100% de satisfacción garantizada Inmediatamente disponible después del pago Tanto en línea como en PDF No estas atado a nada 4,6 TrustPilot
logo-home
Resumen

VOLLEDIGE Samenvatting Hoofdstuk 6: Pyruvaat Dehydrogenase Complex (Biochemie, 1ste BMW)

Puntuación
-
Vendido
-
Páginas
5
Subido en
13-07-2025
Escrito en
2024/2025

Uitgebreide, Volledige Samenvatting van Hoofdstuk 6 (Werking Pyruvaat Dehydrogenase Complex) van het vak Biochemie en Moleculaire Biologie, in het 1ste jaar Biomedische wetenschappen. Ik heb zelf alles geleerd uit deze samenvatting en was geslaagd in de eerste zit.

Mostrar más Leer menos
Institución
Grado









Ups! No podemos cargar tu documento ahora. Inténtalo de nuevo o contacta con soporte.

Escuela, estudio y materia

Institución
Estudio
Grado

Información del documento

Subido en
13 de julio de 2025
Número de páginas
5
Escrito en
2024/2025
Tipo
Resumen

Temas

Vista previa del contenido

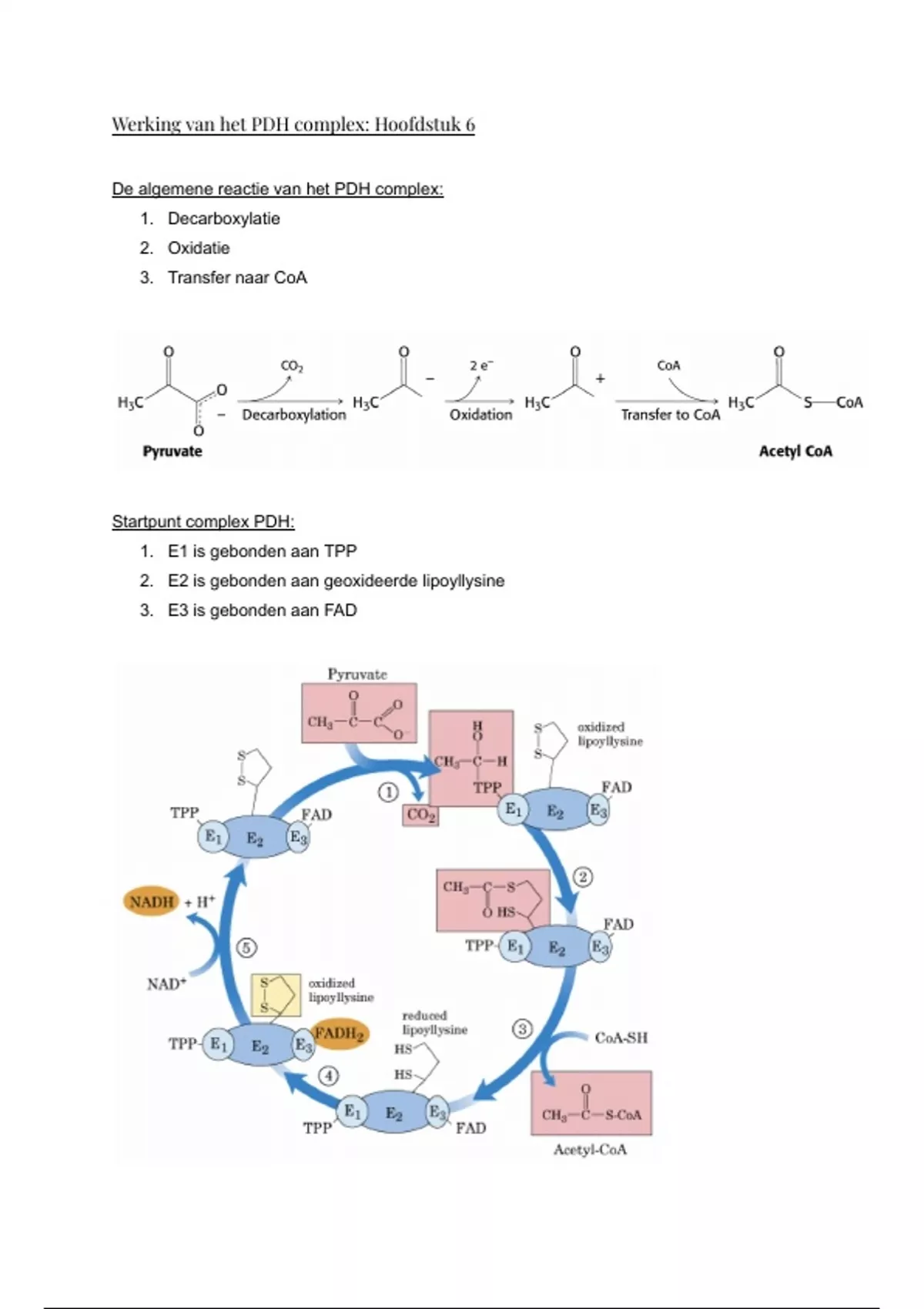
Werking van het PDH complex: Hoofdstuk 6


De algemene reactie van het PDH complex:
1. Decarboxylatie
2. Oxidatie
3. Transfer naar CoA




Startpunt complex PDH:
1. E1 is gebonden aan TPP
2. E2 is gebonden aan geoxideerde lipoyllysine
3. E3 is gebonden aan FAD

, Eerste stap Decarboxylatie van pyruvaat door het E1 enzym

TPP wordt gebruikt

Enzym: Pyruvate decarboxylase



Vorming van een actieve TPP:




Het carbanion bindt makkelijk aan de carboxylgroep van pyruvaat (Deze

wordt afgesplitst)



Reactie:




Tweede stap De twee reacties in de stap:

- Transfer van de twee elektronen uit de hydroxyl methylgroep naar

de lipolylsylgroep van E2



- Transfer van de acetylgroep naar de lipolylsylgroep van E2


Enzym: Dihydrolipoyl transacetylase E1


De Hydroxyethyl die vastgemaakt is aan TPP: wordt geoxideerd.
$5.48
Accede al documento completo:

100% de satisfacción garantizada
Inmediatamente disponible después del pago
Tanto en línea como en PDF
No estas atado a nada


Documento también disponible en un lote

Conoce al vendedor

Seller avatar
Los indicadores de reputación están sujetos a la cantidad de artículos vendidos por una tarifa y las reseñas que ha recibido por esos documentos. Hay tres niveles: Bronce, Plata y Oro. Cuanto mayor reputación, más podrás confiar en la calidad del trabajo del vendedor.
Hannedg Katholieke Universiteit Leuven
Seguir Necesitas iniciar sesión para seguir a otros usuarios o asignaturas
Vendido
139
Miembro desde
1 año
Número de seguidores
3
Documentos
76
Última venta
23 horas hace

4.0

29 reseñas

5
8
4
14
3
6
2
1
1
0

Recientemente visto por ti

Por qué los estudiantes eligen Stuvia

Creado por compañeros estudiantes, verificado por reseñas

Calidad en la que puedes confiar: escrito por estudiantes que aprobaron y evaluado por otros que han usado estos resúmenes.

¿No estás satisfecho? Elige otro documento

¡No te preocupes! Puedes elegir directamente otro documento que se ajuste mejor a lo que buscas.

Paga como quieras, empieza a estudiar al instante

Sin suscripción, sin compromisos. Paga como estés acostumbrado con tarjeta de crédito y descarga tu documento PDF inmediatamente.

Student with book image

“Comprado, descargado y aprobado. Así de fácil puede ser.”

Alisha Student

Preguntas frecuentes