Escrito por estudiantes que aprobaron Inmediatamente disponible después del pago Leer en línea o como PDF ¿Documento equivocado? Cámbialo gratis 4,6 TrustPilot
logo-home
Notas de lectura

Class notes APPM 1350 Unit 1.1

Puntuación
-
Vendido
-
Páginas
1
Subido en
29-08-2025
Escrito en
2024/2025

Notes from the first half APPM 1350, Functions and Their Representations.

Institución
Grado

Vista previa del contenido

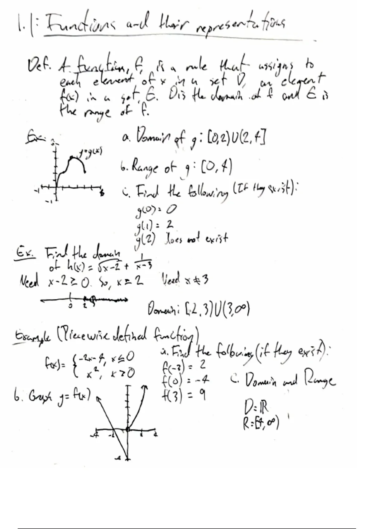
1.1: Functions and their representations
Def. A. function, is a rule that assigns to
बै
each element of x in a set V
42
elegent
fa) in a got. E. Dis the domain of I and E is
f(x)
the
range
of f.
a. Domain of 9: (0,2) U(2,4]
9.
6. Range of 9: (0,4)
C. Find the following (If they exist):
g(0)=0
g(1) = 2
Ex. Find the domain 9(2) loes not exist
of h(x) = 5x-2 + x-
Need x-2=0. So, x=2
‫سها‬

Weed 8 #3
Domarini (2.3) U (3,00)
2. Find the following (if they exist):
Example (Piecewise de ned function)
fox) = {-2x-4, x
6. Graph y= f(x)
xso
V
f(-3)= 2
f(0)=-4
+(3) = 9
C. Domain and Range
D= R
R = E+,00) '




fi fi

Escuela, estudio y materia

Institución
Grado

Información del documento

Subido en
29 de agosto de 2025
Número de páginas
1
Escrito en
2024/2025
Tipo
NOTAS DE LECTURA
Profesor(es)
Robert benim
Contiene
First half of unit 1.1

Temas

$8.49
Accede al documento completo:

¿Documento equivocado? Cámbialo gratis Dentro de los 14 días posteriores a la compra y antes de descargarlo, puedes elegir otro documento. Puedes gastar el importe de nuevo.
Escrito por estudiantes que aprobaron
Inmediatamente disponible después del pago
Leer en línea o como PDF

Conoce al vendedor
Seller avatar
samfay

Documento también disponible en un lote

Conoce al vendedor

Seller avatar
samfay University Of Colorado Boulder
Seguir Necesitas iniciar sesión para seguir a otros usuarios o asignaturas
Vendido
-
Miembro desde
7 meses
Número de seguidores
0
Documentos
70
Última venta
-

0.0

0 reseñas

5
0
4
0
3
0
2
0
1
0

Documentos populares

Recientemente visto por ti

Por qué los estudiantes eligen Stuvia

Creado por compañeros estudiantes, verificado por reseñas

Calidad en la que puedes confiar: escrito por estudiantes que aprobaron y evaluado por otros que han usado estos resúmenes.

¿No estás satisfecho? Elige otro documento

¡No te preocupes! Puedes elegir directamente otro documento que se ajuste mejor a lo que buscas.

Paga como quieras, empieza a estudiar al instante

Sin suscripción, sin compromisos. Paga como estés acostumbrado con tarjeta de crédito y descarga tu documento PDF inmediatamente.

Student with book image

“Comprado, descargado y aprobado. Así de fácil puede ser.”

Alisha Student

Preguntas frecuentes