100% de satisfacción garantizada Inmediatamente disponible después del pago Tanto en línea como en PDF No estas atado a nada 4,6 TrustPilot
logo-home
Examen

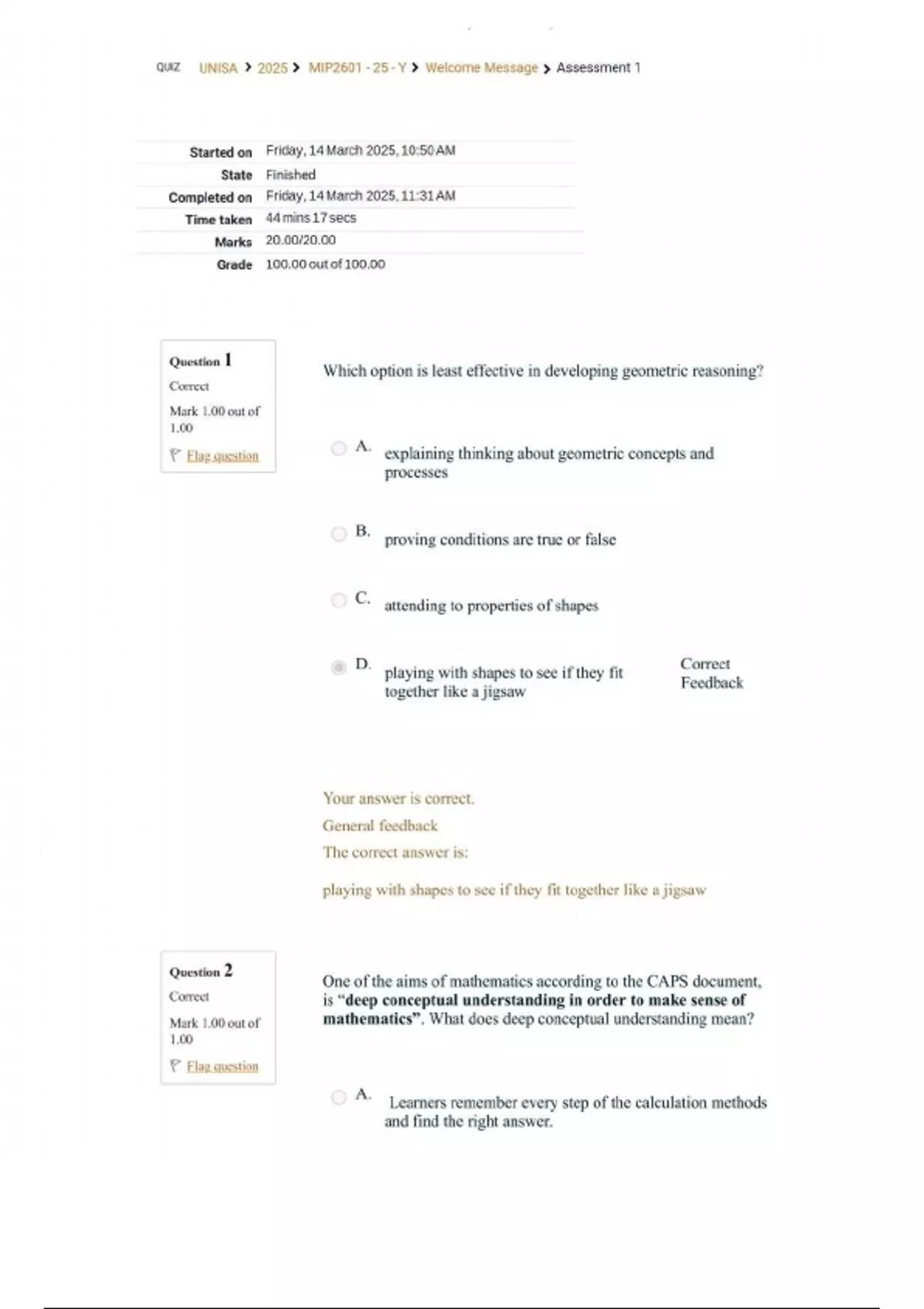
MIP2601 Assignment 1 Quiz (ANSWERS) 2025 - DUE 14 May 2025

Puntuación
-
Vendido
-
Páginas
11
Grado
A+
Subido en
15-04-2025
Escrito en
2024/2025

MIP2601 Assignment 1 Quiz (ANSWERS) 2025 - DUE 14 May 2025

Institución
Grado









Ups! No podemos cargar tu documento ahora. Inténtalo de nuevo o contacta con soporte.

Escuela, estudio y materia

Institución
Grado

Información del documento

Subido en
15 de abril de 2025
Número de páginas
11
Escrito en
2024/2025
Tipo
Examen
Contiene
Preguntas y respuestas

Temas

$3.00
Accede al documento completo:

100% de satisfacción garantizada
Inmediatamente disponible después del pago
Tanto en línea como en PDF
No estas atado a nada

Conoce al vendedor

Seller avatar
Los indicadores de reputación están sujetos a la cantidad de artículos vendidos por una tarifa y las reseñas que ha recibido por esos documentos. Hay tres niveles: Bronce, Plata y Oro. Cuanto mayor reputación, más podrás confiar en la calidad del trabajo del vendedor.
EDUTHRIFT Teachme2-tutor
Seguir Necesitas iniciar sesión para seguir a otros usuarios o asignaturas
Vendido
4305
Miembro desde
1 año
Número de seguidores
30
Documentos
2606
Última venta
1 mes hace

4.7

942 reseñas

5
798
4
79
3
34
2
17
1
14

Recientemente visto por ti

Por qué los estudiantes eligen Stuvia

Creado por compañeros estudiantes, verificado por reseñas

Calidad en la que puedes confiar: escrito por estudiantes que aprobaron y evaluado por otros que han usado estos resúmenes.

¿No estás satisfecho? Elige otro documento

¡No te preocupes! Puedes elegir directamente otro documento que se ajuste mejor a lo que buscas.

Paga como quieras, empieza a estudiar al instante

Sin suscripción, sin compromisos. Paga como estés acostumbrado con tarjeta de crédito y descarga tu documento PDF inmediatamente.

Student with book image

“Comprado, descargado y aprobado. Así de fácil puede ser.”

Alisha Student

Preguntas frecuentes