar el importe de nuevo.
Escrito por estudiantes que aprobaron
Inmediatamente disponible después del pago
Leer en línea o como PDF

Conoce al vendedor
Seller avatar
samfay

Conoce al vendedor

Seller avatar
samfay University Of Colorado Boulder
Seguir Necesitas iniciar sesión para seguir a otros usuarios o asignaturas
Vendido
-
Miembro desde
7 meses
Número de seguidores
0
Documentos
70
Última venta
-

0.0

0 reseñas

5
0
4
0
3
0
2
0
1
0

Documentos populares

Recientemente visto por ti

Por qué los estudiantes eligen Stuvia

Creado por compañeros estudiantes, verificado por reseñas

Calidad en la que puedes confiar: escrito por estudiantes que aprobaron y evaluado por otros que han usado estos resúmenes.

¿No estás satisfecho? Elige otro documento

¡No te preocupes! Puedes elegir directamente otro documento que se ajuste mejor a lo que buscas.

Paga como quieras, empieza a estudiar al instante

Sin suscripción, sin compromisos. Paga como estés acostumbrado con tarjeta de crédito y descarga tu documento PDF inmediatamente.

Student with book image

“Comprado, descargado y aprobado. Así de fácil puede ser.”

Alisha Student

Preguntas frecuentes