100% de satisfacción garantizada Inmediatamente disponible después del pago Tanto en línea como en PDF No estas atado a nada 4.2 TrustPilot
logo-home
Resumen

Samenvatting H4 - bijzondere voeding

Puntuación
-
Vendido
1
Páginas
7
Subido en
15-08-2024
Escrito en
2023/2024

samenvatting van H4 bijzondere voeding (inclusief hetgeen in de les werd gezegd) farmaceutische wetenschappen ugent

Institución
Grado









Ups! No podemos cargar tu documento ahora. Inténtalo de nuevo o contacta con soporte.

Escuela, estudio y materia

Institución
Estudio
Grado

Información del documento

Subido en
15 de agosto de 2024
Número de páginas
7
Escrito en
2023/2024
Tipo
Resumen

Temas

Vista previa del contenido

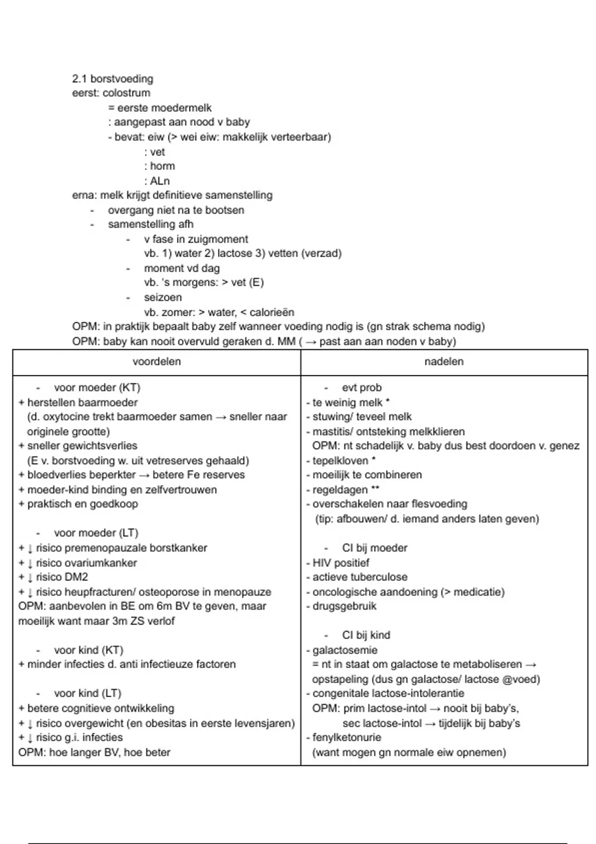
2.1 borstvoeding
eerst: colostrum
= eerste moedermelk
: aangepast aan nood v baby
- bevat: eiw (> wei eiw: makkelijk verteerbaar)
: vet
: horm
: ALn
erna: melk krijgt definitieve samenstelling
- overgang niet na te bootsen
- samenstelling afh
- v fase in zuigmoment
vb. 1) water 2) lactose 3) vetten (verzad)
- moment vd dag
vb. ‘s morgens: > vet (E)
- seizoen
vb. zomer: > water, < calorieën
OPM: in praktijk bepaalt baby zelf wanneer voeding nodig is (gn strak schema nodig)
OPM: baby kan nooit overvuld geraken d. MM ( → past aan aan noden v baby)
voordelen nadelen

- voor moeder (KT) - evt prob
+ herstellen baarmoeder - te weinig melk *
(d. oxytocine trekt baarmoeder samen → sneller naar - stuwing/ teveel melk
originele grootte) - mastitis/ ontsteking melkklieren
+ sneller gewichtsverlies OPM: nt schadelijk v. baby dus best doordoen v. genez
(E v. borstvoeding w. uit vetreserves gehaald) - tepelkloven *
+ bloedverlies beperkter → betere Fe reserves - moeilijk te combineren
+ moeder-kind binding en zelfvertrouwen - regeldagen **
+ praktisch en goedkoop - overschakelen naar flesvoeding
(tip: afbouwen/ d. iemand anders laten geven)
- voor moeder (LT)
+ ↓ risico premenopauzale borstkanker - CI bij moeder
+ ↓ risico ovariumkanker - HIV positief
+ ↓ risico DM2 - actieve tuberculose
+ ↓ risico heupfracturen/ osteoporose in menopauze - oncologische aandoening (> medicatie)
OPM: aanbevolen in BE om 6m BV te geven, maar - drugsgebruik
moeilijk want maar 3m ZS verlof
- CI bij kind
- voor kind (KT) - galactosemie
+ minder infecties d. anti infectieuze factoren = nt in staat om galactose te metaboliseren →
opstapeling (dus gn galactose/ lactose @voed)
- voor kind (LT) - congenitale lactose-intolerantie
+ betere cognitieve ontwikkeling OPM: prim lactose-intol → nooit bij baby’s,
+ ↓ risico overgewicht (en obesitas in eerste levensjaren) sec lactose-intol → tijdelijk bij baby’s
+ ↓ risico g.i. infecties - fenylketonurie
OPM: hoe langer BV, hoe beter (want mogen gn normale eiw opnemen)

, * > belang v techniek
** regeldagen: (1 à 2d)
= dagen waarop baby alleen maar wil drinken → norm
reden: baby heeft meer E nodig (vb. d. groeispurt; mentale sprong…)
wanneer: na 9 à 10d
: na 3 à 4w
: na 3m
: na 6m

OPM: borstvoeding vereist meer E, vocht en nutriënten → genoeg eten, drinken en nt diëten

2.2 kunstmelken
2.2.1 voor gezonde zuigelingen
: > obv koemelk
: < obv rijst
1 tot 6 maand 6 tot 12 maand
= 1e leeftijdsvoeding = 2e leeftijdsvoeding
= startvoeding = opvolg voeding
= volledige zuigelingenvoeding = opvolgzuigelingen voeding

: nt noodz
wei overwegend caseïne overwegend
- > eiw ( > caseïne)
> best < minder OPM: vertering wel checken
productie: : sneller verzadiging - KH: dextrine-maltose, zetmeel
1. koemelk verdunnen gevoel → voor hongerige - vit en mineral: aangepaste hoeveelheden
(want veel eiw, mineral) baby’s OPM: ook in vaste voeding te vinden
2. + extra wei-eiw
3. mineralensamenst Δ
(minder P, meer Ca)
4. + lactose
5. + plant. oliën
(v. onverzadigde vet)
6. + vit en spoorelem
7. + taurine, arginine
8. evt + melkzuurbact


2.2.2 bij beperkte spijsverteringsstoornissen (tijdelijk)
→ bij regurgitaties en braken
behand:
1. frequent voeden in kleine hoeveelheden + niet te strakke kleding/ luier
2. verdikken v voeding met AR (anti regurgitatie) voeding
d. + meel v pitten van Johannesbroodboom (indikking v. inname)
d. + waxy zetmeel (indikking na inname (d. zure maag))
→ bij diarree
behand
1. ORS (orale rehydratatie preparaten)
: water, Na, K, Cl, bicarbonaat, glucose, (evt probioticum)
$6.86
Accede al documento completo:

100% de satisfacción garantizada
Inmediatamente disponible después del pago
Tanto en línea como en PDF
No estas atado a nada

Conoce al vendedor

Seller avatar
Los indicadores de reputación están sujetos a la cantidad de artículos vendidos por una tarifa y las reseñas que ha recibido por esos documentos. Hay tres niveles: Bronce, Plata y Oro. Cuanto mayor reputación, más podrás confiar en la calidad del trabajo del vendedor.
studentefarmacie Universiteit Gent
Seguir Necesitas iniciar sesión para seguir a otros usuarios o asignaturas
Vendido
20
Miembro desde
1 año
Número de seguidores
1
Documentos
10
Última venta
1 mes hace

0.0

0 reseñas

5
0
4
0
3
0
2
0
1
0

Recientemente visto por ti

Por qué los estudiantes eligen Stuvia

Creado por compañeros estudiantes, verificado por reseñas

Calidad en la que puedes confiar: escrito por estudiantes que aprobaron y evaluado por otros que han usado estos resúmenes.

¿No estás satisfecho? Elige otro documento

¡No te preocupes! Puedes elegir directamente otro documento que se ajuste mejor a lo que buscas.

Paga como quieras, empieza a estudiar al instante

Sin suscripción, sin compromisos. Paga como estés acostumbrado con tarjeta de crédito y descarga tu documento PDF inmediatamente.

Student with book image

“Comprado, descargado y aprobado. Así de fácil puede ser.”

Alisha Student

Preguntas frecuentes