100% de satisfacción garantizada Inmediatamente disponible después del pago Tanto en línea como en PDF No estas atado a nada 4,6 TrustPilot
logo-home
Examen

Test Bank For Advanced Health Assessment & Clinical Diagnosis in Primary Care 6th Edition by Joyce E. Dains; Linda Ciofu Baumann; Pamela Scheibel ISBN:9780323554961 All Chapters Covered Complete Guide A+.

Puntuación
-
Vendido
-
Páginas
184
Grado
A+
Subido en
28-04-2025
Escrito en
2024/2025

Test Bank For Advanced Health Assessment & Clinical Diagnosis in Primary Care 6th Edition by Joyce E. Dains; Linda Ciofu Baumann; Pamela Scheibel ISBN:9780323554961 All Chapters Covered Complete Guide A+.

Institución
Advanced Health Assessment & Clinical Diagnosis.6e
Grado
Advanced Health Assessment & Clinical Diagnosis.6e











Ups! No podemos cargar tu documento ahora. Inténtalo de nuevo o contacta con soporte.

Libro relacionado

Escuela, estudio y materia

Institución
Advanced Health Assessment & Clinical Diagnosis.6e
Grado
Advanced Health Assessment & Clinical Diagnosis.6e

Información del documento

Subido en
28 de abril de 2025
Número de páginas
184
Escrito en
2024/2025
Tipo
Examen
Contiene
Preguntas y respuestas

Temas

Vista previa del contenido

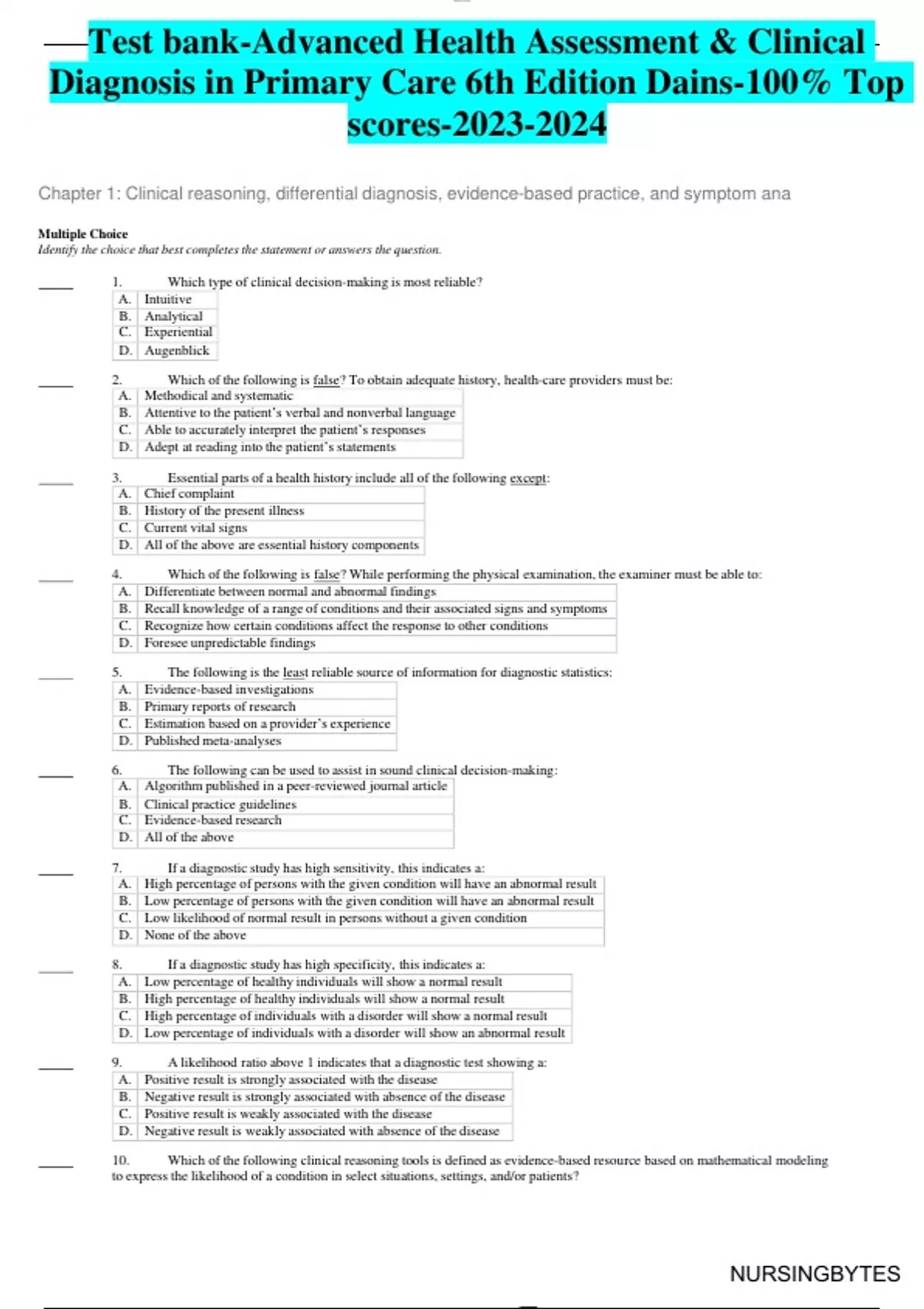
lOMoAR cPSD| 12263423




Test bank-Advanced Health Assessment & Clinical




N
Diagnosis in Primary Care 6th Edition Dains-100% Top




U
scores-2023-2024




R
SI
Chapter 1: Clinical reasoning, differential diagnosis, evidence-based practice, and symptom ana




N
G
Multiple Choice
Identify the choice that best completes the statement or answers the question.




BY
1. Which type of clinical decision-making is most reliable?
A. Intuitive
B. Analytical




TE
C. Experiential
D. Augenblick




S
2. Which of the following is false? To obtain adequate history, health-care providers must be:
A. Methodical and systematic
B. Attentive to the patient’s verbal and nonverbal language
C. Able to accurately interpret the patient’s responses
D. Adept at reading into the patient’s statements

3. Essential parts of a health history include all of the following except:
A. Chief complaint
B. History of the present illness
C. Current vital signs
D. All of the above are essential history components

4. Which of the following is false? While performing the physical examination, the examiner must be able to:
A. Differentiate between normal and abnormal findings
B. Recall knowledge of a range of conditions and their associated signs and symptoms
C. Recognize how certain conditions affect the response to other conditions
D. Foresee unpredictable findings

5. The following is the least reliable source of information for diagnostic statistics:
A. Evidence-based investigations
B. Primary reports of research
C. Estimation based on a provider’s experience
D. Published meta-analyses

6. The following can be used to assist in sound clinical decision-making:
A. Algorithm published in a peer-reviewed journal article
B. Clinical practice guidelines
C. Evidence-based research
D. All of the above

7. If a diagnostic study has high sensitivity, this indicates a:
A. High percentage of persons with the given condition will have an abnormal result
B. Low percentage of persons with the given condition will have an abnormal result
C. Low likelihood of normal result in persons without a given condition
D. None of the above

8. If a diagnostic study has high specificity, this indicates a:
A. Low percentage of healthy individuals will show a normal result
B. High percentage of healthy individuals will show a normal result
C. High percentage of individuals with a disorder will show a normal result
D. Low percentage of individuals with a disorder will show an abnormal result

9. A likelihood ratio above 1 indicates that a diagnostic test showing a:
A. Positive result is strongly associated with the disease
B. Negative result is strongly associated with absence of the disease
C. Positive result is weakly associated with the disease
D. Negative result is weakly associated with absence of the disease

10. Which of the following clinical reasoning tools is defined as evidence-based resource based on mathematical modeling
to express the likelihood of a condition in select situations, settings, and/or patients?




NURSINGBYTES

, lOMoAR cPSD| 12263423




N
U
A. Clinical practice guideline




R
B. Clinical decision rule
C. Clinical algorithm




SI
Chapter 1: Clinical reasoning, differential diagnosis, evidence-based practice, and symptom ana
Answer Section




N
G
MULTIPLE CHOICE




BY
1. ANS: B
Croskerry (2009) describes two major types of clinical diagnostic decision-making: intuitive and analytical. Intuitive decision-
making (similar to Augenblink decision-making) is based on the experience and intuition of the clinician and is less reliable and
paired with fairly common errors. In contrast, analytical decision-making is based on careful consideration and has greater




TE
reliability with rare errors.

PTS: 1




S
2. ANS: D
To obtain adequate history, providers must be well organized, attentive to the patient’s verbal and nonverbal language, and able
to accurately interpret the patient’s responses to questions. Rather than reading into the patient’s statements, they clarify any
areas of uncertainty.

PTS: 1
3. ANS: C
Vital signs are part of the physical examination portion of patient assessment, not part of the health history.

PTS: 1
4. ANS: D
While performing the physical examination, the examiner must be able to differentiate between normal and abnormal findings,
recall knowledge of a range of conditions, including their associated signs and symptoms, recognize how certain conditions affect
the response to other conditions, and distinguish the relevance of varied abnormal findings.

PTS: 1
5. ANS: C
Sources for diagnostic statistics include textbooks, primary reports of research, and published meta-analyses. Another source of
statistics, the one that has been most widely used and available for application to the reasoning process, is the estimation based on
a provider’s experience, although these are rarely accurate. Over the past decade, the availability of evidence on which to base
clinical reasoning is improving, and there is an increasing expectation that clinical reasoning be based on scientific evidence.
Evidence-based statistics are also increasingly being used to develop resources to facilitate clinical decision-making.

PTS: 1
6. ANS: D
To assist in clinical decision-making, a number of evidence-based resources have been developed to assist the clinician.
Resources, such as algorithms and clinical practice guidelines, assist in clinical reasoning when properly applied.

PTS: 1
7. ANS: A
The sensitivity of a diagnostic study is the percentage of individuals with the target condition who show an abnormal, or positive,
result. A high sensitivity indicates that a greater percentage of persons with the given condition will have an abnormal result.

PTS: 1
8. ANS: B
The specificity of a diagnostic study is the percentage of normal, healthy individuals who have a normal result. The greater the
specificity, the greater the percentage of individuals who will have negative, or normal, results if they do not have the target
condition.

PTS: 1
9. ANS: A
The likelihood ratio is the probability that a positive test result will be associated with a person who has the target condition and a
negative result will be associated with a healthy person. A likelihood ratio above 1 indicates that a positive result is associated
with the disease; a likelihood ratio less than 1 indicates that a negative result is associated with an absence of the disease.




NURSINGBYTES

, lOMoAR cPSD| 12263423




N
U
PTS: 1




R
10. ANS: B
Clinical decision (or prediction) rules provide another support for clinical reasoning. Clinical decision rules are evidence-based




SI
resources that provide probabilistic statements regarding the likelihood that a condition exists if certain variables are met with
regard to the prognosis of patients with specific findings. Decision rules use mathematical models and are specific to certain




N
situations, settings, and/or patient characteristics.




G
PTS: 1




BY
TE
S




NURSINGBYTES

, lOMoAR cPSD| 12263423




N
U
Chapter 2. Evidence-based health screening




R
SI
N
Multiple Choice
Identify the choice that best completes the statement or answers the question.




G
1. The first step in the genomic assessment of a patient is obtaining information regarding:




BY
A. Family history
B. Environmental exposures
C. Lifestyle and behaviors
D. Current medications




TE
2. An affected individual who manifests symptoms of a particular condition through whom a family with a genetic
disorder is ascertained is called a(n):




S
A. Consultand
B. Consulband
C. Index patient
D. Proband

3. An autosomal dominant disorder involves the:
A. X chromosome
B. Y chromosome
C. Mitochondrial DNA
D. Non-sex chromosomes

4. To illustrate a union between two second cousin family members in a pedigree, draw:
A. Arrows pointing to the male and female
B. Brackets around the male and female
C. Double horizontal lines between the male and female
D. Circles around the male and female

5. To illustrate two family members in an adoptive relationship in a pedigree:
A. Arrows are drawn pointing to the male and female
B. Brackets are drawn around the male and female
C. Double horizontal lines are drawn between the male and female
D. Circles are drawn around the male and female

6. When analyzing the pedigree for autosomal dominant disorders, it is common to see:
A. Several generations of affected members
B. Many consanguineous relationships
C. More members of the maternal lineage affected than paternal
D. More members of the paternal lineage affected than maternal

7. In autosomal recessive (AR) disorders, individuals need:
A. Only one mutated gene on the sex chromosomes to acquire the disease
B. Only one mutated gene to acquire the disease
C. Two mutated genes to acquire the disease
D. Two mutated genes to become carriers

8. In autosomal recessive disorders, carriers have:
A. Two mutated genes; one from each parent that cause disease
B. A mutation on a sex chromosome that causes a disease
C. A single gene mutation that causes the disease
D. One copy of a gene mutation but not the disease

9. With an autosomal recessive disorder, it is important that parents understand that if they both carry a mutation, the
following are the risks to each of their offspring (each pregnancy):
A. 50% chance that offspring will carry the disease
B. 10% chance of offspring affected by disease




NURSINGBYTES
$19.49
Accede al documento completo:

100% de satisfacción garantizada
Inmediatamente disponible después del pago
Tanto en línea como en PDF
No estas atado a nada

Conoce al vendedor

Seller avatar
Los indicadores de reputación están sujetos a la cantidad de artículos vendidos por una tarifa y las reseñas que ha recibido por esos documentos. Hay tres niveles: Bronce, Plata y Oro. Cuanto mayor reputación, más podrás confiar en la calidad del trabajo del vendedor.
Nursingbytes West Virgina University
Seguir Necesitas iniciar sesión para seguir a otros usuarios o asignaturas
Vendido
27
Miembro desde
10 meses
Número de seguidores
0
Documentos
534
Última venta
5 días hace
NursingBytes: Test Banks & Practice Exams

Looking for relevant and up-to-date study materials to help you ace your exams? NursingBytes has got you covered! We offer a wide range of study resources, including test banks, exams, study notes, and more, to help prepare for your exams and achieve your academic goals. What\'s more, we can also help with your academic assignments, research, dissertations, online exams, online tutoring and much more! Please send us a message and will respond in the shortest time possible. Always Remember: Don\'t stress. Do your best. Forget the rest! Gracias!

Lee mas Leer menos
5.0

3 reseñas

5
3
4
0
3
0
2
0
1
0

Recientemente visto por ti

Por qué los estudiantes eligen Stuvia

Creado por compañeros estudiantes, verificado por reseñas

Calidad en la que puedes confiar: escrito por estudiantes que aprobaron y evaluado por otros que han usado estos resúmenes.

¿No estás satisfecho? Elige otro documento

¡No te preocupes! Puedes elegir directamente otro documento que se ajuste mejor a lo que buscas.

Paga como quieras, empieza a estudiar al instante

Sin suscripción, sin compromisos. Paga como estés acostumbrado con tarjeta de crédito y descarga tu documento PDF inmediatamente.

Student with book image

“Comprado, descargado y aprobado. Así de fácil puede ser.”

Alisha Student

Preguntas frecuentes