100% de satisfacción garantizada Inmediatamente disponible después del pago Tanto en línea como en PDF No estas atado a nada 4,6 TrustPilot
logo-home
Examen

Test Bank for Basics of Occupational Safety 3rd Edition by David Goetsch, All Chapters

Puntuación
-
Vendido
-
Páginas
61
Grado
A+
Subido en
15-05-2025
Escrito en
2024/2025

Test Bank for Basics of Occupational Safety 3rd Edition by David Goetsch, All Chapters

Institución
Basics Of Occupational Safety, 3rd Edition
Grado
Basics of Occupational Safety, 3rd Edition











Ups! No podemos cargar tu documento ahora. Inténtalo de nuevo o contacta con soporte.

Libro relacionado

Escuela, estudio y materia

Institución
Basics of Occupational Safety, 3rd Edition
Grado
Basics of Occupational Safety, 3rd Edition

Información del documento

Subido en
15 de mayo de 2025
Número de páginas
61
Escrito en
2024/2025
Tipo
Examen
Contiene
Preguntas y respuestas

Temas

Vista previa del contenido

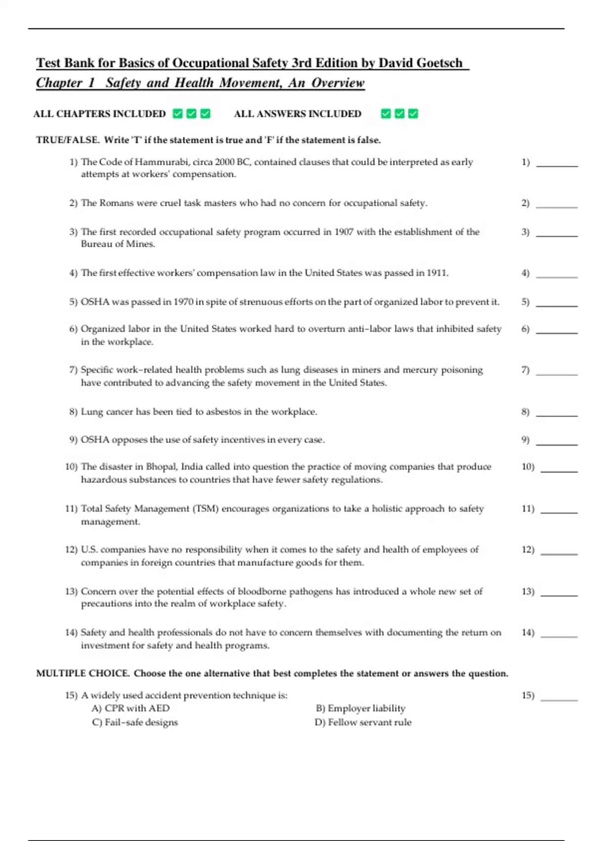
Test Bank for Basics of OccupationalJHGFDSA
Safety 3rd Edition by David Goetsch
Chapter 1 Safety and Health Movement, An Overview

ALL CHAPTERS INCLUDED ALL ANSWERS INCLUDED

TRUE/FALSE. Write 'T' if the statement is true and 'F' if the statement is false.

1) The Code of Hammurabi, circa 2000 BC, contained clauses that could be interpreted as early 1)
attempts at workers' compensation.


2) The Romans were cruel task masters who had no concern for occupational safety. 2)


3) The first recorded occupational safety program occurred in 1907 with the establishment of the 3)
Bureau of Mines.
ST
4) The first effective workers' compensation law in the United States was passed in 1911. 4)


5) OSHA was passed in 1970 in spite of strenuous efforts on the part of organized labor to prevent it. 5)

6) Organized labor in the United States worked hard to overturn anti-labor laws that inhibited safety 6)
U
in the workplace.


7) Specific work-related health problems such as lung diseases in miners and mercury poisoning 7)
D
have contributed to advancing the safety movement in the United States.

8) Lung cancer has been tied to asbestos in the workplace. 8)
YL
9) OSHA opposes the use of safety incentives in every case. 9)

10) The disaster in Bhopal, India called into question the practice of moving companies that produce 10)
hazardous substances to countries that have fewer safety regulations.
AB
11) Total Safety Management (TSM) encourages organizations to take a holistic approach to safety 11)
management.


12) U.S. companies have no responsibility when it comes to the safety and health of employees of 12)
companies in foreign countries that manufacture goods for them.


13) Concern over the potential effects of bloodborne pathogens has introduced a whole new set of 13)
precautions into the realm of workplace safety.


14) Safety and health professionals do not have to concern themselves with documenting the return on 14)
investment for safety and health programs.


MULTIPLE CHOICE. Choose the one alternative that best completes the statement or answers the question.

15) A widely used accident prevention technique is: 15)
A) CPR with AED B) Employer liability
C) Fail-safe designs D) Fellow servant rule



YTREW

, JHGFDSA
16) An organization that has contributed to the development of the safety movement in the United 16)
States is:
A) National Safety Council B) National Society of Safety Engineers
C) National Safety Management Society D) All of the above


17) Which of the following would not generally be considered a member of the safety and health team 17)
for a large company?
A) Radiation control specialist B) Marketing vice-president
C) Dietician D) Occupational nurse


18) The three Es of safety are: 18)
A) Engineering, education, and employee responsibility
B) Engineering, education, and elimination of hazards
C) Engineering, education, and enforcement
D) Engineering, education, and employer liability
ST
19) A large professional organizational for safety managers, engineers, and specialists is: 19)
A) Bureau of Mines
B) Occupational Safety and Health Administration
C) National Institute for Occupational Safety and Health
D) National Safety Council
U
20) The link between workplace safety and productivity was established by: 20)
A) OSHA B) The U.S. Department of Commerce
C) The Foster Wheeler Study D) NIOSH
D
21) Cutting the frequency of workplace injuries in half results in how much of an increase to 21)
productivity?
A) Ten percent B) Ninety percent C) Fifty percent D) Thirty percent
YL
AB



YTREW

, JHGFDSA
Answer Key
Testname: UNTITLED1


1) TRUE
2) FALSE
3) FALSE
4) TRUE
5) FALSE
6) TRUE
7) TRUE
8) TRUE
9) FALSE
10) TRUE
11) TRUE
12) FALSE
13) TRUE
ST
14) FALSE
15) C
16) D
17) B
18) C
19) D
U
20) C
21) A
D
YL
AB



YTREW

, JHGFDSA
Chapter 2 Accidents and Their Effects

TRUE/FALSE. Write 'T' if the statement is true and 'F' if the statement is false.

1) Accidents in the United States cost more than $150 billion annually when you consider direct and 1)
indirect costs on and off the job.


2) The true cost of accidents consists of those costs known as direct costs. 2)


3) Suffocation is not a leading cause of accidental deaths in the United States. 3)

4) Most falling and impact injuries on the job occur as a result of either a heart attack or stroke before 4)
the fall.


5) The leading causes of death in the United States are heart disease, cancer, and stroke. 5)
ST
6) The leading cause of death in the United States of people less than 37 years of age is accidents. 6)

7) Between 1921 and now, the number of accident deaths on the job has increased significantly. 7)


8) Approximately 35,000,000 work hours are lost annually as a result of accidents. 8)
U
9) Drowning is not a significant cause of death in workplace accidents in the United States. 9)
D
10) Overexertion is a leading cause of workplace injuries. 10)

11) The rate of fatalities across all occupations fluctuates, but the rate of fatalities per year per 100,000 11)
workers holds fairly constant over time.
YL
MULTIPLE CHOICE. Choose the one alternative that best completes the statement or answers the question.

12) When death rates are computed on the basis of the number of deaths per 100,000 workers, the 12)
highest industry category for death is:
A) Agriculture B) Construction
AB
C) Manufacturing D) Mining/quarrying


13) Typically the most frequently injured body part is: 13)
A) Foot B) Back C) Neck D) Head

14) Which of the following chemicals are often involved in chemical burn injuries? 14)
A) Detergents B) Acids and alkalies
C) Calcium hydroxide D) All of the above

15) A symptom of carpal tunnel syndrome is: 15)
A) Numbness B) Frequent dizziness
C) Pain the knee or ankle D) Tingling in the foot




1
$19.49
Accede al documento completo:

100% de satisfacción garantizada
Inmediatamente disponible después del pago
Tanto en línea como en PDF
No estas atado a nada

Conoce al vendedor

Seller avatar
Los indicadores de reputación están sujetos a la cantidad de artículos vendidos por una tarifa y las reseñas que ha recibido por esos documentos. Hay tres niveles: Bronce, Plata y Oro. Cuanto mayor reputación, más podrás confiar en la calidad del trabajo del vendedor.
Studylab Chamberlain College Of Nursing
Seguir Necesitas iniciar sesión para seguir a otros usuarios o asignaturas
Vendido
688
Miembro desde
2 año
Número de seguidores
460
Documentos
1391
Última venta
1 día hace
STUDYLAB LIBRARIES

Welcome to Studylab Libraries – your go-to source for top-quality study resources across multiple subjects. Rest assured, all materials provided are of the highest standard to support your exam success. Each resource is A+ rated. I’d appreciate it if you could leave a rating and review after using the materials, as your feedback encourages me to keep adding more. Thank you!

3.9

66 reseñas

5
35
4
9
3
11
2
2
1
9

Recientemente visto por ti

Por qué los estudiantes eligen Stuvia

Creado por compañeros estudiantes, verificado por reseñas

Calidad en la que puedes confiar: escrito por estudiantes que aprobaron y evaluado por otros que han usado estos resúmenes.

¿No estás satisfecho? Elige otro documento

¡No te preocupes! Puedes elegir directamente otro documento que se ajuste mejor a lo que buscas.

Paga como quieras, empieza a estudiar al instante

Sin suscripción, sin compromisos. Paga como estés acostumbrado con tarjeta de crédito y descarga tu documento PDF inmediatamente.

Student with book image

“Comprado, descargado y aprobado. Así de fácil puede ser.”

Alisha Student

Preguntas frecuentes