Escrito por estudiantes que aprobaron Inmediatamente disponible después del pago Leer en línea o como PDF ¿Documento equivocado? Cámbialo gratis 4,6 TrustPilot
logo-home
Notas de lectura

Class notes APPM 1350 2.5

Puntuación
-
Vendido
-
Páginas
3
Subido en
29-08-2025
Escrito en
2024/2025

Class notes APPM 1350 2.5 Chain Rule

Institución
Grado

Vista previa del contenido

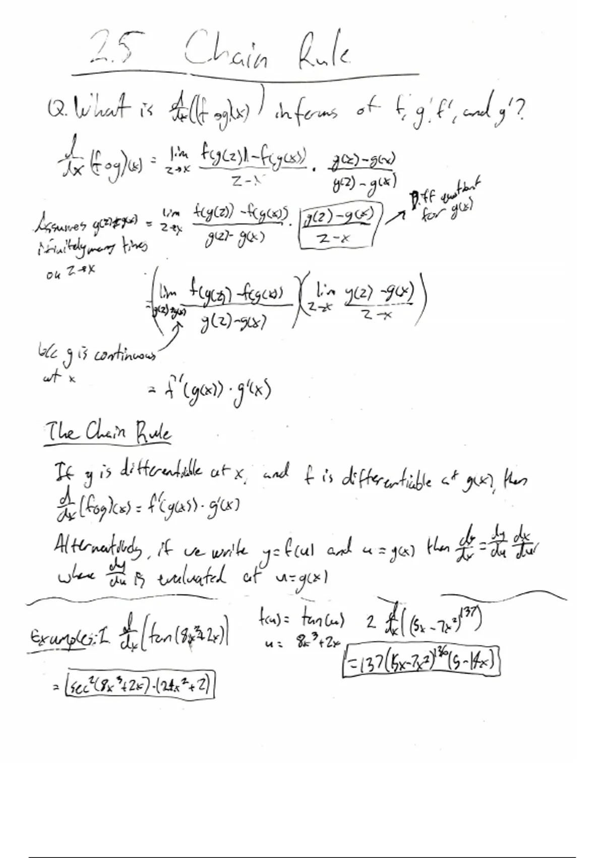
25 Chain Rule
Q. What is tollt oght)) informs of gif', and y'?
fox (fog) (b) = I've g(z)l-fry(s), gaz)-gow
Z-1
y(z) - g(x)
lim f(y(z)) -f(g(x)) (2)-9 (*)
g(27-9(x)
Assumes g(z) (906)
N nitely many times
= 22X
ок чех
I'm y(s) fegcoss
9(2)-5(8)
\g(2) zgus
blc g is continuous
at x
f'(g(x))· g'(x)
2-x
‫ޔ‬
2-
lim y(z) ~g(x)
y(2)-9
Diff custbont
for g(x)
The Chain Rule
y is differentiable at x; and f is differentiable at g(x), then
If yj
d
Ax (fogkas = f(glass- g'(x)
Alternatiudy, if ve write yafcul and
where you is evaluated at
Examples: I ₤ (tan (8/32+))

2
(sec² (8x² +2x)-(24x² + 2)
u= g(x)
u=
dx
(g(x) then do you have
fan) = tance) 2 ₤1 (5x-76-3/137)
43
883+2×

=137 (5x-3-2) (5-14x)
Ju




fi fl fi fi

Escuela, estudio y materia

Institución
Grado

Información del documento

Subido en
29 de agosto de 2025
Número de páginas
3
Escrito en
2024/2025
Tipo
NOTAS DE LECTURA
Profesor(es)
Robert benim
Contiene
Unit 2.5

Temas

$15.99
Accede al documento completo:

¿Documento equivocado? Cámbialo gratis Dentro de los 14 días posteriores a la compra y antes de descargarlo, puedes elegir otro documento. Puedes gastar el importe de nuevo.
Escrito por estudiantes que aprobaron
Inmediatamente disponible después del pago
Leer en línea o como PDF

Conoce al vendedor
Seller avatar
samfay

Documento también disponible en un lote

Conoce al vendedor

Seller avatar
samfay University Of Colorado Boulder
Seguir Necesitas iniciar sesión para seguir a otros usuarios o asignaturas
Vendido
-
Miembro desde
7 meses
Número de seguidores
0
Documentos
70
Última venta
-

0.0

0 reseñas

5
0
4
0
3
0
2
0
1
0

Documentos populares

Recientemente visto por ti

Por qué los estudiantes eligen Stuvia

Creado por compañeros estudiantes, verificado por reseñas

Calidad en la que puedes confiar: escrito por estudiantes que aprobaron y evaluado por otros que han usado estos resúmenes.

¿No estás satisfecho? Elige otro documento

¡No te preocupes! Puedes elegir directamente otro documento que se ajuste mejor a lo que buscas.

Paga como quieras, empieza a estudiar al instante

Sin suscripción, sin compromisos. Paga como estés acostumbrado con tarjeta de crédito y descarga tu documento PDF inmediatamente.

Student with book image

“Comprado, descargado y aprobado. Así de fácil puede ser.”

Alisha Student

Preguntas frecuentes