100% de satisfacción garantizada Inmediatamente disponible después del pago Tanto en línea como en PDF No estas atado a nada 4,6 TrustPilot
logo-home
Examen

Exam (elaborations) Nursing Psychiatric-Mental Health Nurse Practitioner Exam Secrets: NP Test Review for the Nurse Practitioner Exam (Study Guide)

Puntuación
-
Vendido
-
Páginas
4
Grado
A+
Subido en
01-04-2024
Escrito en
2023/2024

Exam (elaborations) Nursing Psychiatric-Mental Health Nurse Practitioner Exam Secrets: NP Test Review for the Nurse Practitioner Exam (Study Guide)

Institución
Grado








Ups! No podemos cargar tu documento ahora. Inténtalo de nuevo o contacta con soporte.

Libro relacionado

Escuela, estudio y materia

Grado

Información del documento

Subido en
1 de abril de 2024
Número de páginas
4
Escrito en
2023/2024
Tipo
Examen
Contiene
Preguntas y respuestas

Temas

Vista previa del contenido

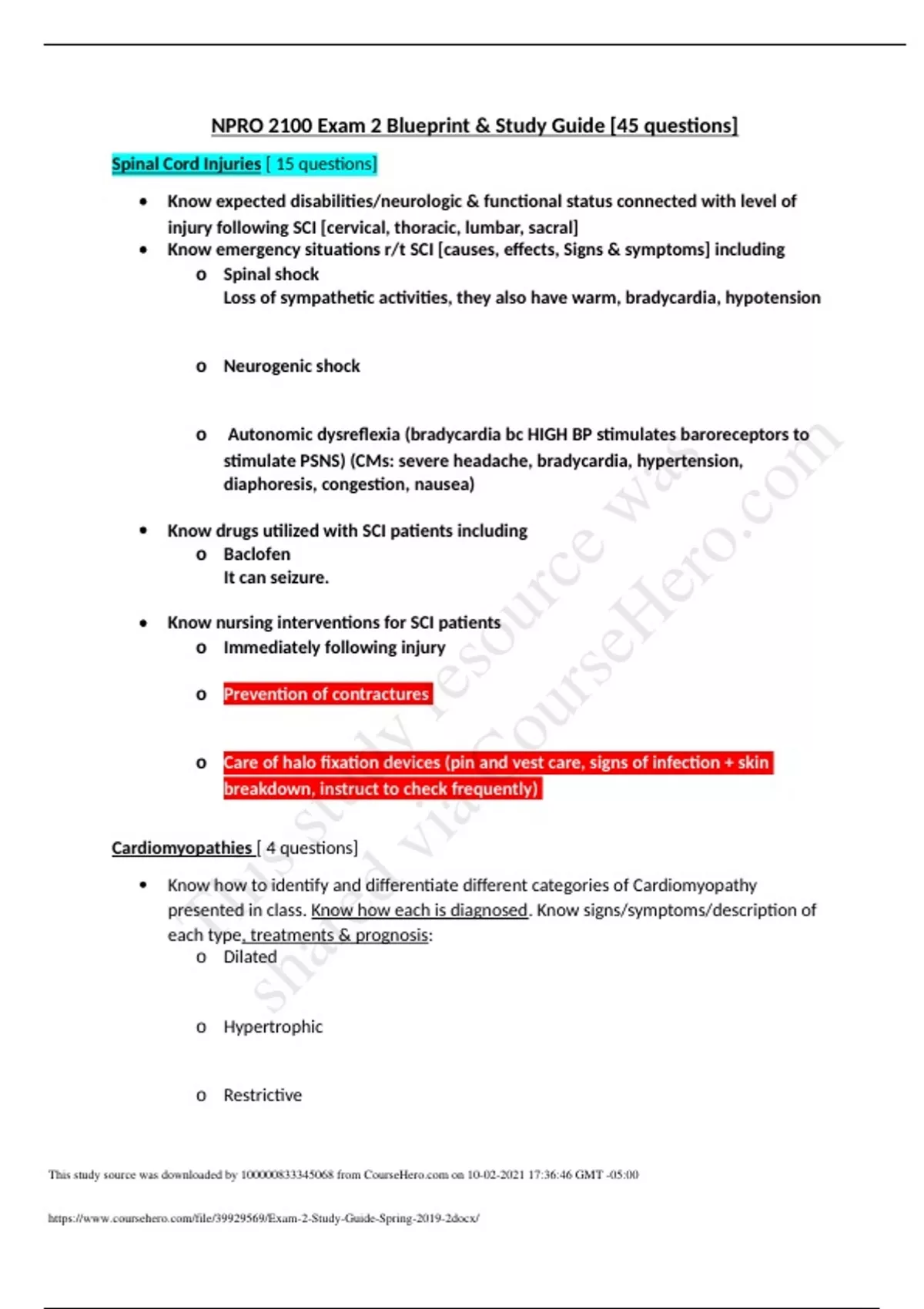
NPRO 2100 Exam 2 Blueprint & Study Guide [45 questions]
Spinal Cord Injuries [ 15 questions]
 Know expected disabilities/neurologic & functional status connected with level of
injury following SCI [cervical, thoracic, lumbar, sacral]
 Know emergency situations r/t SCI [causes, effects, Signs & symptoms] including
o Spinal shock
Loss of sympathetic activities, they also have warm, bradycardia, hypotension


o Neurogenic shock


o Autonomic dysreflexia (bradycardia bc HIGH BP stimulates baroreceptors to




m
stimulate PSNS) (CMs: severe headache, bradycardia, hypertension,




er as
diaphoresis, congestion, nausea)




co
eH w
 Know drugs utilized with SCI patients including




o.
o Baclofen
It can seizure.rs e
ou urc
 Know nursing interventions for SCI patients
o Immediately following injury
o
aC s


o Prevention of contractures
vi y re



o Care of halo fixation devices (pin and vest care, signs of infection + skin
ed d




breakdown, instruct to check frequently)
ar stu




Cardiomyopathies [ 4 questions]
is




 Know how to identify and differentiate different categories of Cardiomyopathy
Th




presented in class. Know how each is diagnosed. Know signs/symptoms/description of
each type, treatments & prognosis:
o Dilated
sh




o Hypertrophic


o Restrictive



This study source was downloaded by 100000833345068 from CourseHero.com on 10-02-2021 17:36:46 GMT -05:00


https://www.coursehero.com/file/39929569/Exam-2-Study-Guide-Spring-2019-2docx/
$3.49
Accede al documento completo:

100% de satisfacción garantizada
Inmediatamente disponible después del pago
Tanto en línea como en PDF
No estas atado a nada

Conoce al vendedor
Seller avatar
Pieces

Conoce al vendedor

Seller avatar
Pieces Teachme2-tutor
Seguir Necesitas iniciar sesión para seguir a otros usuarios o asignaturas
Vendido
0
Miembro desde
2 año
Número de seguidores
0
Documentos
60
Última venta
-
Sell Notes online and Exams, Your no 1 NURSING COURSE EXAMS AND STUDY RESOURCES

Nursing course Exams and Notes Online NCLEX -RN, TEAS, HESI, NURSING Exams Detailed elaboration for the Answers, 100% success on your studies Best wishes.

0.0

0 reseñas

5
0
4
0
3
0
2
0
1
0

Recientemente visto por ti

Por qué los estudiantes eligen Stuvia

Creado por compañeros estudiantes, verificado por reseñas

Calidad en la que puedes confiar: escrito por estudiantes que aprobaron y evaluado por otros que han usado estos resúmenes.

¿No estás satisfecho? Elige otro documento

¡No te preocupes! Puedes elegir directamente otro documento que se ajuste mejor a lo que buscas.

Paga como quieras, empieza a estudiar al instante

Sin suscripción, sin compromisos. Paga como estés acostumbrado con tarjeta de crédito y descarga tu documento PDF inmediatamente.

Student with book image

“Comprado, descargado y aprobado. Así de fácil puede ser.”

Alisha Student

Preguntas frecuentes