100% de satisfacción garantizada Inmediatamente disponible después del pago Tanto en línea como en PDF No estas atado a nada 4.2 TrustPilot
logo-home
Examen

Test Bank For Fundamentals of Nursing 11th Edition Potter Perry Chapter 1-50 |Newest Version with Complete 100% Answers

Puntuación
-
Vendido
-
Páginas
587
Grado
A+
Subido en
17-06-2025
Escrito en
2024/2025

Test Bank For Fundamentals of Nursing 11th Edition Potter Perry Chapter 1-50 |Newest Version with Complete 100% Answers Test Bank For Fundamentals of Nursing 11th Edition Potter Perry Chapter 1-50 |Newest Version with Complete 100% Answers Test Bank For Fundamentals of Nursing 11th Edition Potter Perry Chapter 1-50 |Newest Version with Complete 100% Answers

Mostrar más Leer menos
Institución
Fundamentals Of Nursing 11th Edition Potter Perry
Grado
Fundamentals of Nursing 11th Edition Potter Perry











Ups! No podemos cargar tu documento ahora. Inténtalo de nuevo o contacta con soporte.

Libro relacionado

Escuela, estudio y materia

Institución
Fundamentals of Nursing 11th Edition Potter Perry
Grado
Fundamentals of Nursing 11th Edition Potter Perry

Información del documento

Subido en
17 de junio de 2025
Número de páginas
587
Escrito en
2024/2025
Tipo
Examen
Contiene
Preguntas y respuestas

Temas

Vista previa del contenido

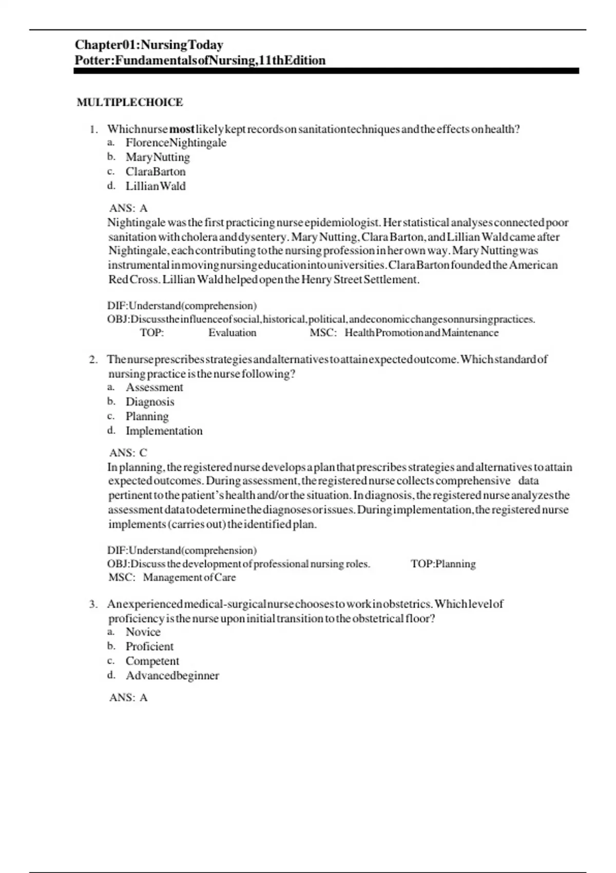
Chapter01:Nursing Today
y
k ky ky




Potter:Fundamentals ofNursing,11thEdition
y
k ky y
k y
k y
k




MULTIPLECHOICE ky




1. Which nurse most likely kept records on sanitation techniques and the effects on health?
ky ky ky ky ky ky ky ky ky ky ky ky ky




a. FlorenceNightingale ky




b. Mary Nutting ky




c. ClaraBarton ky




d. Lillian Wald ky




ANS: A k y




Nightingale was the first practicing nurse epidemiologist. Her statistical analyses connected poor
ky ky ky ky ky ky ky ky ky ky ky




sanitation with cholera and dysentery. Mary Nutting, Clara Barton, and Lillian Wald came after
ky ky ky ky ky ky ky ky ky ky ky ky ky ky




Nightingale, each contributing to the nursing profession in her own way. Mary Nutting was
ky ky ky ky ky ky ky ky ky ky ky ky ky ky




instrumental in moving nursing education into universities. Clara Barton founded the American
ky ky ky ky ky ky ky ky ky ky ky ky




Red Cross. Lillian Wald helped open the Henry Street Settlement.
ky ky ky ky ky ky ky ky ky ky




DIF:Understand(comprehension) ky




OBJ:Discussthe influenceof social, historical, political, and economic changes onnursing practices.
ky ky ky ky ky ky ky ky ky ky ky ky




TOP: Evaluation MSC: Health Promotion and Maintenance k y ky ky ky




2. The nurse prescribes strategies and alternatives to attain expected outcome. Which standard of
ky ky ky ky ky ky ky ky ky ky ky ky




ky nursing practice is the nurse following?
ky ky ky ky ky




a. Assessment
b. Diagnosis
c. Planning
d. Implementation
ANS: C k y




In planning, the registered nurse develops a plan that prescribes strategies and alternatives to attain
ky ky ky ky ky ky ky ky ky ky ky ky ky ky




expected outcomes. During assessment, the registered nurse collects comprehensive data
ky ky ky ky ky ky ky ky ky k y




pertinent to the patient’s health and/or the situation. In diagnosis, the registered nurse analyzes the
ky ky ky ky ky ky ky ky ky ky ky ky ky ky ky




assessment data to determine the diagnoses or issues. During implementation, the registered nurse
ky ky ky ky ky ky ky ky ky ky ky ky ky




implements (carries out) the identified plan.
ky ky ky ky ky ky




DIF:Understand(comprehension) ky




OBJ:Discuss the development of professional nursing roles. ky ky ky ky ky ky TOP:Planning ky




MSC: Management of Care
ky k y ky ky




3. An experienced medical-surgical nurse chooses to work in obstetrics. Which level of
ky ky ky ky ky ky ky ky ky ky ky




ky proficiency is the nurse upon initial transition to the obstetrical floor?
ky ky ky ky ky ky ky ky ky ky




a. Novice
b. Proficient
c. Competent
d. Advancedbeginner ky




ANS: A k y

, A beginning nursing student or any nurse entering a situation in which there is no previous level of
ky ky ky ky ky ky ky ky ky ky ky ky ky ky ky ky ky




experience (e.g., an experienced operating room nurse chooses to now practice in home health) is
ky ky ky ky ky ky ky ky ky ky ky ky ky ky ky




an example of a novice nurse. A proficient nurse perceives a patient’s clinical situation as a whole, is
ky ky ky ky ky ky ky ky ky ky ky ky ky ky ky ky ky ky




able to assess an entire situation, and can readily transfer knowledge gained from multiple
ky ky ky ky ky ky ky ky ky ky ky ky ky ky




previous experiences to a situation. A competent nurse understands the organization and specific
ky ky ky ky ky ky ky ky ky ky ky ky ky




care required by the type of patients (e.g., surgical, oncology, or orthopedic patients). This nurse is
ky ky ky ky ky ky ky ky ky ky ky ky ky ky ky ky




a competent practitioner who is able to anticipate nursing care and establish long-range goals. A
ky ky ky ky ky ky ky ky ky ky ky ky ky ky ky




nurse who has had some level of experience with the situation is an advanced beginner. This
ky ky ky ky ky ky ky ky ky ky ky ky ky ky ky ky




experience may only be observational in nature, but the nurse is able to identify meaningful aspects
ky ky ky ky ky ky ky ky ky ky ky ky ky ky ky ky




or principles of nursing care.
ky ky ky ky ky




DIF:Apply (application) ky




OBJ:Discuss the development of professional nursing roles. ky ky ky ky ky ky TOP:Evaluation ky




MSC: Management of Care
ky k y ky ky




4. A nurse assesses a patient’s fluid status and decides that the patient needs to drink more fluids. The
ky ky ky ky ky ky ky ky ky ky ky ky ky ky ky ky ky




ky nurse then encourages the patient to drink more fluids. Which concept is the nurse demonstrating?
ky ky ky ky ky ky ky ky ky ky ky ky ky ky




a. Licensure
b. Autonomy
c. Certification
d. Accountability
ANS: B k y




Autonomy is an essential element of professional nursing that involves the initiation of independent
ky ky ky ky ky ky ky ky ky ky ky ky ky




nursing interventions without medical orders. To obtain licensure in the United States, the RN
ky ky ky ky ky ky ky ky ky ky ky ky ky ky




candidate must pass the NCLEX-RN. Beyond the NCLEX-RN, the nurse may choose to work
ky ky ky ky ky ky ky ky ky ky ky ky ky ky




toward certification in a specific area of nursing practice. Accountability means that you are
ky ky ky ky ky ky ky ky ky ky ky ky ky ky




responsible, professionally and legally, for the type and quality of nursing care provided.
ky ky ky ky ky ky ky ky ky ky ky ky ky




DIF:Apply (application) ky




OBJ:Discuss the roles and career opportunities for nurses. ky ky ky ky ky ky ky TOP:Implementation ky




MSC: Management of Care
ky k y ky ky




5. A nurse prepares the budget and policies for an intensive care unit. Which role is the nurse
ky ky ky ky ky ky ky ky ky ky ky ky ky ky ky ky




implementing?
ky




a. Educator
b. Manager
c. Advocate
d. Caregiver

ANS: B k y

, A manager coordinates the activities of members of the nursing staff in delivering nursing care and
ky ky ky ky ky ky ky ky ky ky ky ky ky ky ky




has personnel, policy, and budgetary responsibility for a specific nursing unit or facility. As an
ky ky ky ky ky ky ky ky ky ky ky ky ky ky ky




educator, you explain concepts and facts about health, describe the reason for routine care
ky ky ky ky ky ky ky ky ky ky ky ky ky ky




activities, demonstrate procedures such as self-care activities, reinforce learning or patient
ky ky ky ky ky ky ky ky ky ky ky




behavior, and evaluate the patient’s progress in learning. As a patient advocate, you protect your
ky ky ky ky ky ky ky ky ky ky ky ky ky ky ky




patient’s human and legal rights and provide assistance in asserting these rights if the need arises. As
ky ky ky ky ky ky ky ky ky ky ky ky ky ky ky ky ky




a caregiver, you help patients maintain and regain health, manage disease and symptoms, and
ky ky ky ky ky ky ky ky ky ky ky ky ky ky




attain a maximal level function and independence through the healing process.
ky ky ky ky ky ky ky ky ky ky ky




DIF:Apply (application) ky




OBJ:Discuss the roles and career opportunities for nurses. ky ky ky ky ky ky ky TOP:Implementation ky




MSC: Management of Care
ky k y ky ky




6. The nurse has been working in the clinical setting for several years as an advanced practice nurse.
ky ky ky ky ky ky ky ky ky ky ky ky ky ky ky ky




However, the nurse has a strong desire to pursue research and theory development. To fulfill this
ky ky ky ky ky ky ky ky ky ky ky ky ky ky ky ky




desire, which program should the nurse attend?
ky ky ky ky ky ky ky




a. Doctor of Nursing Science degree (DNSc) ky ky ky ky ky




b. Doctor of Philosophy degree (PhD) ky ky ky ky




c. Doctor of Nursing Practice degree (DNP) ky ky ky ky ky




d. Doctor in the Science of Nursing degree (DSN) ky ky ky ky ky ky ky




ANS: B k y




Some doctoral programs prepare nurses for more rigorous research and theory development and
ky ky ky ky ky ky ky ky ky ky ky ky




award the research-oriented Doctor of Philosophy (PhD) in nursing. Professional doctoral
ky ky ky ky ky ky ky ky ky ky ky




programs in nursing (DSN or DNSc) prepare graduates to apply research findings to clinical
ky ky ky ky ky ky ky ky ky ky ky ky ky ky




nursing. The DNP is a practice doctorate that prepares advanced practice nurses such as nurse
ky ky ky ky ky ky ky ky ky ky ky ky ky ky ky




practitioners.
ky




DIF:Understand(comprehension) ky




OBJ:Compare and contrast the educational programs available for professional registered nurse (RN) ky ky ky ky ky ky ky ky ky ky ky




education.
ky TOP: Teaching/Learning MSC: Management of Care k y k y ky ky




7. A nurse attends a workshop on current nursing issues provided by the American Nurses
ky ky ky ky ky ky ky ky ky ky ky ky ky




Association. Which type of education did the nurse receive?
ky ky ky ky ky ky ky ky ky




a. Graduateeducation ky




b. Inserviceeducation ky




c. Continuingeducation ky




d. Registered nurse education ky ky




ANS: C k y




Continuing education involves formal, organized educational programs offered by universities, ky ky ky ky ky ky ky ky ky




hospitals, state nurses associations, professional nursing organizations, and educational and health
ky ky ky ky ky ky ky ky ky ky ky




care institutions. After obtaining a baccalaureate degree in nursing, you can pursue graduate
ky ky ky ky ky ky ky ky ky ky ky ky ky




education leading to a master’s or doctoral degree in any number of graduate fields, including
ky ky ky ky ky ky ky ky ky ky ky ky ky ky ky




nursing. Inservice education programs are instruction or training provided by a health care facility
ky ky ky ky ky ky ky ky ky ky ky ky ky ky




or institution. Registered nurse education is the education preparation for an individual intending
ky ky ky ky ky ky ky ky ky ky ky ky ky




to be an RN.
ky ky ky ky




DIF:Apply (application) ky




OBJ:Compareandcontrast theeducational programs available for professional registered nurse (RN) ky ky ky ky ky ky ky ky ky ky ky

, education. TOP: k y Teaching/Learning MSC: Management of Care k y ky ky




8. A nurse identifies gaps between local and best practices. Which Quality and Safety Education for
ky ky ky ky ky ky ky ky ky ky ky ky ky ky




ky Nurses (QSEN) competency is the nurse demonstrating?
ky ky ky ky ky ky




a. Safety
b. Patient-centeredcare ky




c. Qualityimprovement ky




d. Teamwork and collaboration ky ky




ANS: C k y




Quality improvement identifies gaps between local and best practices. Safety minimizes risk of
ky ky ky ky ky ky ky ky ky ky ky ky




harm to patients and providers through both system effectiveness and individual performance.
ky ky ky ky ky ky ky ky ky ky ky ky




Patient-centered care recognizes the patient or designee as the source of control and full partner in
ky ky ky ky ky ky ky ky ky ky ky ky ky ky ky ky




providing compassionate and coordinated care based on respect for patient’s preferences, values,
ky ky ky ky ky ky ky ky ky ky ky ky




and needs. Teamwork and collaboration allows effective functioning within nursing and
ky ky ky ky ky ky ky ky ky ky ky




interprofessional teams, fostering open communication, mutual respect, and shared decision
ky ky ky ky ky ky ky ky ky ky




making.
ky




DIF:Understand(comprehension) ky




OBJ:Discuss the roles and career opportunities for nurses. ky ky ky ky ky ky ky TOP:Evaluation ky




MSC: Management of Care
ky k y ky ky




9. A nurse has compassion fatigue. What is the nurse experiencing?
ky ky ky ky ky ky ky ky ky




a. Lateralviolence and intrapersonal conflict ky ky ky ky




b. Burnout and secondarytraumatic stress ky ky ky ky




c. Short-term grief and single stressor ky ky ky ky




d. Physical and mental exhaustion ky ky ky




ANS: B k y




Compassion fatigue is a term used to describe a state of burnout and secondary traumatic stress. ky ky ky ky ky ky ky ky ky ky ky ky ky ky ky




Compassion fatigue may contribute to what is described as lateral violence
ky ky ky ky ky ky ky ky ky ky ky




(nurse-nurse interactions, not intrapersonal). Frequent, intense, or prolonged exposure to grief and ky ky ky ky ky ky ky ky ky ky ky




loss places nurses at risk for developing compassion fatigue. Stressors, not a single stressor,
ky ky ky ky ky ky ky ky ky ky ky ky ky ky




contribute to compassion fatigue. Physical and mental exhaustion describes burnout only.
ky ky ky ky ky ky ky ky ky ky ky




DIF:Understand(comprehension) ky




OBJ:Discusstheinfluenceof social, historical, political, and economic changes onnursing practices.
ky ky ky ky ky ky ky ky ky ky ky ky




TOP: Assessment MSC: Health Promotion and Maintenance k y ky ky ky




10. A patient is scheduled for surgery. When getting ready to obtain the informed consent, the patient
ky ky ky ky ky ky ky ky ky ky ky ky ky ky ky




tellsthe nurse, ―I have no idea what is goingto happen. Icouldn’t ask anyquestions.‖ The nurse does
ky ky ky ky ky ky ky ky ky ky ky ky ky ky ky ky ky ky ky ky




not allow the patient to sign the permit and notifies the health care provider of the situation. Which
ky ky ky ky ky ky ky ky ky ky ky ky ky ky ky ky ky ky




role is the nurse displaying?
ky ky ky ky ky




a. Manager
b. Patienteducator ky




c. Patientadvocate ky




d. Clinical nurse specialist ky ky




ANS: C k y
$23.99
Accede al documento completo:

100% de satisfacción garantizada
Inmediatamente disponible después del pago
Tanto en línea como en PDF
No estas atado a nada


Documento también disponible en un lote

Conoce al vendedor

Seller avatar
Los indicadores de reputación están sujetos a la cantidad de artículos vendidos por una tarifa y las reseñas que ha recibido por esos documentos. Hay tres niveles: Bronce, Plata y Oro. Cuanto mayor reputación, más podrás confiar en la calidad del trabajo del vendedor.
Nursingtutorsection Harvard School
Seguir Necesitas iniciar sesión para seguir a otros usuarios o asignaturas
Vendido
20
Miembro desde
6 meses
Número de seguidores
3
Documentos
831
Última venta
1 mes hace

3.2

5 reseñas

5
0
4
3
3
1
2
0
1
1

Recientemente visto por ti

Por qué los estudiantes eligen Stuvia

Creado por compañeros estudiantes, verificado por reseñas

Calidad en la que puedes confiar: escrito por estudiantes que aprobaron y evaluado por otros que han usado estos resúmenes.

¿No estás satisfecho? Elige otro documento

¡No te preocupes! Puedes elegir directamente otro documento que se ajuste mejor a lo que buscas.

Paga como quieras, empieza a estudiar al instante

Sin suscripción, sin compromisos. Paga como estés acostumbrado con tarjeta de crédito y descarga tu documento PDF inmediatamente.

Student with book image

“Comprado, descargado y aprobado. Así de fácil puede ser.”

Alisha Student

Preguntas frecuentes