100% de satisfacción garantizada Inmediatamente disponible después del pago Leer en línea o como PDF No estas atado a nada 4,6 TrustPilot
logo-home
Resumen

Summary Operations with Rational Numbers

Puntuación
-
Vendido
-
Páginas
2
Subido en
02-05-2024
Escrito en
2023/2024

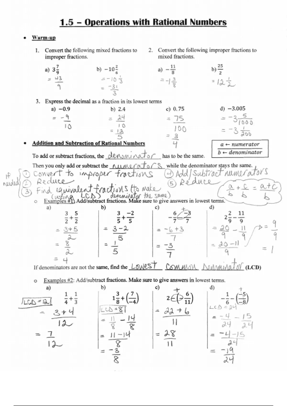
Unlock the secrets of Operations with Rational Numbers with this comprehensive guide! From mastering addition and subtraction to conquering multiplication and division, this document provides step-by-step instructions and examples to help you navigate the world of fractions, decimals, and mixed numbers with confidence. Whether you're a student tackling homework assignments or an educator looking to enhance your teaching materials, this resource equips you with the tools to excel in handling rational numbers effectively.

Mostrar más Leer menos
Institución
Grado








Ups! No podemos cargar tu documento ahora. Inténtalo de nuevo o contacta con soporte.

Escuela, estudio y materia

Institución
Escuela secundaria
Estudio
11th Grade
Grado
Año escolar
6

Información del documento

Subido en
2 de mayo de 2024
Número de páginas
2
Escrito en
2023/2024
Tipo
RESUMEN

Temas

$4.69
Accede al documento completo:

100% de satisfacción garantizada
Inmediatamente disponible después del pago
Leer en línea o como PDF
No estas atado a nada

Conoce al vendedor
Seller avatar
zauntcozimcrem

Conoce al vendedor

Seller avatar
zauntcozimcrem
Seguir Necesitas iniciar sesión para seguir a otros usuarios o asignaturas
Vendido
-
Miembro desde
1 año
Número de seguidores
0
Documentos
4
Última venta
-

0.0

0 reseñas

5
0
4
0
3
0
2
0
1
0

Documentos populares

Recientemente visto por ti

Por qué los estudiantes eligen Stuvia

Creado por compañeros estudiantes, verificado por reseñas

Calidad en la que puedes confiar: escrito por estudiantes que aprobaron y evaluado por otros que han usado estos resúmenes.

¿No estás satisfecho? Elige otro documento

¡No te preocupes! Puedes elegir directamente otro documento que se ajuste mejor a lo que buscas.

Paga como quieras, empieza a estudiar al instante

Sin suscripción, sin compromisos. Paga como estés acostumbrado con tarjeta de crédito y descarga tu documento PDF inmediatamente.

Student with book image

“Comprado, descargado y aprobado. Así de fácil puede ser.”

Alisha Student

Preguntas frecuentes