100% de satisfacción garantizada Inmediatamente disponible después del pago Tanto en línea como en PDF No estas atado a nada 4,6 TrustPilot
logo-home
Examen

Test Bank for Saunders Comprehensive Review for the NCLEX-RN® Examination, 9th Edition by Linda Anne Silvestri and Angela Silvestri Complete Questions and Answers

Puntuación
-
Vendido
-
Páginas
278
Grado
A+
Subido en
16-08-2025
Escrito en
2025/2026

Test Bank for Saunders Comprehensive Review for the NCLEX-RN® Examination, 9th Edition by Linda Anne Silvestri and Angela Silvestri Complete Questions and Answers

Institución
NCLEX-RN
Grado
NCLEX-RN











Ups! No podemos cargar tu documento ahora. Inténtalo de nuevo o contacta con soporte.

Libro relacionado

Escuela, estudio y materia

Institución
NCLEX-RN
Grado
NCLEX-RN

Información del documento

Subido en
16 de agosto de 2025
Número de páginas
278
Escrito en
2025/2026
Tipo
Examen
Contiene
Preguntas y respuestas

Temas

Vista previa del contenido

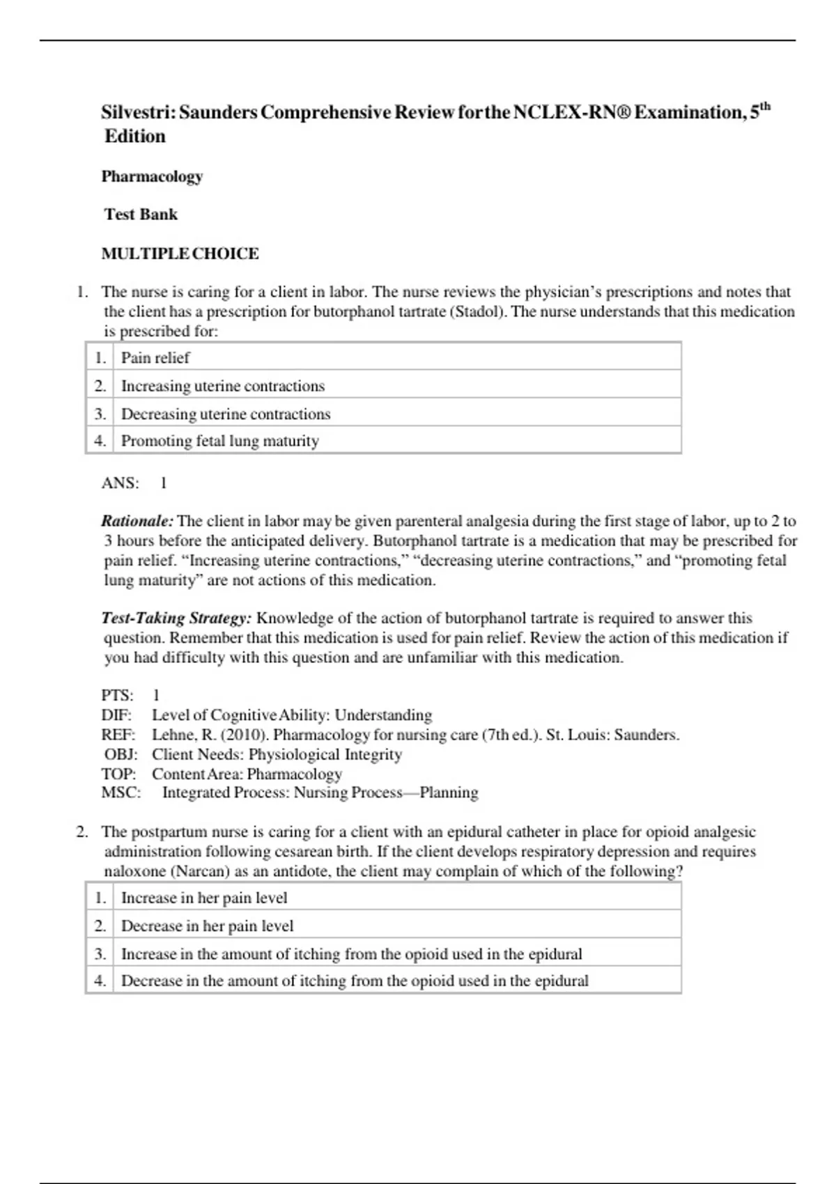
Silvestri: Saunders Comprehensive Review for the NCLEX-RN® Examination, 5th
iv iv iv iv iv iv iv iv




Edition
iv




Pharmacology

Test Bank
iv iv




MULTIPLE CHOICE iv




1. The nurse is caring for a client in labor. The nurse reviews the physician’s prescriptions and notes that
iv iv iv iv iv iv iv iv iv iv iv iv iv iv iv iv iv



the client has a prescription for butorphanol tartrate (Stadol). The nurse understands that this medication
iv iv iv iv iv iv iv iv iv iv iv iv iv iv iv



is prescribed for:
iv iv iv




1. Pain relief iv




2. Increasing uterine contractions iv iv




3. Decreasing uterine contractions iv iv




4. Promoting fetal lung maturity iv iv iv




ANS: i v i v 1

Rationale: The client in labor may be given parenteral analgesia during the first stage of labor, up to 2 to
iv iv iv iv iv iv iv iv iv iv iv iv iv iv iv iv iv iv iv



3 hours before the anticipated delivery. Butorphanol tartrate is a medication that may be prescribed for
iv iv iv iv iv iv iv iv iv iv iv iv iv iv iv iv



pain relief. “Increasing uterine contractions,” “decreasing uterine contractions,” and “promoting fetal
iv iv iv iv iv iv iv iv iv iv iv



lung maturity” are not actions of this medication.
iv iv iv iv iv iv iv iv




Test-Taking Strategy: Knowledge of the action of butorphanol tartrate is required to answer this
iv iv iv iv iv iv iv iv iv iv iv iv iv



question. Remember that this medication is used for pain relief. Review the action of this medication if
iv iv iv iv iv iv iv iv iv iv iv iv iv iv iv iv iv



you had difficulty with this question and are unfamiliar with this medication.
iv iv iv iv iv iv iv iv iv iv iv iv




PTS: 1
DIF: Level of Cognitive Ability: Understanding
iv iv iv iv



REF: Lehne, R. (2010). Pharmacology for nursing care (7th ed.). St. Louis: Saunders.
iv iv iv iv iv iv iv iv iv iv iv



OBJ:
iv Client Needs: Physiological Integrity iv iv iv



TOP: Content Area: Pharmacology iv iv



MSC: i vIntegrated Process: Nursing Process—Planning iv iv iv




2. The postpartum nurse is caring for a client with an epidural catheter in place for opioid analgesic
iv iv iv iv iv iv iv iv iv iv iv iv iv iv iv iv



administration following cesarean birth. If the client develops respiratory depression and requires
iv iv iv iv iv iv iv iv iv iv iv iv



naloxone (Narcan) as an antidote, the client may complain of which of the following?
iv iv iv iv iv iv iv iv iv iv iv iv iv iv




1. Increase in her pain level iv iv iv iv




2. Decrease in her pain level iv iv iv iv




3. Increase in the amount of itching from the opioid used in the epidural
iv iv iv iv iv iv iv iv iv iv iv iv




4. Decrease in the amount of itching from the opioid used in the epidural
iv iv iv iv iv iv iv iv iv iv iv iv

, ANS: i v i v 1

Rationale: Remember that opioids are used for epidural analgesia. Naloxone is an opioid antagonist,
iv iv iv iv iv iv iv iv iv iv iv iv iv



which reverses the effects of opioids. If it is given, the client may complain of an increase in her pain
iv iv iv iv iv iv iv iv iv iv iv iv iv iv iv iv iv iv iv iv



level. Therefore “decrease in her pain level,” “increase in the amount of itching from the opioid used in
iv iv iv iv iv iv iv iv iv iv iv iv iv iv iv iv iv iv



the epidural,” and “decrease in the amount of itching from the opioid used in the epidural” are incorrect.
iv iv iv iv iv iv iv iv iv iv iv iv iv iv iv iv iv iv




Test-Taking Strategy: To answer this question accurately, you must know that opioid analgesics are the
iv iv iv iv iv iv iv iv iv iv iv iv iv iv



medications used with epidural analgesia to relieve pain. Therefore if naloxone is administered as an
iv iv iv iv iv iv iv iv iv iv iv iv iv iv iv



antidote for an opioid analgesic, the client’s pain will increase. Review the effects of naloxone if this
iv iv iv iv iv iv iv iv iv iv iv iv iv iv iv iv iv



question was difficult.
iv iv iv




PTS: 1
DIF: Level of Cognitive Ability: Understanding
iv iv iv iv



REF: Lehne, R. (2010). Pharmacology for nursing care (7th ed.). St. Louis: Saunders.
iv iv iv iv iv iv iv iv iv iv iv



OBJ:
iv Client Needs: Physiological Integrity iv iv iv



TOP: Content Area: Pharmacology iv iv



MSC: i vIntegrated Process: Nursing Process—Assessment iv iv iv




3. A client experiencing preterm labor at the twenty-ninth week of gestation has been admitted to the
iv iv iv iv iv iv iv iv iv iv iv iv iv iv iv



hospital. The client has a prescription to receive betamethasone (Celestone). The nurse understands that
iv iv iv iv iv iv iv iv iv iv iv iv iv iv



the medication will do which of the following?
iv iv iv iv iv iv iv iv




1. Prevent spontaneous delivery. iv iv




2. Stop the uterine contractions. iv iv iv




3. Promote maturation of the fetal lungs. iv iv iv iv iv




4. Accelerate the growth rate of the fetus. iv iv iv iv iv iv




ANS: i v i v 3

Rationale: Betamethasone (Celestone) is classified as an anti-inflammatory and corticosteroid. It
iv iv iv iv iv iv iv iv iv iv



increases the surfactant level and lung maturity in the fetus, which reduces the incidence of respiratory
iv iv iv iv iv iv iv iv iv iv iv iv iv iv iv iv



distress syndrome. Delivery must be delayed for at least 48 hours after administration of betamethasone
iv iv iv iv iv iv iv iv iv iv iv iv iv iv iv



to allow time for the lungs of the fetus to mature.
iv iv iv iv iv iv iv iv iv iv iv




Test-Taking Strategy: Options that are comparable or alike are not likely to be correct. With this in
iv iv iv iv iv iv iv iv iv iv iv iv iv iv iv iv



mind, eliminate “prevent spontaneous delivery” and “stop the uterine contractions.” Note the strategic
iv iv iv iv iv iv iv iv iv iv iv iv iv



words “twenty-ninth week of gestation.” Specific knowledge about the medication and knowledge of the
iv iv iv iv iv iv iv iv iv iv iv iv iv iv



problems encountered by premature infants will assist in answering this question. Review the action of
iv iv iv iv iv iv iv iv iv iv iv iv iv iv iv



this medication if this question was difficult.
iv iv iv iv iv iv iv




PTS: 1
DIF: Level of Cognitive Ability: Understanding iv iv iv iv



REF: McKinney, E., James, S., Murray, S., & Ashwill, J. (2009). Maternal-child nursing (3rd ed.). St. iv iv iv iv iv iv iv iv iv iv iv iv iv iv



Louis: Saunders.
iv OBJ: Client Needs: Physiological Integrity
iv iv iv iv

, TOP: Content Area: Pharmacology iv iv



MSC: Integrated Process: Nursing Process—Planning
i v iv iv iv




4. A client with preeclampsia is receiving magnesium sulfate. The nurse assesses the client closely for
iv iv iv iv iv iv iv iv iv iv iv iv iv iv



which sign of magnesium toxicity?
iv iv iv iv iv




1. Proteinuria
2. Hyperactive deep tendon reflexes iv iv iv




3. Respiratory rate of 10 breaths/min iv iv iv iv




4. Serum magnesium level of 5 mEq/L iv iv iv iv iv




ANS: i v i v 3

Rationale: Magnesium toxicity is a risk associated with magnesium sulfate therapy. Signs of magnesium
iv iv iv iv iv iv iv iv iv iv iv iv iv



toxicity relate to central nervous system (CNS) depression and include respiratory depression, loss of
iv iv iv iv iv iv iv iv iv iv iv iv iv iv



deep tendon reflexes, and sudden drop in fetal heart rate and/or maternal heart rate and blood pressure.
iv iv iv iv iv iv iv iv iv iv iv iv iv iv iv iv iv



Magnesium is excreted through the kidneys. If renal impairment is present, magnesium toxicity can
iv iv iv iv iv iv iv iv iv iv iv iv iv



develop very quickly. Therapeutic serum levels of magnesium are 4 to 7 mEq/L.
iv iv iv iv iv iv iv iv iv iv iv iv iv




Test-Taking Strategy: To answer this question accurately, you must recall that magnesium sulfate is a
iv iv iv iv iv iv iv iv iv iv iv iv iv iv



CNS depressant. Begin to answer this question by eliminating “proteinuria” and “hyperactive deep
iv iv iv iv iv iv iv iv iv iv iv iv iv



tendon reflexes,” which are signs of preeclampsia. Select between the last two options using medication
iv iv iv iv iv iv iv iv iv iv iv iv iv iv iv



knowledge and recalling that the therapeutic serum levels of magnesium are 4 to 7 mEq/L. Review this
iv iv iv iv iv iv iv iv iv iv iv iv iv iv iv iv iv



medication and the normal magnesium level if this question was difficult.
iv iv iv iv iv iv iv iv iv iv iv




PTS: 1
DIF: Level of Cognitive Ability: Analyzing iv iv iv iv



REF: Lowdermilk, D., Perry, S., & Cashion, K. (2010). Maternity nursing (8th ed.). St. Louis: Mosby. iv iv iv iv iv iv iv iv iv iv iv iv iv iv



OBJ: Client Needs: Physiological Integrity iv iv iv



TOP: Content Area: Pharmacology
iv iv iv



MSC: Integrated Process: Nursing Process—Assessment
i v iv iv iv




5. A pregnant client who has human immunodeficiency virus (HIV) infection is being seen in the antenatal
iv iv iv iv iv iv iv iv iv iv iv iv iv iv iv



clinic. The nurse recalls that zidovudine (AZT) therapy will be initiated when the fetus has reached how
iv iv iv iv iv iv iv iv iv iv iv iv iv iv iv iv iv



many weeks of gestation?
iv iv iv iv




1. 4
2. 14
3. 24
4. 34

ANS: i v i v 2

Rationale: The pregnant women with HIV infection will be prescribed oral AZT in the fourteenth week of
iv iv iv iv iv iv iv iv iv iv iv iv iv iv iv iv



gestation. Before this time, the fetus is at risk because of the teratogenic effects of the medication. In
iv iv iv iv iv iv iv iv iv iv iv iv iv iv iv iv iv iv

, addition, a bolus of AZT is given intravenously during labor, and the neonate is treated for six weeks after
iv iv iv iv iv iv iv iv iv iv iv iv iv iv iv iv iv iv



birth.
iv




Test-Taking Strategy: To answer this question accurately, you must be familiar with pharmacological
iv iv iv iv iv iv iv iv iv iv iv iv



therapy for clients who are HIV-positive. Knowing that the fetus is most vulnerable to the effects of
iv iv iv iv iv iv iv iv iv iv iv iv iv iv iv iv iv



medications and chemicals during the period of organogenesis will assist you in selecting the correct
iv iv iv iv iv iv iv iv iv iv iv iv iv iv iv



answer. Review treatment measures for the pregnant client with HIV infection if you had difficulty with
iv iv iv iv iv iv iv iv iv iv iv iv iv iv iv iv



this question.
iv iv




PTS: 1
DIF: Level of Cognitive Ability: Understanding iv iv iv iv



REF: Lehne, R. (2010). Pharmacology for nursing care (7th ed.). St. Louis: Saunders.
iv iv iv iv iv iv iv iv iv iv iv



OBJ:
iv Client Needs: Physiological Integrity iv iv iv



TOP: Content Area: Pharmacology iv iv



MSC: i Integrated Process: Nursing Process—Planning
v iv iv iv




6. The nurse has a routine prescription to instill erythromycin ointment (Ilotycin) into the eyes of a
iv iv iv iv iv iv iv iv iv iv iv iv iv iv iv



newborn. The nurse plans to explain to the parents that the purpose of the medication is to:
iv iv iv iv iv iv iv iv iv iv iv iv iv iv iv iv iv




1. Help the newborn to see more clearly.
iv iv iv iv iv iv




2. Guard against infection acquired during intrauterine life.
iv iv iv iv iv iv




3. Ensure the sterility of the conjunctiva in the newborn.
iv iv iv iv iv iv iv iv




4. Protect the newborn from contracting an eye infection during birth.
iv iv iv iv iv iv iv iv iv




ANS: i v i v 4

Rationale: The use of eye prophylaxis with an agent such as erythromycin protects the newborn from
iv iv iv iv iv iv iv iv iv iv iv iv iv iv iv



contracting a conjunctival infection during birth. This infection, called ophthalmia neonatorum, results
iv iv iv iv iv iv iv iv iv iv iv iv



from maternal vaginal infection with chlamydia or gonorrhea. This prophylaxis is mandatory in the
iv iv iv iv iv iv iv iv iv iv iv iv iv iv



United States. “Help the newborn to see more clearly,” “guard against infection acquired during
iv iv iv iv iv iv iv iv iv iv iv iv iv iv



intrauterine life,” and “ensure the sterility of the conjunctiva in the newborn” do not describe the
iv iv iv iv iv iv iv iv iv iv iv iv iv iv iv iv



purposes of this medication.
iv iv iv iv




Test-Taking Strategy: Familiarity with the purpose of this medication is needed to answer this question.
iv iv iv iv iv iv iv iv iv iv iv iv iv iv



Remember erythromycin protects the newborn from contracting a conjunctival infection during birth.
iv iv iv iv iv iv iv iv iv iv iv iv



Review the purpose of this medication if you had difficulty with this question.
iv iv iv iv iv iv iv iv iv iv iv iv




PTS: 1
DIF: Level of Cognitive Ability: Applying iv iv iv iv



REF: Lehne, R. (2010). Pharmacology for nursing care (7th ed.). St. Louis: Saunders.
iv iv iv iv iv iv iv iv iv iv iv



OBJ:
iv Client Needs: Health Promotion and Maintenance iv iv iv iv iv



TOP: Content Area: Pharmacology iv iv



MSC: i vIntegrated Process: Teaching and Learning iv iv iv iv




7. The nurse has a routine prescription to administer an injection of phytonadione (vitamin K) to the
iv iv iv iv iv iv iv iv iv iv iv iv iv iv iv



newborn. Before giving the medication, the nurse explains to the client that this medication will:
iv iv iv iv iv iv iv iv iv iv iv iv iv iv iv
$18.99
Accede al documento completo:

100% de satisfacción garantizada
Inmediatamente disponible después del pago
Tanto en línea como en PDF
No estas atado a nada

Conoce al vendedor

Seller avatar
Los indicadores de reputación están sujetos a la cantidad de artículos vendidos por una tarifa y las reseñas que ha recibido por esos documentos. Hay tres niveles: Bronce, Plata y Oro. Cuanto mayor reputación, más podrás confiar en la calidad del trabajo del vendedor.
WickyAplus Oxford College Of Emory University
Seguir Necesitas iniciar sesión para seguir a otros usuarios o asignaturas
Vendido
111
Miembro desde
1 año
Número de seguidores
8
Documentos
1113
Última venta
1 día hace
Kings venue

Here, you will find everything you need in KINGS VENUE EXAM TESTBANKS. Contact us, to fetch it for you in minutes if we do not have it in this shop.BUY WITHOUT DOUBT!!!!!!!!Always leave a review after purchasing any document so as to make sure our customer

4.8

174 reseñas

5
160
4
2
3
6
2
5
1
1

Recientemente visto por ti

Por qué los estudiantes eligen Stuvia

Creado por compañeros estudiantes, verificado por reseñas

Calidad en la que puedes confiar: escrito por estudiantes que aprobaron y evaluado por otros que han usado estos resúmenes.

¿No estás satisfecho? Elige otro documento

¡No te preocupes! Puedes elegir directamente otro documento que se ajuste mejor a lo que buscas.

Paga como quieras, empieza a estudiar al instante

Sin suscripción, sin compromisos. Paga como estés acostumbrado con tarjeta de crédito y descarga tu documento PDF inmediatamente.

Student with book image

“Comprado, descargado y aprobado. Así de fácil puede ser.”

Alisha Student

Preguntas frecuentes