100% de satisfacción garantizada Inmediatamente disponible después del pago Tanto en línea como en PDF No estas atado a nada 4,6 TrustPilot
logo-home
Resumen

Samenvatting Sapiens 5 - H3, 4 & 5

Puntuación
-
Vendido
-
Páginas
21
Subido en
09-06-2025
Escrito en
2024/2025

Sapiens 5 - H3, 4 & 5

Institución
Grado










Ups! No podemos cargar tu documento ahora. Inténtalo de nuevo o contacta con soporte.

Escuela, estudio y materia

Institución
Escuela secundaria
Estudio
3e graad
Grado
Año escolar
5

Información del documento

Subido en
9 de junio de 2025
Número de páginas
21
Escrito en
2024/2025
Tipo
Resumen

Temas

Vista previa del contenido

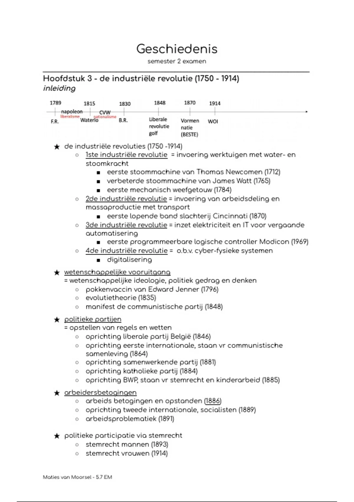
Geschiedenis
semester 2 examen
_______________________________________________________________________________________
Hoofdstuk 3 - de industriële revolutie (1750 - 1914)
inleiding




★​ de industriële revoluties (1750 -1914)
○​ 1ste industriële revolutie = invoering werktuigen met water- en
stoomkracht
■​ eerste stoommachine van Thomas Newcomen (1712)
■​ verbeterde stoommachine van James Watt (1765)
■​ eerste mechanisch weefgetouw (1784)
○​ 2de industriële revolutie = invoering van arbeidsdeling en
massaproductie met transport
■​ eerste lopende band slachterij Cincinnati (1870)
○​ 3de industriële revolutie = inzet elektriciteit en IT voor vergaande
automatisering
■​ eerste programmeerbare logische controller Modicon (1969)
○​ 4de industriële revolutie = o.b.v. cyber-fysieke systemen
■​ digitalisering
★​ wetenschappelijke vooruitgang
= wetenschappelijke ideologie, politiek gedrag en denken
○​ pokkenvaccin van Edward Jenner (1796)
○​ evolutietheorie (1835)
○​ manifest de communistische partij (1848)
★​ politieke partijen
= opstellen van regels en wetten
○​ oprichting liberale partij België (1846)
○​ oprichting eerste internationale, staan vr communistische
samenleving (1864)
○​ oprichting samenwerkende partij (1881)
○​ oprichting katholieke partij (1884)
○​ oprichting BWP, staan vr stemrecht en kinderarbeid (1885)
★​ arbeidersbetogingen
○​ arbeids betogingen en opstanden (1886)
○​ oprichting tweede internationale, socialisten (1889)
○​ arbeidsproblematiek (1891)

★​ politieke participatie via stemrecht
○​ stemrecht mannen (1893)
○​ stemrecht vrouwen (1914)


Maties van Moorsel - 5.7 EM

,HSV 1 - Welke energiebronnen hebben geleid tot de transportrevolutie
in de moderne tijd
★​ ongekende vooruitgang in de samenleving
↳ spierkracht vervangen door nieuwe energiebronnen (= innovatie)
★​ menselijke behoefte
○​ primaire behoefte
​ ​ bv. voedsel, hygiene
○​ secundaire behoefte
bv. kleren
★​ Wat heeft de textielindustrie nodig?
○​ energie (bronnen)
■​ mens (bv. kracht van de mens)
■​ dier (bv. trekpaarden)
■​ natuur (bv. dammen)
​ ​ => oncontroleerbare bronnen
■​ hout (natuurlijke grondstof)
●​ brandstof
●​ constructiemateriaal
●​ probleem
○​ ontbossing
○​ schaars
○​ duur
​ ​ => controleerbare bron
​ ​ => energiecrisis (moeten controleerbare atlernatieven zoeken)
★​ Welke alternatieven zijn er?
○​ hout (brandstof)
■​ steenkool
○​ hout (constructiemateriaal)
■​ ijzererts
★​ Welke problemen kennen we bij de ontginning van bv ijzererts?
○​ grondwater
○​ beperkte zuurstof
○​ diep in de grond
○​ gevaarlijke gassen (opsporingsmethode: vogels die kapot vallen)
○​ pompsystemen
★​ Welke uitvindingen waren belangrijk in de middeleeuwen?
○​ molen pompt water uit de mijn (pre-industriële fase)
■​ water = natuurlijk & oncontroleerbaar
○​ newcomenpomp (industriële fase)
■​ controleerbaar
○​ stoommachine Watt II (industriële fase)
■​ controleerbaar
■​ innovatie




Maties van Moorsel - 5.7 EM

, ★​ Welke energiebronnen leiden tot vernieuwingen op vlak van transport?
○​ stoommachine
■​ stoomboot
■​ stoomtrein
○​ steenkool > houtskool
■​ brandstof treinen
○​ aardgas
■​ brandstof vliegtuigen
○​ commerciële olieboring
■​ brandstof bussen (duurzamer)
○​ elektriciteit voor commercieel gebruik
■​ brandstof elektrische auto’s

★​ handelskapitalisme
○​ pre industriële situatie (vrouwen werken, wintermaanden)
■​ handenarbeid
■​ thuis
■​ bijberoep (hoofdberoep: boer)
​ ​ = agrarische samenleving/ pre industriële samenleving
○​ winst halen uit handelskapitalisme
■​ koopt grondstof (bv. katoen)
■​ geeft aan derden (bv. boeren)
■​ betaalt stukloon (= ondernemer)
■​ maakt iets en verkoopt dat op de markt (= koopman)

★​ industrieel kapitalisme
○​ baas, rijk persoon (= kapitalist)
○​ kapitalist investeert (= kapitaal)
○​ bouwt fabriek (= productiemiddelen)
○​ neemt werknemers aan (= arbeiders)
○​ kapitalist neemt alles op zich (= winst
verschaffen)
​ => bijberoep → hoofdberoep
​ => rendement/ waarde stijgt
​ => creativiteit zorgt vr een meerwaarde

★​ verbeterde stoommachine Watt
○​ verving huisnijverheid door fabrieksarbeid
○​ transportrevolutie (bv. stoomtrein)
■​ spoornet evolueerde sterk tussen 1845 - 1984
■​ 1914 = belangrijk kanteljaar (oorlog)
■​ treinen werden stilaan vervangen door auto’s

★​ afzetmarkt (import - export)
○​ grondstoffen nodig (bv. katoen uit verre landen)
○​ eindproduct verkopen (bv. t-shirt in diverse landen, maritiem)




Maties van Moorsel - 5.7 EM
$7.16
Accede al documento completo:

100% de satisfacción garantizada
Inmediatamente disponible después del pago
Tanto en línea como en PDF
No estas atado a nada

Conoce al vendedor
Seller avatar
matiesvanmoorsel

Conoce al vendedor

Seller avatar
matiesvanmoorsel
Seguir Necesitas iniciar sesión para seguir a otros usuarios o asignaturas
Vendido
0
Miembro desde
1 año
Número de seguidores
0
Documentos
4
Última venta
-

0.0

0 reseñas

5
0
4
0
3
0
2
0
1
0

Por qué los estudiantes eligen Stuvia

Creado por compañeros estudiantes, verificado por reseñas

Calidad en la que puedes confiar: escrito por estudiantes que aprobaron y evaluado por otros que han usado estos resúmenes.

¿No estás satisfecho? Elige otro documento

¡No te preocupes! Puedes elegir directamente otro documento que se ajuste mejor a lo que buscas.

Paga como quieras, empieza a estudiar al instante

Sin suscripción, sin compromisos. Paga como estés acostumbrado con tarjeta de crédito y descarga tu documento PDF inmediatamente.

Student with book image

“Comprado, descargado y aprobado. Así de fácil puede ser.”

Alisha Student

Preguntas frecuentes