100% de satisfacción garantizada Inmediatamente disponible después del pago Tanto en línea como en PDF No estas atado a nada 4.2 TrustPilot
logo-home
Examen

EPA 608 TYPE 3 EXAM 2025 WITH 100% ACCURATE SOLUTIONS

Puntuación
-
Vendido
-
Páginas
14
Grado
A+
Subido en
15-01-2025
Escrito en
2024/2025

EPA 608 TYPE 3 EXAM 2025 WITH 100% ACCURATE SOLUTIONS

Institución
EPA 608 TYPE 3
Grado
EPA 608 TYPE 3









Ups! No podemos cargar tu documento ahora. Inténtalo de nuevo o contacta con soporte.

Escuela, estudio y materia

Institución
EPA 608 TYPE 3
Grado
EPA 608 TYPE 3

Información del documento

Subido en
15 de enero de 2025
Número de páginas
14
Escrito en
2024/2025
Tipo
Examen
Contiene
Preguntas y respuestas

Temas

Vista previa del contenido

EPA 608 TYPE 3 EXAM 2025 WITH 100% ACCURATE
SOLUTIONS


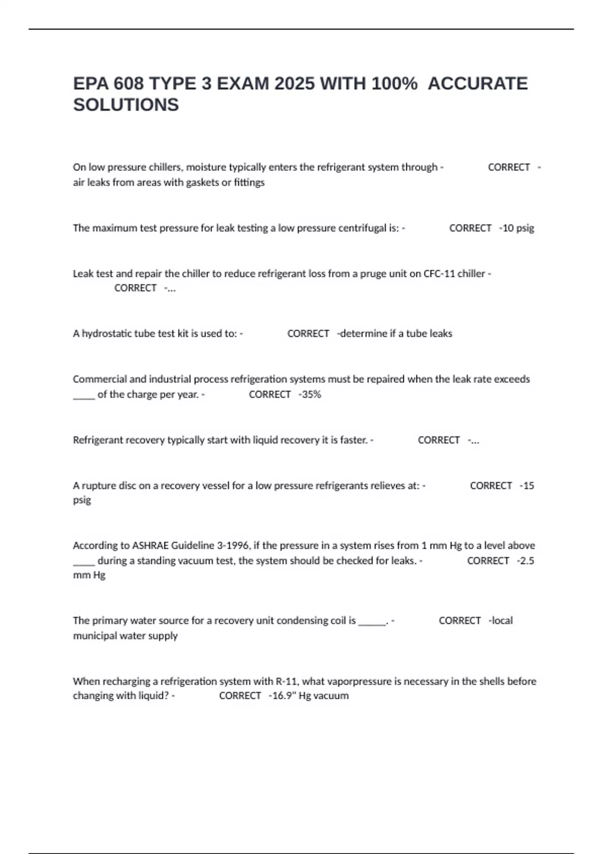
On low pressure chillers, moisture typically enters the refrigerant system through - ✅✅✅CORRECT -
air leaks from areas with gaskets or fittings



The maximum test pressure for leak testing a low pressure centrifugal is: - ✅✅✅CORRECT -10 psig



Leak test and repair the chiller to reduce refrigerant loss from a pruge unit on CFC-11 chiller -
✅✅✅CORRECT -...



A hydrostatic tube test kit is used to: - ✅✅✅CORRECT -determine if a tube leaks



Commercial and industrial process refrigeration systems must be repaired when the leak rate exceeds
____ of the charge per year. - ✅✅✅CORRECT -35%



Refrigerant recovery typically start with liquid recovery it is faster. - ✅✅✅CORRECT -...



A rupture disc on a recovery vessel for a low pressure refrigerants relieves at: - ✅✅✅CORRECT -15
psig



According to ASHRAE Guideline 3-1996, if the pressure in a system rises from 1 mm Hg to a level above
____ during a standing vacuum test, the system should be checked for leaks. - ✅✅✅CORRECT -2.5
mm Hg



The primary water source for a recovery unit condensing coil is _____. - ✅✅✅CORRECT -local
municipal water supply



When recharging a refrigeration system with R-11, what vaporpressure is necessary in the shells before
changing with liquid? - ✅✅✅CORRECT -16.9" Hg vacuum

, After recovering the liquid refrigerant you must: - ✅✅✅CORRECT -recover the vapor refrigerant



According to the EPA there is approximately _____ refrigerant vapor left in an average 350 ton R-11
chiller at 0 psig pressure once all the R-11 liquid has been removed. - ✅✅✅CORRECT -100 pounds



Charging refrigerant liquid into a refrigeration system when it is under a 29 inch Hg vacuum can cause
the: - ✅✅✅CORRECT -system water to freeze



A system does not have to be evacuated all the way to the required level when: - ✅✅✅CORRECT -
leaks in the appliance make evacuation to the prescribed level unattainable



Which of the foloowing repairs would ALWAYS be considered "major" under EPA's - ✅✅✅CORRECT -
replacement of evaporator coil



Under EPA's regulation's _______ is used to pressurize a low pressure chiller for the purpose of opening
the system for a non major repair? - ✅✅✅CORRECT -warming the refrigerant



If you are using a recovery machine manufactored AFTER 11-15-93 you must evacuate an low pressure
appliance to _______ before making a major repair. - ✅✅✅CORRECT -25 mm of Hg absolute



After reaching the required recovery vacuum on a chiller, you should - ✅✅✅CORRECT -Wait for at
least a few minutes to see if the system pressure rises, indicating that there is till refrigerant in a liquid
form or in the oil



The pressure corresponding to 32 F for R-123 - ✅✅✅CORRECT -20 inches of HG vacuum



When evacuating a system the use of too large a vacuum pump can cause? - ✅✅✅CORRECT -
trapped water to freeze



Refrigerant-11 at a pressure of 17 inches HG vacuum has a saturation temperature of: -
✅✅✅CORRECT -35F
$16.99
Accede al documento completo:

100% de satisfacción garantizada
Inmediatamente disponible después del pago
Tanto en línea como en PDF
No estas atado a nada

Conoce al vendedor

Seller avatar
Los indicadores de reputación están sujetos a la cantidad de artículos vendidos por una tarifa y las reseñas que ha recibido por esos documentos. Hay tres niveles: Bronce, Plata y Oro. Cuanto mayor reputación, más podrás confiar en la calidad del trabajo del vendedor.
YANCHY Herzing University
Seguir Necesitas iniciar sesión para seguir a otros usuarios o asignaturas
Vendido
1744
Miembro desde
3 año
Número de seguidores
1158
Documentos
23179
Última venta
3 días hace
Ace Your Exams with Elite Study Resources | ExamEliteHub on Stuvia

I offer genuine and dependable exam papers that are directly obtained from well-known, reputable institutions as a highly regarded professional who specializes in sourcing study materials. These papers are invaluable resources made to help people who want to become nurses and people who work in other fields prepare for exams. Because of my extensive experience and in-depth knowledge of the subject, I take great care to ensure that each exam paper meets the highest quality, accuracy, and relevance standards, making them an essential component of any successful study plan.

Lee mas Leer menos
4.1

445 reseñas

5
251
4
57
3
84
2
18
1
35

Recientemente visto por ti

Por qué los estudiantes eligen Stuvia

Creado por compañeros estudiantes, verificado por reseñas

Calidad en la que puedes confiar: escrito por estudiantes que aprobaron y evaluado por otros que han usado estos resúmenes.

¿No estás satisfecho? Elige otro documento

¡No te preocupes! Puedes elegir directamente otro documento que se ajuste mejor a lo que buscas.

Paga como quieras, empieza a estudiar al instante

Sin suscripción, sin compromisos. Paga como estés acostumbrado con tarjeta de crédito y descarga tu documento PDF inmediatamente.

Student with book image

“Comprado, descargado y aprobado. Así de fácil puede ser.”

Alisha Student

Preguntas frecuentes