100% de satisfacción garantizada Inmediatamente disponible después del pago Tanto en línea como en PDF No estas atado a nada 4,6 TrustPilot
logo-home
Examen

LAW 531 ACTUAL FINAL EXAM

Puntuación
-
Vendido
-
Páginas
10
Grado
A+
Subido en
13-02-2024
Escrito en
2023/2024

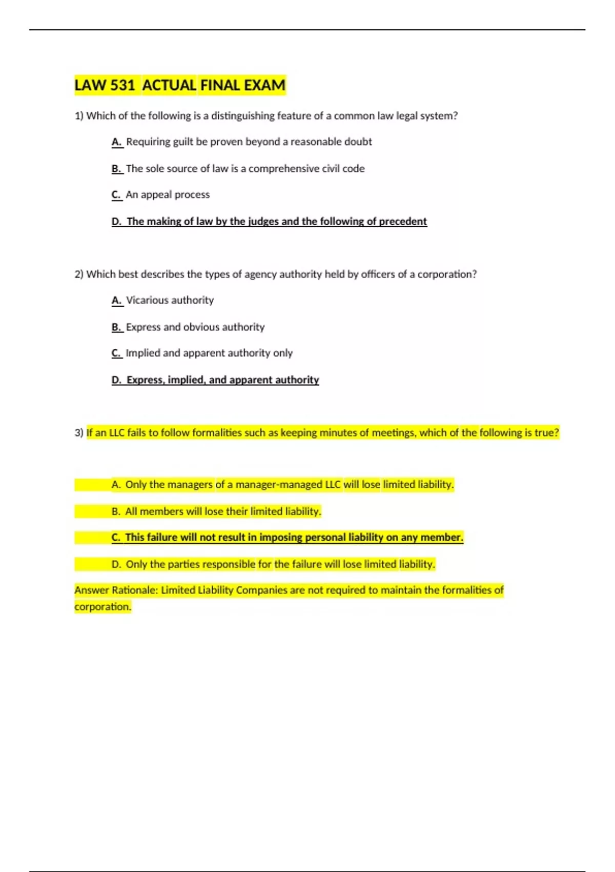
LAW 531 ACTUAL FINAL EXAM 1) Which of the following is a distinguishing feature of a common law legal system? A. Requiring guilt be proven beyond a reasonable doubt B. The sole source of law is a comprehensive civil code C. An appeal process D. The making of law by the judges and the following of precedent 2) Which best describes the types of agency authority held by officers of a corporation? A. Vicarious authority B. Express and obvious authority C. Implied and apparent authority only D. Express, implied, and apparent authority 3) If an LLC fails to follow formalities such as keeping minutes of meetings, which of the following is true? A. Only the managers of a manager-managed LLC will lose limited liability. B. All members will lose their limited liability. C. This failure will not result in imposing personal liability on any member. D. Only the parties responsible for the failure will lose limited liability. Answer Rationale: Limited Liability Companies are not required to maintain the formalities of corporation. 4) Martha started a flower shop as a sole proprietor. After 1 year, she was forced to close the shop because business was so bad. At that time, the business assets totaled $50,000, but the business liabilities totaled $125,000. Which of the following statements is true? A. Martha is personally liable for the additional $75,000. B. Martha’s business creditors can collect only the $50,000 of business assets. C. Martha’s business creditors can collect only the $50,000 now, but if Martha ever goes into business again, they can get the assets of the new business. D. Once Martha terminates the sole proprietorship, the business creditors cannot even get the $50,000. 5) Partners of a general partnership A. are protected from litigation against the partnership by statute B. are liable for the obligations of the partnership only to the extent of their capital contributions C. do not have to pay taxes on the profits of the partnership that are distributed to them D. are liable for all the obligations of their partnership 6) Which of the following forms of alternative dispute resolution allows both parties to see the strengths and weaknesses of both sides of the case through the presentation of evidence? A. Negotiated settlement B. Minitrial C. Mediation D. Conciliation Answer Rationale: Conciliation, mediation, and negotiated settlement do not involve the presentation of evidence.

Mostrar más Leer menos
Institución
Grado









Ups! No podemos cargar tu documento ahora. Inténtalo de nuevo o contacta con soporte.

Escuela, estudio y materia

Institución
Grado

Información del documento

Subido en
13 de febrero de 2024
Número de páginas
10
Escrito en
2023/2024
Tipo
Examen
Contiene
Preguntas y respuestas

Temas

$11.69
Accede al documento completo:

100% de satisfacción garantizada
Inmediatamente disponible después del pago
Tanto en línea como en PDF
No estas atado a nada

Conoce al vendedor

Seller avatar
Los indicadores de reputación están sujetos a la cantidad de artículos vendidos por una tarifa y las reseñas que ha recibido por esos documentos. Hay tres niveles: Bronce, Plata y Oro. Cuanto mayor reputación, más podrás confiar en la calidad del trabajo del vendedor.
TheInstructor NURSING
Seguir Necesitas iniciar sesión para seguir a otros usuarios o asignaturas
Vendido
54
Miembro desde
2 año
Número de seguidores
30
Documentos
4950
Última venta
4 semanas hace
The Instructor

NURSING, ECONOMICS, MATHEMATICS, BIOLOGY, AND HISTORY MATERIALS BEST TUTORING, HOMEWORK HELP, EXAMS, TESTS, AND STUDY GUIDE MATERIALS WITH GUARANTEED A+ I am a dedicated medical practitioner with diverse knowledge in Nursing and Mathematics. I also have additional knowledge in mathematics-based courses (finance and economics).

3.8

8 reseñas

5
4
4
2
3
0
2
0
1
2

Recientemente visto por ti

Por qué los estudiantes eligen Stuvia

Creado por compañeros estudiantes, verificado por reseñas

Calidad en la que puedes confiar: escrito por estudiantes que aprobaron y evaluado por otros que han usado estos resúmenes.

¿No estás satisfecho? Elige otro documento

¡No te preocupes! Puedes elegir directamente otro documento que se ajuste mejor a lo que buscas.

Paga como quieras, empieza a estudiar al instante

Sin suscripción, sin compromisos. Paga como estés acostumbrado con tarjeta de crédito y descarga tu documento PDF inmediatamente.

Student with book image

“Comprado, descargado y aprobado. Así de fácil puede ser.”

Alisha Student

Preguntas frecuentes