100% de satisfacción garantizada Inmediatamente disponible después del pago Tanto en línea como en PDF No estas atado a nada 4,6 TrustPilot
logo-home
Examen

HSY1512 ASSIGNMENT 03 2024 QUIZ

Puntuación
-
Vendido
-
Páginas
7
Grado
A+
Subido en
25-03-2024
Escrito en
2023/2024

HSY1512 ASSIGNMENT 03 2024 QUIZ

Institución
Grado









Ups! No podemos cargar tu documento ahora. Inténtalo de nuevo o contacta con soporte.

Escuela, estudio y materia

Institución
Grado

Información del documento

Subido en
25 de marzo de 2024
Número de páginas
7
Escrito en
2023/2024
Tipo
Examen
Contiene
Preguntas y respuestas

Temas

Vista previa del contenido

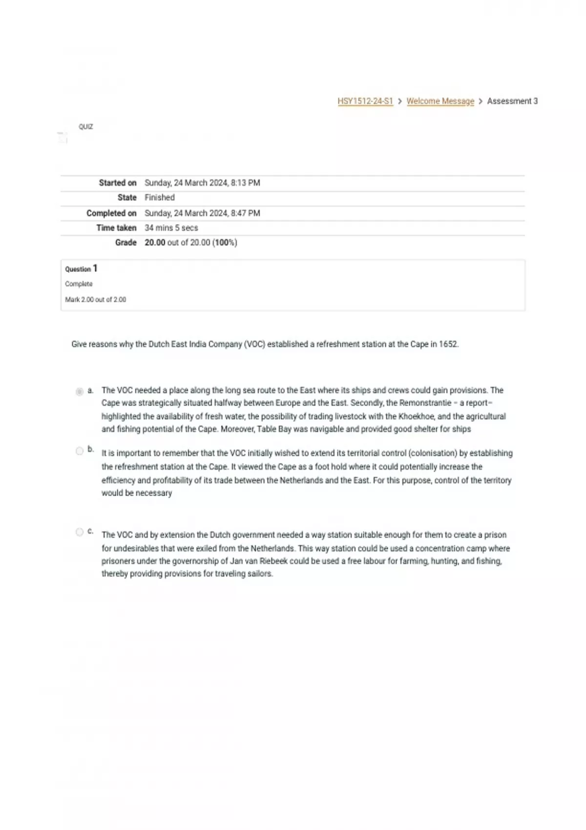
HSY1512-24-S1  Welcome Message  Assessment 3

QUIZ




Started on Sunday, 24 March 2024, 8:13 PM
State Finished
Completed on Sunday, 24 March 2024, 8:47 PM
Time taken 34 mins 5 secs
Grade 20.00 out of 20.00 (100%)


Question 1

Complete

Mark 2.00 out of 2.00




Give reasons why the Dutch East India Company (VOC) established a refreshment station at the Cape in 1652.




a. The VOC needed a place along the long sea route to the East where its ships and crews could gain provisions. The
Cape was strategically situated halfway between Europe and the East. Secondly, the Remonstrantie − a report–
highlighted the availability of fresh water, the possibility of trading livestock with the Khoekhoe, and the agricultural
and fishing potential of the Cape. Moreover, Table Bay was navigable and provided good shelter for ships

b. It is important to remember that the VOC initially wished to extend its territorial control (colonisation) by establishing

the refreshment station at the Cape. It viewed the Cape as a foot hold where it could potentially increase the
efficiency and profitability of its trade between the Netherlands and the East. For this purpose, control of the territory
would be necessary



c. The VOC and by extension the Dutch government needed a way station suitable enough for them to create a prison

for undesirables that were exiled from the Netherlands. This way station could be used a concentration camp where
prisoners under the governorship of Jan van Riebeek could be used a free labour for farming, hunting, and fishing,
thereby providing provisions for traveling sailors.

, Question 2

Complete

Mark 2.00 out of 2.00




Provide some environmental reasons why intensive agriculture on the Dutch model was not viable at the Cape.




a.
Although intensive agriculture had some proven successes, the efforts of the Dutch settlers were undermined by
constant theft and raids from the indigenous Khoi who believed the Dutch had no business farming on their fertile
land. These minor skirmishes quickly turned into full blown conflicts that eventually led to the first and second Dutch
wars.



b.
The Dutch model utilised a large and skilled labour force which was not available in the cape. Secondly this model
also utilised specialist equipment that could not, at the time, be produced at the Cape. Thirdly intensive agriculture
was still under stages of development, much of its methods were not yet proven to work in the real would
environment.



c. intensive agriculture required fertile and well-watered soil as had been the case in the Netherlands. The ground at the
Cape, although mainly consisting of fertile clay soil, was often stony or sandy, making the planting of crops a
challenge. Secondly, the Cape experienced frequent drought and periodic flooding which led to poor harvests. Thirdly,
strong winds both in summer and winter damaged crops.
$3.51
Accede al documento completo:

100% de satisfacción garantizada
Inmediatamente disponible después del pago
Tanto en línea como en PDF
No estas atado a nada

Conoce al vendedor

Seller avatar
Los indicadores de reputación están sujetos a la cantidad de artículos vendidos por una tarifa y las reseñas que ha recibido por esos documentos. Hay tres niveles: Bronce, Plata y Oro. Cuanto mayor reputación, más podrás confiar en la calidad del trabajo del vendedor.
bsenedict University of South Africa (Unisa)
Seguir Necesitas iniciar sesión para seguir a otros usuarios o asignaturas
Vendido
122
Miembro desde
2 año
Número de seguidores
121
Documentos
94
Última venta
1 año hace
Strike through

Your 100% pass it\'s our priority

4.2

10 reseñas

5
4
4
4
3
2
2
0
1
0

Recientemente visto por ti

Por qué los estudiantes eligen Stuvia

Creado por compañeros estudiantes, verificado por reseñas

Calidad en la que puedes confiar: escrito por estudiantes que aprobaron y evaluado por otros que han usado estos resúmenes.

¿No estás satisfecho? Elige otro documento

¡No te preocupes! Puedes elegir directamente otro documento que se ajuste mejor a lo que buscas.

Paga como quieras, empieza a estudiar al instante

Sin suscripción, sin compromisos. Paga como estés acostumbrado con tarjeta de crédito y descarga tu documento PDF inmediatamente.

Student with book image

“Comprado, descargado y aprobado. Así de fácil puede ser.”

Alisha Student

Preguntas frecuentes