100% de satisfacción garantizada Inmediatamente disponible después del pago Tanto en línea como en PDF No estas atado a nada 4,6 TrustPilot
logo-home
Otro

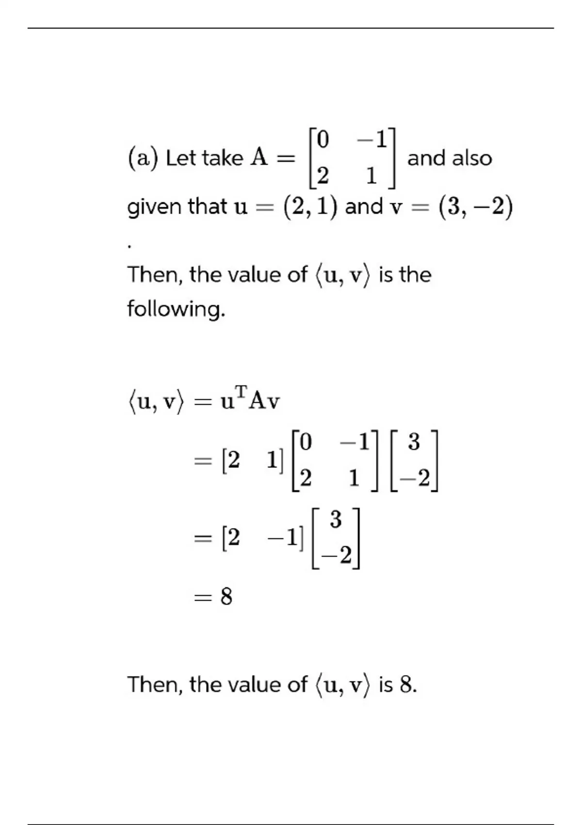
Mat2611 assignment 7 solutions 2024

Puntuación
-
Vendido
1
Páginas
12
Subido en
04-07-2024
Escrito en
2023/2024

Mat2611 assignment 7 solutions 2024. Full detailed solutions provided showing each step. Excellent document to understand and ace this concept in the exam.

Institución
Grado









Ups! No podemos cargar tu documento ahora. Inténtalo de nuevo o contacta con soporte.

Escuela, estudio y materia

Institución
Grado

Información del documento

Subido en
4 de julio de 2024
Número de páginas
12
Escrito en
2023/2024
Tipo
Otro
Personaje
Desconocido

Temas

$12.78
Accede al documento completo:

100% de satisfacción garantizada
Inmediatamente disponible después del pago
Tanto en línea como en PDF
No estas atado a nada

Conoce al vendedor

Seller avatar
Los indicadores de reputación están sujetos a la cantidad de artículos vendidos por una tarifa y las reseñas que ha recibido por esos documentos. Hay tres niveles: Bronce, Plata y Oro. Cuanto mayor reputación, más podrás confiar en la calidad del trabajo del vendedor.
cilliersfrederick University of Johannesburg
Seguir Necesitas iniciar sesión para seguir a otros usuarios o asignaturas
Vendido
626
Miembro desde
7 año
Número de seguidores
384
Documentos
353
Última venta
2 meses hace
Mathsmadeeasy

We supply detail solutions to assignments so that you can understand the theory and the Method about it. So that you can ace the exam. All Unisa students will benefit from our solutions and become masters in the module in no time.

3.3

94 reseñas

5
28
4
20
3
16
2
14
1
16

Recientemente visto por ti

Por qué los estudiantes eligen Stuvia

Creado por compañeros estudiantes, verificado por reseñas

Calidad en la que puedes confiar: escrito por estudiantes que aprobaron y evaluado por otros que han usado estos resúmenes.

¿No estás satisfecho? Elige otro documento

¡No te preocupes! Puedes elegir directamente otro documento que se ajuste mejor a lo que buscas.

Paga como quieras, empieza a estudiar al instante

Sin suscripción, sin compromisos. Paga como estés acostumbrado con tarjeta de crédito y descarga tu documento PDF inmediatamente.

Student with book image

“Comprado, descargado y aprobado. Así de fácil puede ser.”

Alisha Student

Preguntas frecuentes