Escrito por estudiantes que aprobaron Inmediatamente disponible después del pago Leer en línea o como PDF ¿Documento equivocado? Cámbialo gratis 4,6 TrustPilot
logo-home
Notas de lectura

Class notes APPM 1350 Unit 4.3

Puntuación
-
Vendido
-
Páginas
4
Subido en
29-08-2025
Escrito en
2024/2025

Class notes APPM 1350 Unit 4.3 Evaluating Definite Integrals.

Institución
Grado

Vista previa del contenido

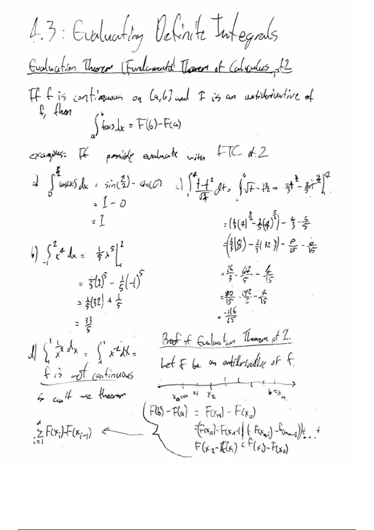
4.3: Evaluating De nite Integrals
Evaluation Theorem (Fundamental Theorem of Calculus, +2
If f is continuous on (9,6] wad I is an untiderivative of
f, then
Starsdx = F(6)-F(a)
examples. If possible evaluate
FTC of. 2
with
2
{tes
"Loscks de = sin (1) - ancor cl
.ct=
fa
a
‫ב‬
= 1-0
=1
6). S² the = ₤15/2
dx $15%

12
=
56)² - ₤2(-1)5
>+
총(32)
5
= ($(4)²=-3(4)³) - 3 -
32
(118) - 3/1 2² )) - — - $35
15 62 1
80 192
-116
15
Broof of Gumluation Theorem of 2.
Ах
=
f is not continuous
Sp cur
И
It use theorem
= F(x) F(x-1)
1=1
Let f be un
antilorisatie of f.
XL
¥2
F(6) - F(a) = F(x) - F(xo)
=(Fran) - Fixnt] ( Foxml) - franz)) ...+
F(x 2 -((a) (F(x) - F(x0)




fi

Escuela, estudio y materia

Institución
Grado

Información del documento

Subido en
29 de agosto de 2025
Número de páginas
4
Escrito en
2024/2025
Tipo
NOTAS DE LECTURA
Profesor(es)
Robert benim
Contiene
Unit 4.3

Temas

$15.99
Accede al documento completo:

¿Documento equivocado? Cámbialo gratis Dentro de los 14 días posteriores a la compra y antes de descargarlo, puedes elegir otro documento. Puedes gastar el importe de nuevo.
Escrito por estudiantes que aprobaron
Inmediatamente disponible después del pago
Leer en línea o como PDF

Conoce al vendedor
Seller avatar
samfay

Documento también disponible en un lote

Conoce al vendedor

Seller avatar
samfay University Of Colorado Boulder
Seguir Necesitas iniciar sesión para seguir a otros usuarios o asignaturas
Vendido
-
Miembro desde
7 meses
Número de seguidores
0
Documentos
70
Última venta
-

0.0

0 reseñas

5
0
4
0
3
0
2
0
1
0

Documentos populares

Recientemente visto por ti

Por qué los estudiantes eligen Stuvia

Creado por compañeros estudiantes, verificado por reseñas

Calidad en la que puedes confiar: escrito por estudiantes que aprobaron y evaluado por otros que han usado estos resúmenes.

¿No estás satisfecho? Elige otro documento

¡No te preocupes! Puedes elegir directamente otro documento que se ajuste mejor a lo que buscas.

Paga como quieras, empieza a estudiar al instante

Sin suscripción, sin compromisos. Paga como estés acostumbrado con tarjeta de crédito y descarga tu documento PDF inmediatamente.

Student with book image

“Comprado, descargado y aprobado. Así de fácil puede ser.”

Alisha Student

Preguntas frecuentes