Escrito por estudiantes que aprobaron Inmediatamente disponible después del pago Leer en línea o como PDF ¿Documento equivocado? Cámbialo gratis 4,6 TrustPilot
logo-home
Notas de lectura

Class notes APPM 1360 9.2

Puntuación
-
Vendido
-
Páginas
4
Subido en
30-08-2025
Escrito en
2024/2025

Class notes APPM 1360 9.1 Calculus with Parametric Curves

Institución
Grado

Vista previa del contenido

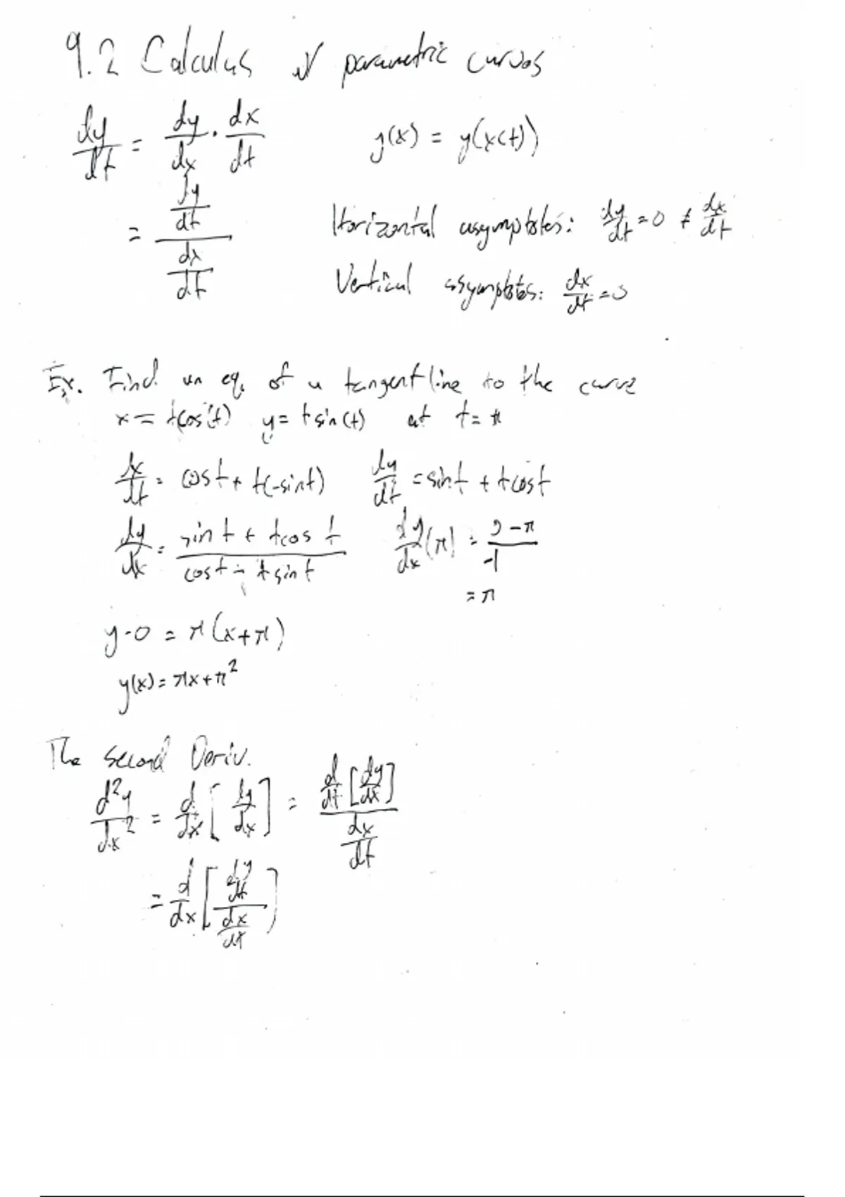
9.2 Calculus et parimetric curvas
It
(་
=
dy, dx
dx dt
Jy
dt
dx
JF
g(x) = y(x(t))
dx
Horizontal asymptotos: by 14=0 & 14
Vertical asymptotos:
dx
‫َن = ظل‬
Ex. Find un eq
+cos (f)
x=
=
ege of
of in
tangent line to the curva
y=
4=
fsin (+)
at t=t
Ли
*. cost++(-sint) by y sint + tuost
by rint & trasf
it cost - Agint
y-o = M (x+x)
y(x)=7x+12
The second Deriv.
d²y
Jx 2 = j j
[4]
H
xx
it
[]
dx
If
t

Escuela, estudio y materia

Institución
Grado

Información del documento

Subido en
30 de agosto de 2025
Número de páginas
4
Escrito en
2024/2025
Tipo
NOTAS DE LECTURA
Profesor(es)
Ryan thurman
Contiene
Unit 9.2

Temas

$15.99
Accede al documento completo:

¿Documento equivocado? Cámbialo gratis Dentro de los 14 días posteriores a la compra y antes de descargarlo, puedes elegir otro documento. Puedes gastar el importe de nuevo.
Escrito por estudiantes que aprobaron
Inmediatamente disponible después del pago
Leer en línea o como PDF

Conoce al vendedor
Seller avatar
samfay

Conoce al vendedor

Seller avatar
samfay University Of Colorado Boulder
Seguir Necesitas iniciar sesión para seguir a otros usuarios o asignaturas
Vendido
-
Miembro desde
7 meses
Número de seguidores
0
Documentos
70
Última venta
-

0.0

0 reseñas

5
0
4
0
3
0
2
0
1
0

Documentos populares

Recientemente visto por ti

Por qué los estudiantes eligen Stuvia

Creado por compañeros estudiantes, verificado por reseñas

Calidad en la que puedes confiar: escrito por estudiantes que aprobaron y evaluado por otros que han usado estos resúmenes.

¿No estás satisfecho? Elige otro documento

¡No te preocupes! Puedes elegir directamente otro documento que se ajuste mejor a lo que buscas.

Paga como quieras, empieza a estudiar al instante

Sin suscripción, sin compromisos. Paga como estés acostumbrado con tarjeta de crédito y descarga tu documento PDF inmediatamente.

Student with book image

“Comprado, descargado y aprobado. Así de fácil puede ser.”

Alisha Student

Preguntas frecuentes