100% de satisfacción garantizada Inmediatamente disponible después del pago Tanto en línea como en PDF No estas atado a nada 4,6 TrustPilot
logo-home
Examen

Chapter 4 Communicating with Children and Families

Puntuación
-
Vendido
-
Páginas
9
Grado
A+
Subido en
22-08-2024
Escrito en
2024/2025

Chapter 4 Communicating with Children and Families

Institución
Grado









Ups! No podemos cargar tu documento ahora. Inténtalo de nuevo o contacta con soporte.

Escuela, estudio y materia

Institución
Grado

Información del documento

Subido en
22 de agosto de 2024
Número de páginas
9
Escrito en
2024/2025
Tipo
Examen
Contiene
Preguntas y respuestas

Temas

Vista previa del contenido

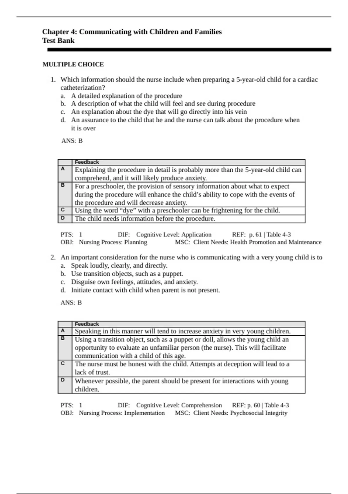
Chapter 4: Communicating with Children and Families
Test Bank


MULTIPLE CHOICE

1. Which information should the nurse include when preparing a 5-year-old child for a cardiac
catheterization?
a. A detailed explanation of the procedure
b. A description of what the child will feel and see during procedure
c. An explanation about the dye that will go directly into his vein
d. An assurance to the child that he and the nurse can talk about the procedure when
it is over
ANS: B


Feedback
A Explaining the procedure in detail is probably more than the 5-year-old child can
comprehend, and it will likely produce anxiety.
B For a preschooler, the provision of sensory information about what to expect
during the procedure will enhance the child’s ability to cope with the events of
the procedure and will decrease anxiety.
C Using the word “dye” with a preschooler can be frightening for the child.
D The child needs information before the procedure.

PTS: 1 DIF: Cognitive Level: Application REF: p. 61 | Table 4-3
OBJ: Nursing Process: Planning MSC: Client Needs: Health Promotion and Maintenance

2. An important consideration for the nurse who is communicating with a very young child is to
a. Speak loudly, clearly, and directly.
b. Use transition objects, such as a puppet.
c. Disguise own feelings, attitudes, and anxiety.
d. Initiate contact with child when parent is not present.
ANS: B


Feedback
A Speaking in this manner will tend to increase anxiety in very young children.
B Using a transition object, such as a puppet or doll, allows the young child an
opportunity to evaluate an unfamiliar person (the nurse). This will facilitate
communication with a child of this age.
C The nurse must be honest with the child. Attempts at deception will lead to a
lack of trust.
D Whenever possible, the parent should be present for interactions with young
children.

PTS: 1 DIF: Cognitive Level: Comprehension REF: p. 60 | Table 4-3
OBJ: Nursing Process: Implementation MSC: Client Needs: Psychosocial Integrity

, 3. An effective technique for communicating with toddlers is to
a. Have the toddler make up a story from a picture.
b. Involve the toddler in dramatic play with dress-up clothing.
c. Use picture books.
d. Ask the toddler to draw pictures of his fears.
ANS: C


Feedback
A Most toddlers do not have the vocabulary to make up stories.
B Dramatic play is associated with older children.
C Activities and procedures should be described as they are about to be done. Use
picture books and play for demonstration. Toddlers experience the world
through their senses.
D Toddlers probably are not capable of drawing or verbally articulating their fears.

PTS: 1 DIF: Cognitive Level: Application REF: p. 60 | Table 4-3
OBJ: Nursing Process: Planning MSC: Client Needs: Health Promotion and Maintenance

4. What is the most important consideration for effectively communicating with a child?
a. The child’s chronologic age
b. The parent-child interaction
c. The child’s receptiveness
d. The child’s developmental level
ANS: D


Feedback
A The child’s age may not correspond with the child’s developmental level;
therefore it is not the most important consideration for communicating with
children.
B Parent-child interaction is useful in planning communication with children, but it
is not the primary factor in establishing effective communication.
C The child’s receptiveness is a consideration in evaluating the effectiveness of
communication.
D The child’s developmental level is the basis for selecting the terminology and
structure of the message most likely to be understood by the child.

PTS: 1 DIF: Cognitive Level: Comprehension REF: p. 60
OBJ: Nursing Process: Assessment MSC: Client Needs: Health Promotion and Maintenance

5. Which behavior is most likely to encourage open communication?
a. Avoiding eye contact
b. Folding arms across chest
c. Standing with head bowed
d. Soft stance with arms loose at the side
ANS: D
$8.99
Accede al documento completo:

100% de satisfacción garantizada
Inmediatamente disponible después del pago
Tanto en línea como en PDF
No estas atado a nada


Documento también disponible en un lote

Conoce al vendedor

Seller avatar
Los indicadores de reputación están sujetos a la cantidad de artículos vendidos por una tarifa y las reseñas que ha recibido por esos documentos. Hay tres niveles: Bronce, Plata y Oro. Cuanto mayor reputación, más podrás confiar en la calidad del trabajo del vendedor.
Approvedtutor Johns Hopkins University
Seguir Necesitas iniciar sesión para seguir a otros usuarios o asignaturas
Vendido
618
Miembro desde
4 año
Número de seguidores
560
Documentos
1479
Última venta
1 semana hace
Verified Notes Sharing Platform

I am a student like you, I create notes to help my fellow students excell amidist tight deadlines and never ending responsibilities. Hope the study materials that you will find here will help reduce your college workload.

3.4

63 reseñas

5
22
4
12
3
11
2
4
1
14

Recientemente visto por ti

Por qué los estudiantes eligen Stuvia

Creado por compañeros estudiantes, verificado por reseñas

Calidad en la que puedes confiar: escrito por estudiantes que aprobaron y evaluado por otros que han usado estos resúmenes.

¿No estás satisfecho? Elige otro documento

¡No te preocupes! Puedes elegir directamente otro documento que se ajuste mejor a lo que buscas.

Paga como quieras, empieza a estudiar al instante

Sin suscripción, sin compromisos. Paga como estés acostumbrado con tarjeta de crédito y descarga tu documento PDF inmediatamente.

Student with book image

“Comprado, descargado y aprobado. Así de fácil puede ser.”

Alisha Student

Preguntas frecuentes